Un campo magnético es una región del espacio donde se ejercen fuerzas magnéticas sobre materiales magnéticos y cargas eléctricas en movimiento.
Estos campos son generados por corrientes eléctricas y materiales magnetizados, y tienen aplicaciones fundamentales en la navegación, la tecnología y la protección de la Tierra contra partículas cargadas del espacio.
Por casualidad descubrí una relación directa entre el magnetismo y la luz, y también entre la electricidad y la luz, y el campo que abre es tan grande y creo que tan rico que naturalmente deseo verlo primero.
Michael Faraday, científico
¿Qué es un campo magnético?
El magnetismo es la fuerza por la que los materiales magnéticos atraen y rechazan otros materiales magnéticos. De hecho, esta es la forma más habitual en la que se ve el magnetismo en acción en la vida cotidiana: cuando acercamos o alejamos trozos de metal hacia otros trozos de metal.
Dicho sea de paso, esto es lo que hace que los imanes resulten tan interesantes y tan útiles en la vida cotidiana. La fuerza magnética es una fuerza sin contacto, lo que implica que no es necesario tocar los materiales magnéticos para sentir su efecto. Y es que, los imanes están presentes en nuestra vida cotidiana en diversos contextos:
- Por ejemplo, al abrir la puerta del frigorífico, es común encontrar imanes decorativos de recuerdos y viajes.
- Los auriculares y los altavoces del ordenador funcionan gracias a la presencia de imanes en su interior.
- O el mecanismo que permite subir y bajar las ventanillas del coche utiliza materiales magnéticos para su funcionamiento.
El magnetismo es un campo de fuerza invisible que consiste en la disposición de los electrones en el área circundante. Dicho de otro modo, se trata de una región del espacio donde se ejercen fuerzas magnéticas sobre materiales magnéticos y cargas eléctricas en movimiento.
➡️ ¡Mejor con un ejemplo! Una de las mejores formas de ver un campo magnético de verdad es mediante el uso de limaduras de hierro. Hazte con una barra magnética y un puñado de trocitos de metal: limaduras de hierro, es decir, polvo de hierro. Deja caer el hierro sobre el imán y observa cómo aparece el campo magnético, con todas las diferentes líneas de fuerza incluidas. ¡Es impresionante!
Esto no se trata de ningún tipo de magia, aunque alguna vez lo hayas creído así. Más bien, las fuerzas que ejercen estos materiales son el resultado de un proceso que ocurre a un nivel demasiado pequeño para que podamos verlo con nuestros ojos. En este nivel, todo está en movimiento.
Lo que genera la fuerza de la que somos testigo es el resultado de dos fenómenos que suceden en ese nivel. El primero es el "momento magnético" de un elemento determinado y sus partículas, y el otro, una corriente eléctrica.
Origen y fuentes de los campos magnéticos
Lo que sucede a un nivel mucho más pequeño está relacionado con los electrones, una de las partes subatómicas de cualquier material.
Estos electrones se mueven o giran alrededor del núcleo del átomo. Cada electrón tiene una carga, por lo general, negativa (los protones son los que tienen carga positiva). Por otro lado, la carga eléctrica o los espines de estos electrones se encuentran en equilibrio, lo que implica que el número de iones positivos es igual al número de iones negativos.
La naturaleza tiende a buscar la estabilidad y, en este contexto, esto se traduce en que los materiales no magnéticos son la norma, debido al hecho de que con la igualdad de los iones positivos y negativos, el "momento magnético" se cancela. Esto es útil, ya que, de lo contrario, todo en el universo podría ser magnético, lo que no resultaría demasiado práctico...
El magnetismo en la forma en que lo reconocemos. Con los dos polos magnéticos de un imán, ocurre cuando los momentos magnéticos de los electrones están todos alineados, es decir, apuntando en la misma dirección.

Solo en este punto, un material producirá un campo magnético lo suficientemente fuerte como para ser relevante.
👨🏫 Y recuerda: Si todo esto te parece muy complicado, no dudes en contar con la ayuda de un profe de física en Superprof.
Tipos de materiales magnéticos
- Materiales ferromagnéticos: los materiales ferromagnéticos son aquellos que conocemos como magnéticos.
Estos materiales también tienen electrones sueltos. Sin embargo, a diferencia de los materiales paramagnéticos, los electrones en los materiales ferromagnéticos tienden a alinearse espontáneamente.

Esto significa que no necesitan un campo magnético externo para volverse magnéticos. Son a los que denominamos comúnmente magnéticos, como el hierro (de ahí la denominación de "ferro"), el níquel y el cobalto.
- Materiales paramagnéticos: los materiales paramagnéticos son aquellos que se sienten débilmente atraídos por cualquier campo magnético al que están expuestos. La mayoría de los compuestos químicos son paramagnéticos, porque suelen tener electrones que no están emparejados; esto significa que incluso elementos como el oxígeno son en realidad paramagnéticos.
- Materiales diamagnéticos: el diamagnetismo es un tipo de magnetismo que prácticamente tiene cualquier cosa, todo el tiempo. Sin embargo, no es particularmente "magnético" en el sentido convencional. Más bien, en un material que es "diamagnético" no encontramos electrones sueltos. En presencia de sustancias paramagnéticas o ferromagnéticas, el diagmagnetismo se ve abrumado.
🔹Los imanes permanentes son aquellos que son ferromagnéticos. Estos retienen su potencial magnético incluso después de que no están en presencia de un campo magnético externo.
🔹Los imanes temporales son aquellas sustancias paramagnéticas que requieren de una fuerza magnética externa. Por ejemplo, los sujetapapeles, objetos que reaccionan al magnetismo pero que no son magnéticos de por sí.
🔶Te puede interesar: ¡Descubre qué son los transformadores, una de las tecnologías magnéticas más importantes!
Propiedades y características del campo magnético
Líneas de campo magnético
Como decíamos, los imanes atraen y repelen otras cosas que son susceptibles a la fuerza del magnetismo. Hasta aquí, todo claro. Sin embargo, lo importante es lo que sucede entre los dos materiales que son magnéticos. Aquí es donde interviene el campo magnético, un campo de fuerza invisible que consiste en la disposición de los electrones en el área circundante.

Los diagramas de campos magnéticos representan la naturaleza dipolar de los imanes; es decir, el hecho de que los imanes tengan un polo norte y un polo sur, así como las líneas del campo magnético que tendemos a dibujar entre los dipolos.
¿Qué son? Pues bien, estas líneas representan el flujo magnético que sale del polo norte y entra por el sur. Cuanto más juntas estén las líneas, más fuerte será la magnetización. Estas líneas nunca se cruzan.
Magnitud e intensidad del campo
"El campo magnético B es una magnitud vectorial. Puede estar producido por una carga puntual en movimiento o por un conjunto de cargas en movimiento", explica la Universidad Politécnica de Madrid 1. La intensidad del campo magnético también es una magnitud vectorial, pero que mide la fuerza del campo magnético en un punto concreto.
Las unidades de medida, explica la misma fuente, son:
- Tesla (T): es la unidad de campo magnético en el Sistema Internacional. Y se define como "el campo magnético que ejerce una fuerza de 1 N (newton) sobre una carga de 1 C (culombio) que se mueve a velocidad de 1 m/s dentro del campo y perpendicularmente a las líneas de campo".
- Gauss (G): como "tesla es una unidad muy grande, a veces se emplea como unidad de campo magnético el gauss (G) que, aunque no pertenece al Sistema Internacional sino al sistema CGS, tiene un valor más acorde con el orden de magnitud de los campos magnéticos que habitualmente se manejan".
¡Guárdate esta tabla con las unidades de medida del campo magnético! ⬇️
| Magnitud Física | Símbolo | Unidad SI | Unidad CGS | Factor de Conversión |
|---|---|---|---|---|
| Inducción Magnética (Densidad de flujo) | B | Tesla (T) | Gauss (G) | 1 T=104 G |
| Intensidad de Campo | H | Amperio por metro (A/m) | Oersted (Oe) | 1 Oe=4π103 A/m≈79.58 A/m |
| Flujo Magnético | Φ | Weber (Wb) | Maxwell (Mx) | 1 Wb=108 Mx |
Campo magnético terrestre
¿Sabías que la Tierra tiene un campo magnético? Esto, que parece tan complicado y simple a la vez, es lo que hace que suene tu teléfono o circule tu tren. Y es que, La Tierra misma es un campo magnético. De hecho, esta es la razón por la que decimos que los imanes tienen un polo "norte" y polo "sur".
Sí, todo el planeta es magnético, por eso funcionan las brújulas. La comunidad científica cree que esto se debe a las corrientes de convección en el núcleo de la Tierra, que están compuestas principalmente de hierro y níquel. De hecho, este sería el origen de las hermosas y escurridizas auroras boreales.

Origen del campo magnético de la Tierra
La teoría de la geodinamo o de las dinamo explica que "el campo magnético terrestre es generado, principalmente, por corrientes eléctricas debidas al movimiento de iones de los metales fundidos en el interior de la tierra", apunta el Ministerio de Defensa del Gobierno de España 2. Dicho de otro modo, "la Tierra se comporta como un imán gigantesco con sus respectivos polos magnéticos".
Variaciones e inversiones del campo magnético terrestre
La misma fuente explica que "el campo magnético terrestre varía, en dirección e intensidad, muy lentamente con los años (variación secular). Como consecuencia de esto, los polos magnéticos van cambiando de posición". Este vídeo lo explica realmente bien. 👇
Aplicaciones y relevancia del campo magnético
Uso en la navegación y brújulas
La brújula "es un instrumento que sirve para orientarse y que su fundamento está basado principalmente en la propiedad de las agujas magnetizadas. A través de una aguja imantada se señala el norte magnético, el cual es ligeramente diferente en cada zona del planeta. También es diferente al norte geográfico", explica el Laboratorio documental de la Universidad Complutense de Madrid 3.
Este invento, que permitió la navegación durante siglos, funciona por el campo magnético de la tierra, que veíamos más arriba, pues "la aguja imantada indica la dirección del campo magnético terrestre, apuntando hacia el polo norte y polo sur".
🔶Te puede interesar:¿Has oído hablar de la inducción electromagnética? ¡Te lo contamos todo!
Aplicaciones tecnológicas y médicas
Mientras que en el pasado, el conocimiento de los campos magnéticos permitió navegar y orientarse, algo que hoy hacemos a través del GPS, en la actualidad, las aplicaciones tecnológicas y médicas del campo magnético son importantes. Entre ellas destacan los motores eléctricos, generadores y la resonancia magnética. Entre otras que destaca la Universidad Alfonso Décimo el Sabio 4:
- Generación de energía eléctrica: ya hemos adelantado la importancia de los generadores eléctricos, que "convierten la energía mecánica en eléctrica gracias al magnetismo, proporcionando la energía necesaria para hogares, industrias y servicios esenciales". ¡Nada menos!
- Medicina y diagnóstico: también las resonancias magnéticas son imprescindibles para diagnosticar y curar enfermedades, "ofreciendo imágenes detalladas sin radiación ionizante".
- Exploración espacial: aunque la brújula ya no se emplea tanto como antaño, el magnetismo sigue siendo importante para el transporte y para la exploración espacial, ya que es "esencial para comprender la interacción entre cuerpos celestes y campos magnéticos, así como para el diseño de instrumentos y sistemas espaciales".
También es importante en campos como la tecnología, la industria y manufactura, la investigación científica o las energías renovables.
Fórmulas y cálculos relacionados con el campo magnético
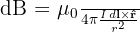
Ley de Biot-Savart
Tal y como explica Fisicalab 5, Jean Baptiste Biot y Félix Savart establecieron que "al igual que una carga origina un campo eléctrico o una masa un campo gravitatorio, un elemento de corriente genera un campo magnético". La ley Biot y Savart "establece que el campo magnético producido por una corriente cualquiera en un punto P viene determinado por la siguiente expresión":
Ley de Ampère
Por su parte, y según explica la misma fuente, "la ley de Ampère determina que la circulación del campo magnético a lo largo de una línea cerrada es equivalente a la suma algebraica de las intensidades de las corrientes que atraviesan la superficie delimitada por la línea cerrada, multiplicada por la permitividad del medio".
O, dicho de otro modo, es la fórmula con la que se pueden calcular campos magnéticos a partir de las corrientes eléctricas.
🧲 Te interesa: ¡Vamos algunos conceptos clave sobre la relación entre magnetismo y electromagnetismo!
Visualización y representación del campo magnético
Experimentos con limaduras de hierro
Una de las mejores formas de ver un campo magnético de verdad es mediante el uso de limaduras de hierro, como hemos adelantado más arriba. ¿Cómo? Puedes conseguir una barra magnética y un puñado de trocitos de metal: limaduras de hierro, es decir, polvo de hierro.
Después, deja caer el hierro sobre el imán y observa cómo aparece el campo magnético, con todas las diferentes líneas de fuerza incluidas. De hecho, resulta bastante impresionante. ¡Mira este ejemplo!👇
Si has llegado hasta aquí y empezaste con reticencia a leer este artículo, seguramente te ha sorprendido la disciplina del magnetismo. El hecho de que una pieza de metal pueda mover a otra a través de una fuerza invisible, ¡es increíble! Si lo ves así, ¡también puedes profundizar sobre el electromagnetismo!
📚Bibliografía
- Campo magnético. (s/f). Upm.es. Recuperado el 26 de febrero de 2026, de https://www2.montes.upm.es/dptos/digfa/cfisica/magnet/campomag.html
- Armada. (s/f). El campo magnético terrestre (CMT). Gob.es. Recuperado el 26 de febrero de 2026, de https://armada.defensa.gob.es/ArmadaPortal/page/Portal/ArmadaEspannola/cienciaobservatorio/prefLang-es/05Geofisica--02serviciogeomagnetismo--01campomagneticoterrestre
- BUCM :Laboratorio documental :: Biblioteca Complutense. (s/f). Ucm.es. Recuperado el 26 de febrero de 2026, de https://webs.ucm.es/BUCM/blogs/laboratorio/13109.php
- Zafra y Ángel Ceballos Ortiz, S. G. (s/f). Los 10 grandes usos de magnetismo. Iax.es. Recuperado el 23 de febrero de 2026, de https://www.iax.es/rea/fisicaquimica01/los_10_grandes_usos_de_magnetismo.html
- (S/f). Fisicalab.com. Recuperado el 26 de febrero de 2026, de https://www.fisicalab.com/apartado/campo-magnetico-creado-corriente-electrica
Resumir con IA:










