Cosa más fácil válgame Dios, área del círculo πr2
Canción mnemotécnica para aprender fórmulas matemáticas
El aprendizaje matemático se da a través de trabajo y esfuerzo, pero siempre hay algunos truquillos que nos ayuden a fijar conceptos o aprender más rápido. ¿Quieres saber cuáles son?
¿Y si te dijera que cuando leas este artículo serás capaz de decirme el día de la semana en el que cae cualquier fecha (tomada al azar)? ¿Y si vas a ser capaz de multiplicar cifras altas de cabeza? En este artículo te damos los trucos matemáticos para manejarte más fácilmente en mates.
Convertir los grados Fahrenheit a grados Celsius y viceversa
💡Truco: multiplicar la temperatura por 2 y sumarle 30💡
Solo en los Estados Unidos se utilizan los grados Fahrenheit, mientras que en el resto del mundo se utilizan los grados Celsius.
Si vas a los Estados Unidos, sigues el tiempo de allí u oyes en la serie que estás viendo que la temperatura es de 70º F, es importante que sepas lo que esto significa. Esto no sería muy relevante si fuese otro país, pero precisamente a USA se van muchos españoles. Si prefieres clases presenciales en España, puedes buscar a un profesor matemáticas Valencia.

Bien, para pasar los grados Celsius a Fahrenheit, tienes que multiplicar la temperatura por 2 y sumarle 30. Esto no requiere conocimientos avanzados en algoritmos, ni en funciones derivadas, ni que hayas tenido que estudiar matemáticas aplicadas para realizar esta operación. Es un sencillo truco matemático que siempre funciona.
Sin embargo, la verdadera fórmula implica multiplicar por 1,8 (1,8 corresponde al cálculo de 9/5) y sumar 32, pero ya es más complicado calcularlo de cabeza.
De Celsius a Fahrenheit:
De Fahrenheit a Celsius:
Hay que saber dos o tres cosas igualmente:
- 0º Celsius (C) son 32º Fahrenheit (F): es el punto de fusión del hielo.
- 100º F son 38º C: algo más que la temperatura del cuerpo humano.
- 100º C son 212º F: el punto de ebullición del agua.
Para convertir los grados Fahrenheit a Celsius, basta con hacer la operación inversa, es decir, restar 30 a la temperatura y dividirla por 2.
¿Quieres saber las diez mejores estrategias para sacar mejores notas en mates? ¡Apúntate ya a clases particulares matematicas Zaragoza y aprende todo esto y mucho más!
Saber el día de la semana de cualquier fecha del año
💡Truco: Aplicar la regla de Zeller💡
Siendo:
- h=el día de la semana
- q=el día del mes
- m=el mes
- J=siglo
- K=año del siglo
Esta operación puede resultar un poco difícil de primeras, pero una vez que tienes las bases claras, te darás cuenta de que sabrás determinar el día de la semana de cualquier fecha del calendario.
No hace falta haber estudiado matemáticas en la universidad ni ser un genio de las matemáticas; solo tienes que concentrarte y aprender algunas fórmulas matemáticas básicas y ya podrás saber en qué día cae cualquier fecha.
Aquí tienes los números que tienes que recordar:
Para los días:
- Lunes: 1
- Martes: 2
- Miércoles: 3
- Jueves: 4
- Viernes: 5
- Sábado: 6
- Domingo: 0
Para los meses:
- Enero: 6
- Febrero: 2
- Marzo: 2
- Abril: 5
- Mayo: 0
- Junio: 3
- Julio: 5
- Agosto: 1
- Septiembre: 4
- Octubre: 6
- Noviembre: 2
- Diciembre: 4
👉 Por ejemplo, para saber en qué día cayó el 3 de enero del 2014:
- Día: 3
- Mes: el código de enero es el 6
- Año: tomamos los dos últimos dígitos del año en cuestión y a ese número de dos cifras le sumamos un cuarto del mismo (ignorando los decimales). En este caso: 14/4 = 3,5. Ignoramos los decimales y nos queda 3. Como los dos últimos dígitos son 14, tenemos como resultado el 17.
- A la suma de estos números hay que restarle 7 tantas veces como sea necesario hasta obtener un número entre 0 y 6.
- En este caso: 3 + 6 + 17 = 26 y 26 – 7 – 7 – 7 = 5
- Según la tabla de arriba, el 5 es viernes.
Aprende a calcular rápidamente leyendo este artículo.
Multiplicar números altos rápidamente
💡Truco: desglosar el número en decenas y unidades para simplificar la multiplicación💡
En lugar de sacar tu móvil o tener que recordar las tablas de multiplicar haciendo la operación en un papel, a continuación te desvelamos cómo calcular la multiplicación de números altos de cabeza.

👉 Pongamos como ejemplo 97 x 96:
- 100 – 97 = 3 y 100 – 96 = 4
- Ahora, sumas estos dos resultados: 4 + 3 = 7
- Le restas 7 a 100 y así obtienes las dos primeras cifras del resultado final, es decir que 100 – 7 = 93.
- Ahora, vuelves a coger las dos cifras del primer paso y las multiplicas para obtener las dos últimas cifras del resultado final, es decir, 3 x 4 = 12.
- Por tanto, el resultado de 96 x 97 es: 9312.
Prueba con otro ejemplo: 47 × 52
Tienes que desglosar de la siguiente forma: (40 × 50) + (7 × 50) + (40 × 2) + (7 × 2). ¿Cuánto te da?
¿Quieres mejorar tu cálculo mental?
Multiplicar por 11
💡Truco: escribir el número con la misma cifra al principio y al final y coloca la suma de las cifras internas en el medio💡
Puede que conozcas la regla clásica para multiplicar un número de dos cifras por 11, que consiste en sumar la primera y la última cifra de ese número y poner el resultado en medio del mismo.
Por ejemplo, 13 x 11 = 143, ya que 1 (la primera cifra) + 3 (la última cifra) = 4, que ponemos en medio del 13.
Pero este truco solo es válido para números de dos cifras. ¿Te atreves con 34 × 11? El resultado es 3 + (3 + 4) = 7 + 4 → 374
A continuación, te revelamos cómo multiplicar cualquier número por 11. Es un ejercicio matemático que requiere cierta habilidad intelectual, pero que sin duda es útil.
👉 Vamos a calcular 51 236 x 11:
- Dejamos la primera y la última cifra del número en la misma posición: el resultado empezará por 5 y terminará por 6.
- Los números intermedios se calculan sumando las cifras que estén juntas.
- 5 + 1 = 6
- 1 + 2 = 3
- 2 + 3 = 5
- 3 + 6 = 9
- Por tanto, el resultado es: 563 596
Si vives en la capital del tapeo, ¿a qué esperas para probar nuestras clases particulares matematicas Granada? ¡La primera es gratis!
El secreto para acordarse de las primeras cifras del número Pi
💡Truco: mnemotecnia para Pi con poesía💡
Para los problemas que se hacen en clase, los profesores suelen dejar utilizar Pi con pocos cifras, el mítico 3,14. Sin embargo, para hacer cuentas de verdad hay que meter el número en la calculadora y hacer así la cuenta. También se te puede plantear la posibilidad de que un profesor te pida aprenderte parte del número Pi... ¿Cómo se pueden memorizar fácilmente las cifras de este número mágico?
Para ello, tienes que aprender de memoria un verso o, en caso de que quieras recordar más cifras, un cuarteto. Sí, ¡poesía para aprender matemáticas!
👉 Para recordar las 11 primeras cifras del número Pi, solo hay que sumar las letras de cada palabra del siguiente verso:
Sol y luna y cielo proclaman al Divino Autor del Cosmo.
- Sol: 3 letras
- y: 1 letra
- luna: 4 letras
3,14...
Y con este poema podrás memorizar las 20 primeras cifras:
Soy y seré a todos definible;
mi nombre tengo que daros:
cociente diametral siempre inmedible
soy, de los redondos aros.
Para los anglófonos también hay una frase para conocer las 8 primeras cifras: May I have a large container of coffee.

Si no es suficiente con estos trucos, te animamos a que te apuntes a unas clases particulares de matematicas.
Elevar al cuadrado cualquier número
💡Truco: diferencia entre el múltiplo más próximo de 10 y X💡
Elevar al cuadrado algunos números puede resultar complicado e incluso fastidioso a veces. Pero si aprendes este truco, elevar mentalmente al cuadrado una cifra se convierte en algo sencillo.
Para elevar al cuadrado un número (X), tienes que encontrar D, la diferencia entre el múltiplo más próximo de 10 y X. Luego, realizar la siguiente operación: (X – D) y (X + D).
👉 Por ejemplo, si quieres calcular el cuadrado de 84, el múltiplo de 10 más próximo es 80 y la D es igual a 4 (84 – 80).
- X + D = 88 y X – D = 80.
- Entonces, 88 x 80 = 7040
- Suma el cuadrado de 4, es decir, 16 y obtendrás el resultado: 7056
¿Cuánto tiempo hace falta para ser bueno en matemáticas?
Sumar fracciones con diferentes denominadores
💡Truco: Método de la mariposa💡
Aplicando el método de la mariposa, podrás sumar y restar fracciones fácilmente. En el caso de una suma de fracciones, tienes que encontrar el denominador común, y la forma más sencilla es multiplicar las dos cifras de cada fracción por el denominador de la otra para que tengan el mismo denominador.
Una vez que tengas el denominador común, solo te falta sumar los numeradores y obtendrás una nueva fracción con el nuevo denominador.
👉 Por ejemplo:
3/4 + 2/5 = (3 x 5) / (4 x 5) + (2 x 4) / (5 x 4) = 15/20 + 8/20 = 23/20
Este truco también funciona para las restas, solo hay que restar en lugar de sumar.
Se llama el método de la mariposa porque las multiplicaciones cruzadas se asemejan a las alas de una mariposa. 🦋
¿Vives en la capital andaluza? Entonces, ¡no te pierdas nuestras clases particulares matematicas Sevilla! Tenemos profes para todos los gustos, así que no lo dudes ¡y pide ya tu primera clase gratis!
Reconocer diferentes múltiplos
💡Truco: multiplicar la temperatura por 2 y sumarle 30💡
- Truco para reconocer múltiplos:
◦ Por 2: El número es divisible por 2 si termina en 0, 2, 4, 6, 8.
◦ Por 3: El número es divisible por 3 si la suma de sus cifras es divisible entre 3.
◦ Por 9: El número es divisible por 9 si la suma de sus cifras es divisible entre 9.
Es importante, sea cual sea el cálculo, reconocer los principales múltiplos de un número, ya que te hará más fácil calcular de memoria algunas operaciones.
Por ejemplo el número 21, decimos que es múltiplo de 7, pero también es múltiplo de 3.
Múltiplos de 2
Son los números pares.
Múltiplos de 3
Son los números cuya suma de sus cifras es múltiplo de 3.
Múltiplos de 5
Son los números que terminan en 0 o 5.
Múltiplos de 9
Son los números cuya suma de sus cifras es igual a 9.
Múltiplos de 10
Todos los números acabados en 0.
Saber cuánto ganas a la hora
💡Truco: quitar los tres últimos ceros y dividir ese número entre 2💡
¿Quieres calcular de una forma sencilla cuánto ganas a la hora?

Si quieres saber si trabajas con unas buenas condiciones salariales, a continuación te desvelamos una manera sencilla de calcular cuánto ganas por hora trabajada.
Solo tienes que calcular tu salario anual, quitarle los tres últimos ceros y dividir ese número entre 2.
Así, si ganas 30 000 euros al año, sería: 30/2 = 15, por lo que ganarías 15 euros por hora.
También puedes dividir tu salario mensual entre las horas trabajadas al mes. Lo habitual está en de 160 horas (5 días x 8 horas al día x 4 semanas al mes).
Elevar al cuadrado los múltiplos de 5
💡Truco: multiplicar la primera cifra por el siguiente número y añadir 25 al final💡
Para ahorrar tiempo, calcular los cuadrados de los múltiplos de 5 puede resultar práctico. El método es muy sencillo. El cuadrado de un número que termina en 5 siempre termina en 25.
👉 Pongamos como ejemplo el número 35:
No hay que tener en cuenta el número de las unidades, solo hay que multiplicar la cifra de las decenas por sí misma más 1. Y, por último, añadirle el número 25 al final.
Es decir:
35² = 3 x (3 + 1) = 12 y le añades el 25, con lo cual es 1225.
Este truco funciona con todos los múltiplos de 5.
Por ejemplo: 105² = 10 x (10 + 1) = 110 y se le añade el 25, con lo cual es 11 025.
Si quieres recibir clases de matemáticas, no dudes en buscar tu profesor matematicas online sobre la plataforma de Superprof!
Aprender las tablas de multiplicar del 6, 7, 8 y 9 con los dedos de las manos
💡Truco: sistema de cuentas con los dedos💡
Aprender todas las tablas implica que tienes que recordar de memoria todas las combinaciones para todos los números e incluso aunque las supieses cuando tenías 10 años, recordarlas ahora sin cometer errores puede ser una ardua tarea. Por eso, para ayudarte a recordar las tablas de multiplicar del 6, 7, 8 y 9, que son las más difíciles porque usan números más grandes, te vamos a contar un par de truquitos.
Lo único que necesitas son tus dos manos, nada más. Dale una cifra a cada dedo de las manos. Algo como esto, por ejemplo:
- Meñique: 6
- Anular: 7
- Corazón: 8
- Índice: 9
- Pulgar: 10
Apréndetelas bien y, cuando lo hayas hecho, junta los dos dedos que quieres multiplicar.
👉 Por ejemplo, para multiplicar 7 x 8, juntarías el anular de una mano con el corazón de otra. Pues bien, en ese caso, cuenta los dedos que se encuentran por debajo, más los dedos que ya tienes juntos. Son 5 dedos, ¿verdad? Eso son las decenas. Vale, sabiendo esto, cuenta los dedos que están por encima de los que juntaste y multiplícalos. Tendríamos 2 de un lado y otros 3 de otro, ¿no? Pues entonces serían 6 unidades. El resultado final es 56.
🕘 Con respecto a la tabla de multiplicar del 9, también hay otra técnica que te puede resultar útil. De nuevo, por lo números grandes que usa, esta es probablemente la tabla más difícil de todas. Así que, para estar seguros de no equivocarnos, realiza todas las multiplicaciones de esta tabla, colócalas en una columna y marca el resultado de cada una.
¿Te das cuenta de que se trata de una serie de números crecientes que empieza con el 0 en las decenas y una serie de cifras decrecientes que empieza en el 9 en la columna de las unidades?
Si deseas encontrar un profesor particular matematicas Madrid, no dudes en conectarte sobre Superprof.
Las reglas mnemotécnicas para recordar fórmulas
💡Truco: frases divertidas o pegadizas💡
En mates, como en cualquier otra materia, hay algunos trucos mnemotécnicos para acordarse fácilmente de algunas normas y técnicas. Francés, matemáticas, historia, física y química, etc. Todas tienen sus trucos.

No obstante, el caso de las matemáticas es especial, pues es una de las materias más difíciles y la que menos adeptos tiene. El lenguaje de las cifras no le resulta sencillo a todo el mundo y por eso hay que encontrar formas para acordarse de las fórmulas. Aquí os presentamos algunas:
Circunferencia de un círculo
En realidad, hay fórmulas para todo y seguro que conoces muchas. En este apartado, vamos a mostrarte la fórmula más sencilla para acordarse de cómo calcular la circunferencia de un círculo. Es decir, cómo calcular la longitud de la línea que forma el círculo.
Pues bien, la fórmula es 2 x π x r, siendo r el radio del círculo. Para acordaros bien de estos elementos, si es que os resulta difícil, podéis usar la expresión «dos piras», que lleva todos los elementos de la fórmula (2, el número pi y la r del radio). Es algo más fácil para el cerebro que intentar acordarse de número y símbolos sin ton ni son.
Además, también puedes acordarte del área de un círculo si te acuerdas de cómo «picar hierro», pues, de nuevo, hace uso del número pi, pero añade dos erres. Y tiene sentido si tienes en cuenta que la fórmula para calcular el área es: π x r². ¿Has visto qué fácil?
Trigonometría
En este caso, lo que mejor te servirá son algunas onomatopeyas para ayudarte con las fórmulas de cálculo. Especialmente, si tienes que asistir a las clases de Cálculo I y Cálculo II en la universidad, porque esas son materias básicas y necesitarás todos los trucos que puedas conseguir, haznos caso.
Para acordarte de cómo calcular estos elementos que te hemos comentado, acuérdate simplemente de lo siguiente: «CAH SOH TOA», que se corresponde con todas las fórmulas que necesitas para calcular todo lo necesario de un triángulo. La fórmula «CAH» es tan fácil como aunar «coseno = adyacente / hipotenusa». El «SOH» se refiere a «seno = opuesto / hipotenusa» y, finalmente, el «TOA» quiere decir «tangente = opuesto / adyacente». ¿A que es sencillo? Con estos consejitos seguro que apruebas las matemáticas con nota.
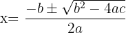
Resolver ecuaciones cuadráticas rápidamente
💡Truco: aprender la fórmula💡
Si tienes una ecuación cuadrática de la forma ax² + bx + c = 0, usa la fórmula general como te indicamos arriba y resuelve.
El truco para dividir números grandes de forma rápida
💡Truco: desglosarlos en partes más fáciles de manejar💡
La división suele ser algo que nos cuesta cuando salimos de las cifras más sencillas. Lo bueno es que nosotros tenemos algunos consejos para que puedas hacer cálculos más fácilmente.

Hay varias formas de dividir un número. La primera de ellas es pensar en qué cifra termina el número que queremos dividir. Si termina por un número par, un 5 o un 0, entonces es divisible por 2, por 5 o por 10, respectivamente. Por ejemplo, el número 122 puede dividirse entre 2, el 55 entre 5, y el 220 entre 10.
También puedes asegurarte de que el número es divisible por 3 o por 9 si haces la suma de cifras que componen el número. Piensa que si la suma de todas sus cifras es igual a 3 o a 9 o es un múltiplo de 3 o de 9, entonces podrás dividirlo entre estos dos números, respectivamente. Por ejemplo, si escoges el 111, podrás dividirlo entre 3, mientras que 333 será divisible entre 9. Último consejo: cuando la suma de las cifras es un múltiplo de 3 y el número es par, también puedes dividirlo por 6.
☝️ ¡Te toca! Divide 144÷12
Multiplicación rápida de números cercanos a 100
💡Truco: restar cada uno de ellos de 100 y luego utiliza el truco de la diferencia de cuadrados💡
Ya supondrás que los números con unos o ceros, siempre son mucho más fáciles de resolver. Pero incluso hay un truco para multiplicar números cercanos a 100: si ambos números son cercanos a 100, resta cada uno de ellos de 100 y luego utiliza el truco de la diferencia de cuadrados.
👉 Ejemplo: Multiplica 98×97:
- Resta 100−98=2100 - 98 = 2100−98=2 y 100−97=3100 - 97 = 3100−97=3
- Multiplica 2 × 3 = 6.
- Resta 2 de 100, lo que da 98
- Resultado: 98×97=9506
La regla del 9 para divisibilidad
💡Truco: un número es divisible por 9 si la suma de sus dígitos es divisible por 9💡
En algunos temas que se dan en matemáticas, necesitas saber si los números son divisibles o no. Para algunos números, hay trucos de matemáticas para aplicar una regla rápida de divisibilidad:
Un número es divisible por 9 si la suma de sus dígitos es divisible por 9.
👉 Ejemplo: ¿Es 234 divisible por 9?
- Suma los dígitos: 2+3+4=92 + 3 + 4 = 92+3+4=9.
- Resultado: Como 9 es divisible por 9, 234 es divisible por 9.
El truco para saber la raíz cuadrada de un número rápido
💡Truco: encontar dos números cuyo producto sea igual a ese número💡
Este truco matemático aplica para encontrar la raíz cuadrada de números cuadrados perfectos. Si el número es un cuadrado perfecto, simplemente encuentra dos números cuyo producto sea igual a ese número.
👉 Ejemplo: raíz cuadrada de 144:
La raíz cuadrada de 144 es 12, porque 12×12=144.

Uso del truco del "complemento a 10" para sumar rápidamente
💡Truco: restar lo que falta para llegar a 10 de cada número y ajustar💡
Si estás sumando dos números que se acercan a 10, simplemente resta lo que falta para llegar a 10 de cada número y luego ajusta.
👉 Ejemplo: 9+79
- 10−9=1 y 80-79=1
- 1+1=2
- 10+80=90
- 90-2=88
Resta rápida con el truco de "doblar y restar"
💡Truco: duplicar el número más pequeño y restar de forma proporcional💡
Así como para sumar hay trucos, también hay un truco para restar de forma más rápida. Si restas un número grande a otro, duplica el número más pequeño y resta de forma proporcional.
👉 Ejemplo: 1000−197
- Duplica 197: 197×2=394
- Resta 1000−394=606
- 1000−197=803
Convertir fracciones en porcentajes
💡Truco: multiplicar la fracción x 100💡
El truco para convertir fracciones a porcentajes es bien simple: multiplica la fracción por 100.
Calcular el área de un círculo rápidamente
💡Truco: Cosa más fácil válgame Dios, área del círculo pi-erre-dos💡
La fórmula para calcular el área de un círculo es π × radio²
👉 Ejemplo: Si el radio de un círculo es 7 cm, el área es π × 7² = 3,14 × 49 = 153,94 cm²
Pero, ¿cómo acordarse? Recuerda esta frase: Cosa más fácil válgame Dios, área del círculo pi-erre-dos

Cómo sumar números grandes usando descomposición
💡Truco: descomponer los números en centenes, decenas y unidades💡
Sumar es relativamente fácil, pero no con números grandes y de cabeza puede complicarse la cosa. El truco está en descomponer números grandes. Para ello, divide los números en partes más pequeñas para simplificar la suma.
👉 Ejemplo: 673+489
- 600+400=1000
- 70+80=150
- 3+9=12
- 1000+150+12=1162
Descubre los mejores métodos para aprender matemáticas.
Recuerda que al cerebro le resulta más sencillo recordar secuencias lógicas, como las frases o los elementos visuales. Por eso, las reglas mnemotécnicas se crean a partir de juegos, de aspectos gráficos, de onomatopeyas o de técnicas con conocimientos sencillos y serán los trucos matemáticos más fáciles de recordar.1
Bibliografía
- Ruiz, M. A. (10 de diciembre de 2019). «Trucos matemáticos que te harán parecer un mago». Yo Soy Tu Profe Blog. Fecha de última consulta: 19 de mayo de 2025. Disponible en: https://yosoytuprofe.20minutos.es/2019/12/10/trucos-matematicos-que-te-haran-parecer-un-mago/
Resumir con IA:










La fecha del calendario no vale 29/04/1977 sale jueves y fue viernes
17/05/2035 salio miércoles pero es jueves