Los/las mejores profesores/as de Matemáticas que están disponibles
Aproximación de la binomial por la normal
Teorema de Moivre
Si

La distribución binomial
se puede aproximar mediante una distribución normal
, de manera que

se aproxima a 
Ejemplo:
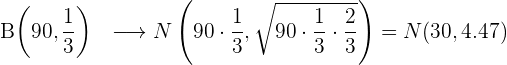
En una ciudad una de cada tres familias posee teléfono. Si se eligen al azar 90 familias, calcular la probabilidad de que entre ellas haya por lo menos 30 que tengan teléfono.
El total de familias se representa por 
La probabilidad de que una familia posea teléfono es 
La probabilidad de que una familia no posea teléfono es 
Verificamos que se cumplan las condiciones del Teorema de Moivre

Tenemos del Teorema de Moivre que

La probabilidad de que por lo menos 30 familias tengan teléfono es

Resumir con IA:









Apuntes es una plataforma dirigida al estudio y la práctica de las matemáticas a través de la teoría y ejercicios interactivos que ponemos a vuestra disposición. Esta información está disponible para todo aquel/aquella que quiera profundizar en el aprendizaje de esta ciencia. Será un placer ayudaros en caso de que tengáis dudas frente algún problema, sin embargo, no realizamos un ejercicio que nos presentéis de 0 sin que hayáis si quiera intentado resolverlo. Ánimo, todo esfuerzo tiene su recompensa.
Hay un error en la Solucion del Ejercicio Nº 3 ?, de un signo negativo que no va
Seria realmente asi: P(-0.4<z<0.8) = P(z0.4) o bien asi: P(-0.4<z<0.8) = P(z<0.8) – P(z<-0.4)
Lo demas si estaria bien expresado. Confirmen si hay error o no ?
Hola tu comentario es muy interesante, en el artículo «https://www.superprof.es/apuntes/escolar/matematicas/probabilidades/distribucion-normal/empleo-de-la-tabla-de-la-distribucion-normal.html» se encuentran las fórmulas que se usan, en tu caso es la número 7.
ERROR
En el apartado 1 del ejercicio 7 hay un error; si buscamos el 0.66 en la tabla, encontraremos que su resultado es 0,7454, no 0,7486, ya que ese es el número que nos da al buscar 0.67 en lugar del 0.66, que es el que tenemos que buscar.
Sucede lo mismo en el tercer apartado del mismo ejercicio; si buscamos 1.66 en la tabla, nos va a dar 0,9515 en lugar de 0,9525, ya que eso es lo que da si buscamos el número 1.67, no el 1.66.
Buenas tardes.
Hola, muchas gracias por tu observación y una disculpa por el error ya se corrigió.
Distribución normal para la Muestra.
Elige el tamaño de la muestra de 120 personas de una población distribuida normalmente, con una media poblacional de 80 y una desviación estándar de la población de 5.4772.
Selecciona la respuesta correcta de la probabilidad, para que la media de la muestra de lo siguiente:
P( X̅= 81).
Hola
Me pueden ayudar:
Dada una distribución normal con �=1000 y �=200, calcule las siguientes 10 probabilidades:
1.1 p(x ≤ 800)
1.2 p(x ≥ 1200)
1.3 p(800 ≤ x ≤ 1200)
2.1p(x ≤ 600)
2.2 p(x ≥ 1400)
2.3 p(600 ≤ x ≤ 1400)
3.1 p(x ≤ 400)
3.2 p(x ≥ 1600)
3.3 p(400 ≤ x ≤ 1600)
4. Si la p(x ≤ NÚMERO) = 4% , calcule ese número.
Hola! No comprendo de dónde salió el -0.67 de 0.25 en la tabla. Si pueden aclarar mis dudas agradezco de antemano.
Feliz día!
En la primera tabla ubica el valor 0.2514 en la octava columna y a la izquierda tienes -0.6 y hacia arriba es 0.07 lo que implica -0.67