Capítulos
La distribución normal y la distribución normal estándar
La distribución normal es la más famosa de todas. La importancia de esta distribución radica en que permite modelar numerosos fenómenos naturales, sociales y psicológicos. Además, es la base del análisis estadístico, ya que en ella se sustenta casi toda la inferencia estadística.
Esta distribución también se conoce como distribución de Gauss o distribución gaussiana. La gráfica de la distribución normal tiene la forma de una campana, por este motivo la gráfica también es conocida como la campana de Gauss.
La distribución normal con media
y desviación estándar
, a veces denotada como
, tiene las siguientes propiedades:
1 Es una distribución simétrica respecto a la media
.
2La media y la mediana son iguales a la media
.
3 En el intervalo
se encuentran el
de los datos.
4En el intervalo
se encuentran el
de los datos.
5En el intervalo
se encuentran el
de los datos.
Cuando
y
,
, la distribución se conoce como distribución normal estándar. En este caso, las propiedades son:
1 Es una distribución simétrica respecto al origen
.
2La media y la mediana son iguales a cero.
3En el intervalo
se encuentran el
de los datos.
4En el intervalo
se encuentran el
de los datos.
5En el intervalo
se encuentran el
de los datos.
Dada una variable aleatoria normal
, siempre podemos estandarizar (crear una variable aleatoria con distribución normal estándar) con el cambio de variable dado por

entonces se cumple que
.
Tabla de probabilidad de la distribución normal estándar
La siguiente tabla nos da las probabilidades de
.
Estas probabilidades nos dan la función de distribución
.

Búsqueda en la tabla de valor de k
Unidades y décimas en la columna de la izquierda.
Céntesimas en la fila de arriba.
1 

Ejemplo:

2 

Ejemplo:

3 

Ejemplo:

4 

Ejemplo:

5 

Ejemplo:

6 

Ejemplo:

7 

Ejemplo:

8 
Nos encontramos con el caso inverso a los anteriores, conocemos el valor de la probabilidad y se trata de hallar el valor de la abscisa. Ahora tenemos que buscar en la tabla el valor que más se aproxime a
.

Para calcular la variable
nos vamos a la fórmula de la tipificación.

Resumir con IA:









Apuntes es una plataforma dirigida al estudio y la práctica de las matemáticas a través de la teoría y ejercicios interactivos que ponemos a vuestra disposición. Esta información está disponible para todo aquel/aquella que quiera profundizar en el aprendizaje de esta ciencia. Será un placer ayudaros en caso de que tengáis dudas frente algún problema, sin embargo, no realizamos un ejercicio que nos presentéis de 0 sin que hayáis si quiera intentado resolverlo. Ánimo, todo esfuerzo tiene su recompensa.
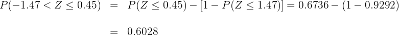
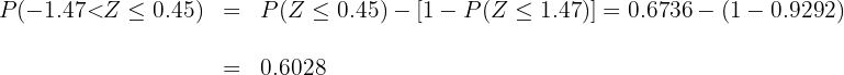
Hay un error en la Solucion del Ejercicio Nº 3 ?, de un signo negativo que no va
Seria realmente asi: P(-0.4<z<0.8) = P(z0.4) o bien asi: P(-0.4<z<0.8) = P(z<0.8) – P(z<-0.4)
Lo demas si estaria bien expresado. Confirmen si hay error o no ?
Hola tu comentario es muy interesante, en el artículo «https://www.superprof.es/apuntes/escolar/matematicas/probabilidades/distribucion-normal/empleo-de-la-tabla-de-la-distribucion-normal.html» se encuentran las fórmulas que se usan, en tu caso es la número 7.
ERROR
En el apartado 1 del ejercicio 7 hay un error; si buscamos el 0.66 en la tabla, encontraremos que su resultado es 0,7454, no 0,7486, ya que ese es el número que nos da al buscar 0.67 en lugar del 0.66, que es el que tenemos que buscar.
Sucede lo mismo en el tercer apartado del mismo ejercicio; si buscamos 1.66 en la tabla, nos va a dar 0,9515 en lugar de 0,9525, ya que eso es lo que da si buscamos el número 1.67, no el 1.66.
Buenas tardes.
Hola, muchas gracias por tu observación y una disculpa por el error ya se corrigió.
Distribución normal para la Muestra.
Elige el tamaño de la muestra de 120 personas de una población distribuida normalmente, con una media poblacional de 80 y una desviación estándar de la población de 5.4772.
Selecciona la respuesta correcta de la probabilidad, para que la media de la muestra de lo siguiente:
P( X̅= 81).
Hola
Me pueden ayudar:
Dada una distribución normal con �=1000 y �=200, calcule las siguientes 10 probabilidades:
1.1 p(x ≤ 800)
1.2 p(x ≥ 1200)
1.3 p(800 ≤ x ≤ 1200)
2.1p(x ≤ 600)
2.2 p(x ≥ 1400)
2.3 p(600 ≤ x ≤ 1400)
3.1 p(x ≤ 400)
3.2 p(x ≥ 1600)
3.3 p(400 ≤ x ≤ 1600)
4. Si la p(x ≤ NÚMERO) = 4% , calcule ese número.
Hola! No comprendo de dónde salió el -0.67 de 0.25 en la tabla. Si pueden aclarar mis dudas agradezco de antemano.
Feliz día!
En la primera tabla ubica el valor 0.2514 en la octava columna y a la izquierda tienes -0.6 y hacia arriba es 0.07 lo que implica -0.67