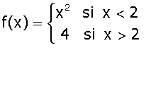
Son funciones definidas por distintos criterios, según los intervalos que se consideren.


El dominio lo forman todos los números reales menos el 2.
Es una función que a cada número real hace corresponder el número entero inmediatamente inferior.
f(x) = E (x)
| x | 0 | 0.5 | 0.9 | 1 | 1.5 | 1.9 | 2 |
|---|---|---|---|---|---|---|---|
| f(x) = E(x) | 0 | 0 | 0 | 1 | 1 | 1 | 1 |

Función que hace corresponder a cada número el mismo número menos su parte entera.
f(x) = x - E (x)
| x | 0 | 0.5 | 0.9 | 1 | 1.5 | 1.9 | 2 |
|---|---|---|---|---|---|---|---|
| f(x) = x - E(x) | 0 | 0.5 | 0.9 | 0 | 0.5 | 0.9 | 0 |

f(x) = sgn(x)

