Capítulos
En este artículo vamos a representar gráficamente la función

estudiando los siguientes puntos:
Dominio
Dado que la función en cuestión es una función racional, entonces el dominio de la función serán todo los números reales menos aquellos puntos donde el denominador se anula, es decir, menos aquellos puntos donde la función no existe. Así, hacemos

la cual no tiene solución en
. Por lo tanto el dominio de la función es: 
Simetría
Nótese que
es decir, la función es impar. Por lo tanto tenemos simetría respecto al origen.
Puntos de corte con los ejes
- Puntos de corte con el eje
: Para encontrar estos puntos debemos hacer
y resolver. Esto es,
Por lo tanto el único punto de corte con el eje
es
. - Puntos de corte con el eje
: Para encontrar estos puntos debemos hacer
y ver cuál es el valor de la función

Así, el único punto de corte con el eje
es
.
Asíntotas
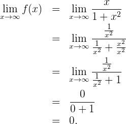
- Asíntotas horizontales: Observe que
Así, la recta
, es la única asíntota horizontal puesto que también se tiene que 
- Asíntotas verticales: Ya que el dominio de la función es
, entonces la función no tiene asíntotas verticales. - Asíntotas oblicuas: Debido a que la función presenta al menos una asíntota horizontal, entonces la función no tiene asíntotas oblicuas.
Crecimiento y decrecimiento
Primero encontramos la primera derivada, la igualamos a cero y despejamos 
Luego se tiene que

Por lo tanto los puntos críticos de la función ocurren cuando
Ahora revisamos los signos al segmentar el dominio:

De aquí obtenemos que la función es:
- Creciente en
. - Decreciente en
.
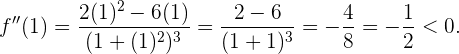
Mínimos y máximos
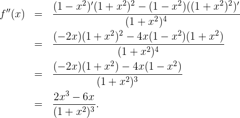
Para encontrar los mínimos y máximos debemos calcular la segunda derivada y evaluarla en los puntos críticos. Tenemos que, la segunda derivada de la función es:
Luego, evaluamos la segunda derivada en los puntos críticos
encontrados anteriormente.
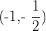
- En
, tenemos que

Así, como
, entonces sabemos que el punto
es un mínimo, esto es, tenemos un mínimo en el punto
. - En
, tenemos que

Así, como
, entonces sabemos que el punto
es un máximo, esto es, tenemos un máximo en el punto
.
Concavidad y convexidad
Para determinar la concavidad y convexidad debemos hacer
y resolver para
:

Es decir, 
Ahora revisamos los signos de
al segmentar el dominio con estos puntos:


Pero sabemos que, si
en un intervalo, entonces la función
es convexa en ese intervalo. De igual manera, si
en un intervalo, entonces la función
es cóncava en ese intervalo.
Entonces tenemos que la función es
- Convexa en
. - Cóncava en
.
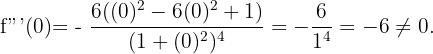
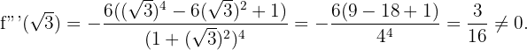
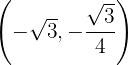
Puntos de inflexión
Para encontrar los puntos de inflexión haremos uso del criterio de la tercera derivada ( ver: ¿Qué son los puntos de inflexión?). Tenemos que
Ahora, evaluamos
en los puntos
y
que corresponden a los valores que obtuvimos al hacer
y continuando con el criterio de la tercera derivada, si
, donde
denota cualquiera de los tres puntos anteriores, entonces tenemos un punto de inflexión en
. Sustituyendo:
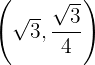
- Si
, entonces

Luego, tenemos un punto de inflexión en
, es decir, en
. - Si
, entonces
Luego, tenemos un punto de inflexión en
, es decir, en
. - Si
, entonces

Luego, tenemos un punto de inflexión en
, es decir, en
.
Representación gráfica
La gráfica de la función se representa en la siguiente figura:

Para ver más ejemplos como este, visitar:









Apuntes es una plataforma dirigida al estudio y la práctica de las matemáticas a través de la teoría y ejercicios interactivos que ponemos a vuestra disposición. Esta información está disponible para todo aquel/aquella que quiera profundizar en el aprendizaje de esta ciencia. Será un placer ayudaros en caso de que tengáis dudas frente algún problema, sin embargo, no realizamos un ejercicio que nos presentéis de 0 sin que hayáis si quiera intentado resolverlo. Ánimo, todo esfuerzo tiene su recompensa.
Me ayudarian hacer la funcion lineal con grafico
Y=2×+1
La primera derivada se anula en x = 3. Por lo tanto 3 es otro punto crítico de la función del ejemplo.
Hola gracias por la observación, podrías hacernos el favor de mostrarnos la función que se deriva y se encuentran los puntos críticos.
El Punto de inflexión en el ejercicio 2: f(x) = x^3 + x + 1 debe ser (0, 1)
Hola agradecemos tu comentario, tenias razón era un error que ya se corrigió.
la grafica esta mal echa de signos de cada cuadrante
Hola te agradecemos por visitar nuestra pagina, podrías mencionar el número de ejercicio para poder rectificar esos errores que mencionas.
Se podría añadir un poco más de explicación a por que se hace cada paso ( ejemplo porque se divide todo por x ^2?)
Hola agradecemos que puedas darnos tu opinión, cuando surja una duda en este espacio de los comentarios estaremos atentos para darte una explicación con respecto a algo que no entiendas, exista un error o se pueda mejorar una explicación, solo comunícalo y te contestaremos.