Si la variable a integrar es x, las principales fórmulas de integración son:
Algebraicas



Logarítmicas

Exponenciales


Trigonométricas






Ejercicios de integración
1 
Tenemos que integrar un monomio del estilo
así que usamos la fórmula

De modo que


2 
Tenemos que integrar un monomio del estilo
así que usamos la fórmula

De modo que


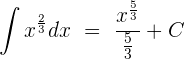
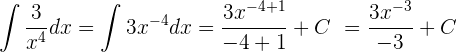
3 
Tenemos que integrar un monomio del estilo
así que usamos la fórmula. Notemos que el exponente es fraccionario, pero eso no tiene nada de particular, pues la misma fórmula funciona

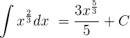
De modo que

Desarrollamos la suma y simplificamos


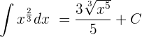
Generalmente no se muestran los resultados con exponente fraccionario sino con la raíz que corresponde usando la fórmula

La aplicamos

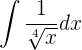
4 
Antes de aplicar alguna de las fórmulas que vimos, debemos convertir la expresión usando que

Entonces

Y así podemos usar la fórmula para integrar monomios 

De modo que

Simplificamos y nos deshacemos del exponente negativo usando la fórmula que usamos al principio (ya que al igual que los exponentes fraccionarios, es preferible mostrar expresiones equivalentes pero con exponente entero positivo)

5 
Antes de aplicar alguna de las fórmulas que vimos, debemos convertir la expresión usando que

Entonces

Como llegamos a un monomio usamos la fórmula

De tal modo que

Como último paso simplificamos y nos deshacemos del exponente fraccionario usando una raíz

6 
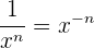
Antes de aplicar alguna de las fórmulas que vimos, debemos convertir la expresión usando que

Así que

Sin embargo la variable está en el denominador. Usando que

Obtenemos

Y ahora sí podemos usar la fórmula para integrar monomios

De modo que

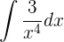
7 
Antes de aplicar alguna de las fórmulas que vimos, debemos convertir la expresión usando que

Así que

Sin embargo la variable está en el denominador. Con la fórmula

Obtenemos

Y ahora sí podemos usar la fórmula para integrar monomios

De modo que

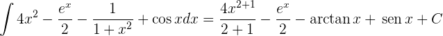
8 
Tenemos expresiones de varios tipos. Debemos recordar que la integral de una suma es la suma de la integrales, esto quiere decir que podemos aplicar la formula correspondiente a cada término y al final sumarlo

Simplificamos donde sea necesario

Resumir con IA:









Apuntes es una plataforma dirigida al estudio y la práctica de las matemáticas a través de la teoría y ejercicios interactivos que ponemos a vuestra disposición. Esta información está disponible para todo aquel/aquella que quiera profundizar en el aprendizaje de esta ciencia. Será un placer ayudaros en caso de que tengáis dudas frente algún problema, sin embargo, no realizamos un ejercicio que nos presentéis de 0 sin que hayáis si quiera intentado resolverlo. Ánimo, todo esfuerzo tiene su recompensa.
Fe de erratas:
Ej. 3: sobra una raíz de x en el denominador antes del
Resultado final.
Ej.4: En el resultado final falta el signo menos.
Un saludo.
Hola revise los ejemplos de muchas ejercicios y no encontré los errores, podrías hacerme el favor de darme mas detalles para poder encontrarlos y quitar esos errores, seria de mucha ayuda.
Podrían brindarme información sobre el autor y la fecha de publicación del articulo? Estoy realizando una monografía en matemáticas y esta agina me ha servido mucho pero necesito esa información para referenciar correctamente la información.
¡Hola Yanela! 👋 Desde Superprof nos alegra que el artículo te haya sido útil. 😊 Para referenciarlo correctamente en tu monografía, puedes citarlo de la siguiente manera:
«Superprof. Ejercicios resueltos de integrales por sustitución. [En línea] Disponible en: [URL del artículo].»
Por motivos de privacidad, no podemos facilitar datos personales del autor ni fecha exacta de publicación. 📚✨
Veo un error en el ejercicio 9 a la hora de devolver la variable, recuerda que x^2+1 = u^2, no x^2+1 = u
Hola tienes razón, una disculpa y ya se corrigió.
Hay un error en el integral de seno de x multiplicado por coseno de x.
Haciendo sustitución queda u^2/2 lo que indica que es sen(x)^2/2.
Hola en tu razonamiento estas bien, pero hay una cuestión para resolver este ejercicio hay dos formas una como tu dices y otra usando identidades trigonométricas, puedes comprobar que sale el mismo resultado en la integral definida.
holaa, en el caso 4, en la última identidad están mal los signos, sería sen(a)sen(b)=1/2(cos(a-b)-cos(a+b))
Hola la manera en como presentas la fórmula esta bien, pero en la propiedad 4 que mencionas es lo mismo pero escrita de forma diferente, si multiplicas por el signo negativo queda igual a lo que tienes, si tienen alguna duda mencionalo.