Capítulos
Derivada de un logaritmo
Cuando tenemos una función logarítmica

diremos que la formula para derivarla es la siguiente:

Por otro lado, puesto que de la definición de logaritmo tenemos que

entonces

Y de aquí, la formula descrita arriba es equivalente a

Derivada de un logaritmo neperiano
Cuando tengamos la función logaritmo natural o neperiano

entonces, la derivada será

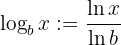
Con determinadas funciones, especialmente para la función potencial-exponencial, es aconsejable el empleo de la derivación logarítmica, ya que facilitan bastante el cálculo. Estas funciones son del tipo

Para derivarla se puede utilizar la siguiente fórmula:
A continuación mostramos como se obtiene la formula anterior:
Primero escribimos la función como

tomamos logaritmo natural por ambos lados y utilizamos la propiedad del logaritmo de una potencia

Derivamos ambos lados y despejamos la derivada de la función

y finalmente al sustituir el valor de
, obtenemos (1)

Ejemplos de funciones potencial-exponencial
Derivar las funciones:
1 
Escribimos la función como

Tomamos logaritmos

Aplicamos la propiedad del logaritmo de una potencia

Derivamos en ambas partes

Despejamos la derivada de la función

Y finalmente sustituimos 

2 
Escribimos la función como

Tomamos logaritmos

Aplicamos la propiedad del logaritmo de una potencia

Derivamos en ambas partes

Entonces

3 
Escribimos la función como

Tomamos logaritmo por ambos lados

Derivamos en ambas partes

Entonces

Ejemplos de calculo de derivadas de funciones logarítmicas
Derivar las siguientes funciones logarítmicas :
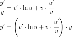
1 
Utilizando la formula de la derivada de un logaritmos tenemos que

2 
Escribimos a
como

entonces

3 
Utilizando las propiedades de logaritmos tenemos que

entonces de la formula para derivar un logaritmo natural

4 
Podemos escribir a
como

de las propiedades de logaritmos

y utilizando la formula de derivada para logaritmo

5 
Recordando cual es la derivada de un producto, tendremos que

6 
Utilizando la regla de la cadena

7 
De la derivada de logaritmo natural

8 
Observemos que

entonces

9 
De las propiedades de logaritmos tenemos

entonces

10 
Reescribimos
como

entonces

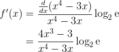
11 
Si escribimos a
como

entonces de la definición de logaritmo

Aplicando logaritmo natural a ambos lados

de aquí

y entonces

12 
Escribimos a
como

y de la definición de logaritmo

Aplicando logaritmo natural a ambos lados

de aquí

y entonces










Apuntes es una plataforma dirigida al estudio y la práctica de las matemáticas a través de la teoría y ejercicios interactivos que ponemos a vuestra disposición. Esta información está disponible para todo aquel/aquella que quiera profundizar en el aprendizaje de esta ciencia. Será un placer ayudaros en caso de que tengáis dudas frente algún problema, sin embargo, no realizamos un ejercicio que nos presentéis de 0 sin que hayáis si quiera intentado resolverlo. Ánimo, todo esfuerzo tiene su recompensa.
cordial saludo sera que tu me puedes ayudar a resolver un ejercicio que es dada la función f(x)= X elevada a la 2/3 por entre paréntesis (xa la 2 -8) hallar los valores de X para los cuales esta crece te lo agradecería mucho
La descripcion es erronea donde da la derivada de arcocotangente, ya que dice derivada de arcotangete, se comieron el co, lo que puede llevar a confunciones, como en mi caso que pense que era la derivada de la inversa de tangente, cuando era la derivada de la inversa de cotangente.
Hola entendemos la confusión, pero como sabes en cada lugar toman la notación en forma diferente, en este caso se tomo arccot(x) donde se repite la c para diferenciar de arctan(x).
me pueden ayudar encontrar la derivada de : y=7 elevado a la 4 + e elevado a la x-4 – ln X + 100
Medio tarde me parece mi respuesta, pero simplemente tenes que derivar cada termino independientemente:
7^4=(7.4)^3
e^x-4=e^x-4 (por formula)
lnx=1/x
100=0 (Derivando una constante en terminos de x)
Excelente contenido. Creo es posible mejorar el contenido para que sea más didáctico con más ejemplos, partiendo de lo elemental a lo complejo, para que el texto pueda ser más entendible para estudiantes de secundaria en Costa Rica.
Excelente artículo y muy dinámico.
Agradecemos tu comentario, la verdad estamos trabajando mucho para lograr tener las mejores explicaciones para que sea mas entendible al publico y para ello lo que ustedes recomienden nos ayuda en gran forma, esperamos que en un futuro seamos mejores siguiendo sus sugerencias, otra vez gracias.
Hola podrías hacernos el favor de mostrarnos la función para dar una mejor explicación.