Qué es la recta normal
Recordemos que un recta se dice tangente a una función
en un punto
cuando pasa por el punto y además tiene la misma pendiente que la curva en ese punto, es decir, su pendiente es
. Ahora bien, la recta normal a la función
en el mismo punto
es la recta perpendicular a la tangente que pasa por dicho punto.
Por lo anterior, tenemos que la pendiente de la recta normal a una curva en un punto es la opuesta de la inversa de la pendiente de la recta tangente, por ser rectas perpendiculares entre si

donde
pendiente de la recta normal y
pendiente de la recta tangente.
En otras palabras, la pendiente de la recta normal a una curva
en un punto
es la opuesta de la inversa de la derivada de la función en dicho punto


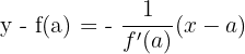
Ecuación de la recta normal
La recta normal a una curva en un punto a es aquella que pasa por el punto
y cuya pendiente es igual a la inversa de la opuesta de
, por lo tanto su ecuación esta dada de la siguiente manera
Ejemplos de la recta normal
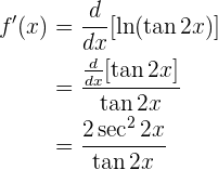
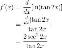
1 Calcular la ecuación de la tangente y de la normal a la curva
en el punto de abscisa:
.
Queremos la ecuación de la recta tangente y la recta normal a la curva
en el punto
, y puesto que
entonces

Por otra parte, la ecuación de la recta tangente es de la forma

En nuestro caso
y para encontrar la pendiente calculamos la primera derivada de
utilizando la regla de la cadena,

y entonces

Si tienes dudas de la regla de la cadena puedes consultar la teoría aquí o aquí.
Ecuación recta tangente:

Para la recta normal tenemos que
entonces
Ecuación recta normal:

2 Hallar la ecuación de la recta tangente y normal a la parábola
paralela a la bisectriz del primer cuadrante.

Puesto que la recta tangente es paralela a la bisectriz del primer cuadrante tendremos que

Por otro lado, supongamos que
punto de tangencia, y ya que
entonces

de donde se obtiene que
y
.
Con lo anterior y considerando que
concluimos que
Ecuación recta tangente:

Ecuación recta normal:

Resumir con IA:









Apuntes es una plataforma dirigida al estudio y la práctica de las matemáticas a través de la teoría y ejercicios interactivos que ponemos a vuestra disposición. Esta información está disponible para todo aquel/aquella que quiera profundizar en el aprendizaje de esta ciencia. Será un placer ayudaros en caso de que tengáis dudas frente algún problema, sin embargo, no realizamos un ejercicio que nos presentéis de 0 sin que hayáis si quiera intentado resolverlo. Ánimo, todo esfuerzo tiene su recompensa.
cordial saludo sera que tu me puedes ayudar a resolver un ejercicio que es dada la función f(x)= X elevada a la 2/3 por entre paréntesis (xa la 2 -8) hallar los valores de X para los cuales esta crece te lo agradecería mucho
La descripcion es erronea donde da la derivada de arcocotangente, ya que dice derivada de arcotangete, se comieron el co, lo que puede llevar a confunciones, como en mi caso que pense que era la derivada de la inversa de tangente, cuando era la derivada de la inversa de cotangente.
Hola entendemos la confusión, pero como sabes en cada lugar toman la notación en forma diferente, en este caso se tomo arccot(x) donde se repite la c para diferenciar de arctan(x).
me pueden ayudar encontrar la derivada de : y=7 elevado a la 4 + e elevado a la x-4 – ln X + 100
Medio tarde me parece mi respuesta, pero simplemente tenes que derivar cada termino independientemente:
7^4=(7.4)^3
e^x-4=e^x-4 (por formula)
lnx=1/x
100=0 (Derivando una constante en terminos de x)
Excelente contenido. Creo es posible mejorar el contenido para que sea más didáctico con más ejemplos, partiendo de lo elemental a lo complejo, para que el texto pueda ser más entendible para estudiantes de secundaria en Costa Rica.
Excelente artículo y muy dinámico.
Agradecemos tu comentario, la verdad estamos trabajando mucho para lograr tener las mejores explicaciones para que sea mas entendible al publico y para ello lo que ustedes recomienden nos ayuda en gran forma, esperamos que en un futuro seamos mejores siguiendo sus sugerencias, otra vez gracias.
Hola podrías hacernos el favor de mostrarnos la función para dar una mejor explicación.