


En primer lugar, supondremos el grado de es menor que el de
, si no fuera así se dividiría.

es el cociente y
el resto de la división polinómica.
Una vez que sabemos que el denominador tiene mayor grado que numerador, descomponemos el denominador en factores.
Dependiendo de las raíces del denominador nos podemos encontrar con diferentes casos, los cuales podemos consultar en la siguiente pagina.
Aquí abordaremos el tercer caso, que es cuando el denominador tiene raíces complejas y simples.
El denominador tiene raíces complejas simples
En este caso tenemos factores de la forma:
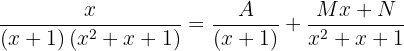
La fracción puede escribirse así:

donde y
son números a determinar.
Esta integral se descompone en una de tipo lograritmico y otra de tipo arcotangente. A continuación veremos un par de ejemplos para ilustrar esta clase de integrales.
Ejemplos de integrales racionales tipo 3
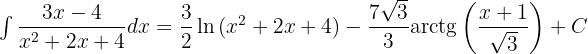
1
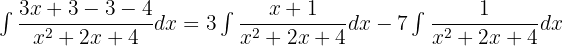
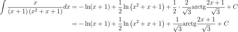
Como el grado del denominador es mayor que el grado del numerador comenzamos por descomponer el denominador en factores
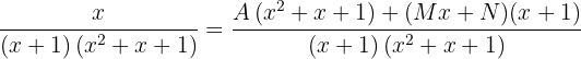
Efectuamos la suma
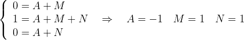
Puesto que las dos fracciones tienen el mismo denominador, los numeradores son iguales:
Igualamos los coeficientes de los dos miembros.
entonces

La primera integral es de tipo logariítmico y la segunda la tenemos que descomponer en dos, que serán de tipo logarítmico y tipo arcotangente.
Multiplicamos por 2 en la segunda integral para ir preparándola y proseguimos.

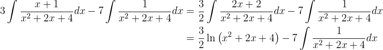
La integral que nos queda es de tipo arcotangente. Vamos a transformar el denominador de modo que podamos aplicar la fórmula de la integral del arcotangente.
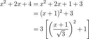
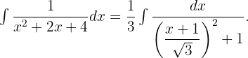
Transformamos el denominador en un binomio al cuadrado:
Multiplicamos numerador y denominador por , para convertir el
del denominador en uno y para el caso del binomio al cuadrado tendremos que multiplicar dentro del binomio al cuadrado por la raíz cuadrada de
.
es decir
2
Sumamos y restamos en el numerador, descomponemos en dos fracciones y en la primera sacamos factor común
.

Multiplicamos y dividimos en la primera fracción por 2

Para la integral faltante Vamos a transformar el denominador de modo que podamos aplicar la fórmula de la integral del arcotangente.
Transformamos el denominador en un binomio al cuadrado:

entonces

Realizamos un cambio de variable

por lo que queda

Por tanto

Apuntes es una plataforma dirigida al estudio y la práctica de las matemáticas a través de la teoría y ejercicios interactivos que ponemos a vuestra disposición. Esta información está disponible para todo aquel/aquella que quiera profundizar en el aprendizaje de esta ciencia. Será un placer ayudaros en caso de que tengáis dudas frente algún problema, sin embargo, no realizamos un ejercicio que nos presentéis de 0 sin que hayáis si quiera intentado resolverlo. Ánimo, todo esfuerzo tiene su recompensa.
Podrían brindarme información sobre el autor y la fecha de publicación del articulo? Estoy realizando una monografía en matemáticas y esta agina me ha servido mucho pero necesito esa información para referenciar correctamente la información.
¡Hola Yanela! 👋 Desde Superprof nos alegra que el artículo te haya sido útil. 😊 Para referenciarlo correctamente en tu monografía, puedes citarlo de la siguiente manera:
«Superprof. Ejercicios resueltos de integrales por sustitución. [En línea] Disponible en: [URL del artículo].»
Por motivos de privacidad, no podemos facilitar datos personales del autor ni fecha exacta de publicación. 📚✨
Veo un error en el ejercicio 9 a la hora de devolver la variable, recuerda que x^2+1 = u^2, no x^2+1 = u
Hola tienes razón, una disculpa y ya se corrigió.
Hay un error en el integral de seno de x multiplicado por coseno de x.
Haciendo sustitución queda u^2/2 lo que indica que es sen(x)^2/2.
Hola en tu razonamiento estas bien, pero hay una cuestión para resolver este ejercicio hay dos formas una como tu dices y otra usando identidades trigonométricas, puedes comprobar que sale el mismo resultado en la integral definida.
holaa, en el caso 4, en la última identidad están mal los signos, sería sen(a)sen(b)=1/2(cos(a-b)-cos(a+b))
Hola la manera en como presentas la fórmula esta bien, pero en la propiedad 4 que mencionas es lo mismo pero escrita de forma diferente, si multiplicas por el signo negativo queda igual a lo que tienes, si tienen alguna duda mencionalo.