Capítulos
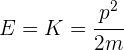
En 1924 De Broglie asignó una longitud de onda y una frecuencia a un electrón en movimiento. Propuso que un electrón de energía
y de momento lineal
puede describirse como una onda de materia cuya longitud y frecuencia están dadas por

similares a las propuestas por Einstein para un fotón individual, donde
es la constante de Planck. Estas fórmulas permiten calcular la longitud de onda y la frecuencia si se conocen el momento lineal y la energía. Ahora nos preguntamos como obtener la amplitud de una onda de materia.
Elementos de una onda
La función de desplazamiento en una onda transversal que se desplaza por una cuerda estirada en dirección de
creciente está dada por

donde el número de onda
y la frecuencia angular
se expresan en término de la longitud de onda y la frecuencia como sigue:

Por su parte, la amplitud de onda
es una constante que en ocasiones se expresa por 
Función de onda
Consideramos una onda de materia asociada a una partícula de masa
que se mueve en dirección de
creciente y sobre la cual no actua ninguna fuerza, es decir, una partícula libre. Para describir la función de desplazamiento de una onda asociada a una partícula libre, Erwin Schrödinger propuso una función
a la que llamó función de onda y que se expresa de la forma

donde
es la amplitud de la onda y notamos que al contener la unidad imaginaria,
, la función de onda es compleja.
Interpretación de la función de onda
La interpretación física de la función de onda fue dada por Max Born quien postuló: "El producto
representa la probabilidad de que la partícula en cuestión se encuentre entre las posiciones
y
"
Al producto de la función de onda con su conjugado se le conoce como densidad de probabilidad

la cual es una constante independiente de
, por lo que se concluye que la partícula puede encontrarse con igual probabilidad en cualquier punto de la dirección
, en el intervalo
. Como ninguna fuerza actúa sobre la partícula libre, su momento lineal es una constante determinada, esto es,
y hemos observado que la partícula puede encontrase en
, es decir,
, lo cual coincide enteramente con el principio de incertidumbre de Heisenberg.
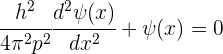
La ecuación de Schrödinger
En 1927, Erwin Schrödinger propuso una ecuación que actualmente se conoce como la ecuación de Schrödinger, la cual es fundamental para la física cuántica ya que se emplea para explicar la mayoría de los fenómenos cuánticos. Este logro le valió en Premio Nobel en 1933. La expresión general para cualquier partícula que se mueve en la dirección de
es

donde
es constante y representa la energía de la partícula y
es su energía potencial. Para el caso de una partícula libre, su energía potencial es constante, la cual podemos suponer que es cero en todos los valores de
. Luego la energía total es igual a la energía cinética

Sustituyendo en la ecuación de Schrödinger se obtiene

cuya solución es la función de onda
propuesta por Schrödinger.
Resumir con IA:









Profesor Gaspar. Como puedo tener Coordenadas a traves del Espacio Exterior, para conocer por ejemplo la posible ubicacion de una tripulacion. Gracias Profesor.
Hola tu pregunta es muy interesante, para tener coordenadas en el espacio tendrías que tomar un cuerpo celeste, un sistema solar u otra cosa como referencia, podría ser también el sol o el planeta tierra y a partir de allí te podrías guiar, usando la forma rectangular, cilíndrica o esférica.
Un cordial saludo. Con respecto a la Constante de Planck, y asumiendo que puede ser un tema “interesante” a colegiar, quiero compartir la siguiente “observación”:
Si tenemos en cuenta que:
1ro- En los eventos de comportamiento Oscilatorio está conceptualizado claramente que la “frecuencia” es la cantidad de Oscilaciones que ejecuta la onda en un intervalo de tiempo determinado (por ejemplo, “20 Oscilaciones/segundo”) aunque por motivos prácticos en las ecuaciones aparezca anotada generalmente en la unidad “1/segundo”, lo cual tiene su origen en que el “periodo” se expresa también habitualmente en “segundos” (PERO, su unidad de medida conceptualmente rigurosa es “tiempo/Oscilación”)
2do- En base a lo anterior si ahora se procediera a anotar la “frecuencia” en su unidad “académicamente rigurosa” para enunciar la Ecuación Cuántica de la Energía de un fotón ( E = h x f ), entonces para que la unidad de medida de la Energía (E) quede en su unidad (por ejemplo, “Joules”) la unidad de medida de la Constante de Planck tendría que ser “(Joules x segundo)/OSCILACIÓN” (?!)
Un cordial saludo. Con respecto a las discusiones ontológicas sobre la Mecánica Cuántica, se puede «demostrar» que su causa básica radica en el hecho de que «la unidad de medida de la Constante de Planck adolece de un término, y que al ser agregado se nos revela de manera plena el verdadero significado físico de esta Constante, y a la vez se solucionan las aparentes Paradojas asociadas a la Mecánica Cuántica»!
Un cordial saludo. Con respecto a las «aparentes» Paradojas asociadas a la mecánica Cuántica, resulta que se puede «demostrar» que la causa básica de las mismas radica en que «la unidad de medida de la Constante de Planck adolece (le falta) de un término, que al ser adicionado permite comprender a plenitud el significado físico real de esta»!
Hola, agradecemos mucho tus comentarios para entender temas tan complicados de la mecánica cuántica y de las paradojas pues en si estas son difíciles de entender.
Un cordial saludo. Con respecto a la «unidad de medida» de la Constante de Planck, si tenemos en cuenta que para la «frecuencia» de los fenómenos oscilatorios, la cual tradicionalmente se expresa en la unidad «1/segundo» (por una cuestión de índole práctico a partir de que el período también se denota en la unidad «tiempo»), está bien determinado que la unidad de medida académicamente rigurosa para la «frecuencia» es el «Hz (OSCILACIONES/segundo)» y para el «período» es «tiempo/OSCILACIÓN», con estos antecedentes si ahora queremos expresar la ecuación cuántica de la energía de un fotón ( E = h x f ) usando esta unidad de medida de la «frecuencia» (para lo cual se tiene no solo el derecho sino que resulta ser el planteamiento MÁS CORRECTO ya que conceptualmente la frecuencia es «cantidad de OSCILACIONES/tiempo») entonces , expresando la Energía en «Joules» y el Tiempo en «segundos», y tener ahora que cancelar no solo la unidad «segundo» sino TAMBIÉN la unidad «OSCILACIÓN» entonces a la Constante de Planck le corresponde la unidad de medida «(Joules.segundo)/OSCILACIÓN»!
Hola tienes razón en cuanto a lo tradicional y lo riguroso, en este artículo nos basamos mas en lo tradicional pues solo es una iniciación en este tipos de temas de física, pero tu información es muy interesante y ayuda mucho para aquellos que desean profundizar en lo riguroso, te agradecemos mucho.
Buenas tardes.Por favor me puedes ayudar aplicando la integración o diferencial en la inecuacion de Heisenberg?.Soy cubana