Capítulos
Determinante de orden uno
 
    Ejemplo:
 
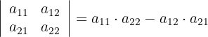
    Determinante de orden dos
 
    Ejemplo:
 
    Determinante de orden tres
Se aplica la regla de Sarrus:
 
    Ejemplo:
 
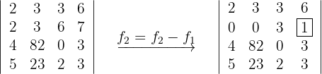
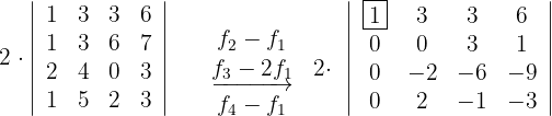
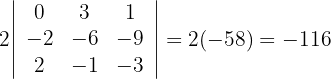
    Cálculo de un determinante de cualquier orden
Consiste en conseguir que una de las líneas del determinante esté formada por elementos nulos, menos uno: el elemento base o pivote, que valdrá  ó
  ó   .
.
Seguiremos los siguientes pasos:
1 Si algún elemento del determinante vale la unidad, se elige una de las dos líneas: la fila o la columna, que contienen a dicho elemento (se debe escoger aquella que contenga el mayor número posible de elementos nulos).
 
    2 En caso negativo seguiremos alguno de los siguientes pasos:
1. Nos fijamos en una línea que contenga el mayor número posible de elementos nulos y operaremos para que uno de los elementos de esa línea sea un 1 ó un −1 (operando con alguna línea paralela).
 
    2. Dividiendo la línea fila (o la columna) por uno de sus elementos, por lo cual deberíamos multiplicar el determinante por dicho elemento para que su valor no varíe. Es decir, sacamos factor común en una fila (o una columna) de uno de sus elementos.
 
    3.Tomando como referencia el elemento base, operaremos de modo que todos los elementos de la fila o columna, donde se encuentre, sean ceros.
 
    4. Tomamos el adjunto del elemento base, con lo que obtenemos un determinante de orden inferior en una unidad al original.
 
                







 Cargando...
Cargando...
Apuntes es una plataforma dirigida al estudio y la práctica de las matemáticas a través de la teoría y ejercicios interactivos que ponemos a vuestra disposición. Esta información está disponible para todo aquel/aquella que quiera profundizar en el aprendizaje de esta ciencia. Será un placer ayudaros en caso de que tengáis dudas frente algún problema, sin embargo, no realizamos un ejercicio que nos presentéis de 0 sin que hayáis si quiera intentado resolverlo. Ánimo, todo esfuerzo tiene su recompensa.
ME PUEDEN DAR LA AUTORA Y EL AÑO EN QUE SE PUBLICO
¡Hola Luis! 👋 Desde Superprof nos alegra que el artículo te sea útil. 😊 Para citarlo, puedes usar la siguiente referencia:
«Superprof. Ejercicios de determinantes II. [En línea] Disponible en: [URL del artículo].»
Por privacidad, no podemos facilitar el nombre completo del autor ni la fecha exacta de publicación, pero esta forma permite que tu cita sea válida en trabajos académicos. 📚✨
Falta la propiedad de la inversa de una matriz= 1/ la matriz
Hola, si tenemos un artículo con el tema de la inversa de una matriz es este «https://www.superprof.es/apuntes/escolar/matematicas/algebralineal/matrices/formulas-de-matriz-inversa.html».
Hola. Una sugerencia:
En el aparte 5, sugiero añadir algo a la explicación de la regla de invariancia citada previamente.
La original dice: «Es decir, si una fila (o una columna) la transformamos en una combinación lineal de las demás, el valor del determinante no varía.»
La sugerencia sería: «Es decir, si una fila (o una columna) la transformamos en una combinación lineal de las demás y de ella misma, el valor del determinante no varía.»
Espero que eso ayude…
Gracias por estar ahí… Saludos!!
Buenos días.
Si en el ejemplo del punto 5 anterior hacemos la siguiente transformación
C3=2C1+C2-C3
el determinante resultante cambia de signo (para a valer -16).
Y esto sería otra combinación lineal en la que se incluye a la propia columna 3…
Fijate que me aparece el articulo «Ejercicios de determinantes II» y no encuentro lo que mencionas, podrias indicarme el articulo que mencionas, gracias por la sugerencia.
Colo resolver el método de determinante de
5×-2y=1
3×+y=5
(1-1 0 0 2 1 1 3 -1