Capítulos
Propiedades de los determinantes
Demostrar, sin desarrollar, que los siguientes determinantes valen cero:

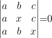
1 Determinante de A A la columna 3 le sumamos la columna 2 y obtenemos:
Tiene dos columnas iguales, por lo tanto su determinante debe ser igual a 0.
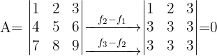
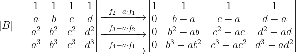
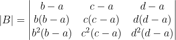
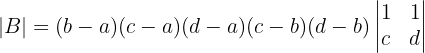
2 Determinante de B
Notamos que la tercera columna es igual a la suma de las otras dos, así que su determinante es 0. 
Si
, calcula los determinantes
y 
1 
2 
1 Determinante de B 
2 Determinante de C

Demostrar que los siguientes determinantes son múltiplos de 5 y 4 respectivamente, sin desarrollarlos

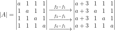
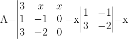
1 Determinante de A

No nos interesa saber el valor exacto de la última matriz, pues sabemos que debe ser un número entero y que al multiplicarse por el 5 de la izquierda, el determinante de
resultará un múltiplo de 5.
2 Determinante de B

De manera análoga, ignoramos el valor exacto de la última matriz, ya que al ser un número entero y al multiplicarse por el 4 de la izquierda, el determinante de
resultará un múltiplo de 4
Demostrar, sin desarrollar, que el siguiente determinante es múltiplo de 15:


No nos interesa saber el valor exacto de la última matriz, pues sabemos que debe ser un número entero y que al multiplicarse por el 15 de la izquierda, el determinante de resultará un múltiplo de 15
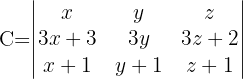
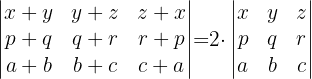
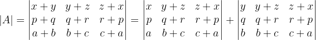
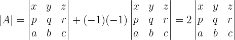
Demuéstrese las igualdades que se indican, sin necesidad de desarrollar los determinantes:
1 
2 
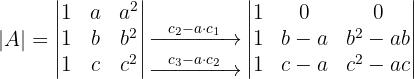
1 
Expresamos la matriz como suma de dos matrices

Cada uno de estos sumandos es a su vez la suma de otras dos matrices

Pero la segunda y tercera matriz tiene dos columnas iguales, por lo que su determinante será cero. Así que

Separamos como sumas nuevamente estas dos matrices y nos queda

Nuevamente la segunda y tercera matriz tiene dos columnas iguales, por lo que su determinante será cero.


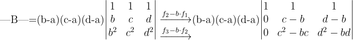
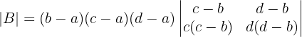
Cada factor
sale de haber intercambiado la posición de un par de columnas
2 
Multiplicamos la 1ª fila por la
, la 2ª por
y la tercera por
, por tanto tenemos que dividir por abc para que el resultado no varíe. 
Aplicando las propiedades de los determinantes, calcular:

1 Determinante A

2 Determinante B

3 Determinante C

Ecuaciones y determinantes
Resolver las siguientes ecuaciones sin desarrollar los determinantes.
1 
2 
1 

Calculamos el determinante y resulta la ecuación

Las soluciones son entonces

2 

De calcular el determinante resulta

Las soluciones son

Resolver las siguientes ecuaciones matriciales:
1
, donde 
2
donde

1 
, existe la matriz inversa 






2 
, existe la matriz inversa 











Determinantes triangulares
Pasando a determinantes triangulares, calcular el valor de:

1 Determinante A



2 Determinante B

Determinantes de Vandermonde
Calcular los determinantes de Vandermonde:

1 Determinante A



2 Determinante B






Matriz inversa
Hallar la matriz inversa de:

Hallar la matriz inversa de:
El determinante es
La matriz adjunta y la matriz adjunta transpuesta están dadas por

Finalmente la inversa es

Para qué valores de
la matriz
no admite matriz inversa?
Calculamos el determinante

Para
la matriz
no tiene inversa.
Rango de matrices
Calcular el rango de las siguientes matrices:
1 
2 
3 
1 Rango de A





Por lo tanto el rango es

2 Rango de B





Entonces el rango de
está dado por

3 Rango de C

Eliminamos la tercera columna por ser nula, la cuarta por ser proporcional a la primera, y la quinta porque combinación lineal de la primera y segunda:

El rango de
es equivalente al rango de la siguiente matriz


El rango de
es

Resumir con IA:









Apuntes es una plataforma dirigida al estudio y la práctica de las matemáticas a través de la teoría y ejercicios interactivos que ponemos a vuestra disposición. Esta información está disponible para todo aquel/aquella que quiera profundizar en el aprendizaje de esta ciencia. Será un placer ayudaros en caso de que tengáis dudas frente algún problema, sin embargo, no realizamos un ejercicio que nos presentéis de 0 sin que hayáis si quiera intentado resolverlo. Ánimo, todo esfuerzo tiene su recompensa.
ME PUEDEN DAR LA AUTORA Y EL AÑO EN QUE SE PUBLICO
¡Hola Luis! 👋 Desde Superprof nos alegra que el artículo te sea útil. 😊 Para citarlo, puedes usar la siguiente referencia:
«Superprof. Ejercicios de determinantes II. [En línea] Disponible en: [URL del artículo].»
Por privacidad, no podemos facilitar el nombre completo del autor ni la fecha exacta de publicación, pero esta forma permite que tu cita sea válida en trabajos académicos. 📚✨
Falta la propiedad de la inversa de una matriz= 1/ la matriz
Hola, si tenemos un artículo con el tema de la inversa de una matriz es este «https://www.superprof.es/apuntes/escolar/matematicas/algebralineal/matrices/formulas-de-matriz-inversa.html».
Hola. Una sugerencia:
En el aparte 5, sugiero añadir algo a la explicación de la regla de invariancia citada previamente.
La original dice: «Es decir, si una fila (o una columna) la transformamos en una combinación lineal de las demás, el valor del determinante no varía.»
La sugerencia sería: «Es decir, si una fila (o una columna) la transformamos en una combinación lineal de las demás y de ella misma, el valor del determinante no varía.»
Espero que eso ayude…
Gracias por estar ahí… Saludos!!
Buenos días.
Si en el ejemplo del punto 5 anterior hacemos la siguiente transformación
C3=2C1+C2-C3
el determinante resultante cambia de signo (para a valer -16).
Y esto sería otra combinación lineal en la que se incluye a la propia columna 3…
Fijate que me aparece el articulo «Ejercicios de determinantes II» y no encuentro lo que mencionas, podrias indicarme el articulo que mencionas, gracias por la sugerencia.
Colo resolver el método de determinante de
5×-2y=1
3×+y=5
(1-1 0 0 2 1 1 3 -1