Capítulos
Menor complementario
Se llama menor complementario de un elemento
al valor del determinante de orden
que se obtiene al suprimir en la matriz la fila
y la columna 

Adjunto
Se llama adjunto del elemento
a su menor complementario anteponiendo:
El signo es
si
es par.
El signo es
si
es impar.

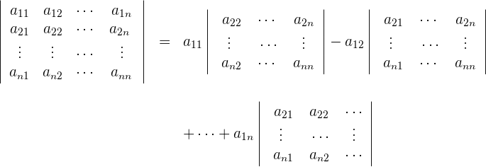
El valor de un determinante es igual a la suma de productos de los elementos de una fila (o una columna) por sus adjuntos correspondientes:

Para un determinante de
se tiene:

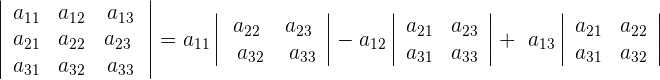
Ejemplo: Hallar el determinante de:

1 Empleamos la primera fila y calculamos los adjuntos correspondientes

2 Observemos que este método es especialmente útil si lo usamos apoyandonos en una fila (o columna) que tenga uno o más ceros, siendo más sencillo cuantos más ceros tenga.
En nuestro ejemplo, facilitaría los cálculos hallar el determinante apoyándonos en la primera columna:

Resumir con IA:









Apuntes es una plataforma dirigida al estudio y la práctica de las matemáticas a través de la teoría y ejercicios interactivos que ponemos a vuestra disposición. Esta información está disponible para todo aquel/aquella que quiera profundizar en el aprendizaje de esta ciencia. Será un placer ayudaros en caso de que tengáis dudas frente algún problema, sin embargo, no realizamos un ejercicio que nos presentéis de 0 sin que hayáis si quiera intentado resolverlo. Ánimo, todo esfuerzo tiene su recompensa.
ME PUEDEN DAR LA AUTORA Y EL AÑO EN QUE SE PUBLICO
¡Hola Luis! 👋 Desde Superprof nos alegra que el artículo te sea útil. 😊 Para citarlo, puedes usar la siguiente referencia:
«Superprof. Ejercicios de determinantes II. [En línea] Disponible en: [URL del artículo].»
Por privacidad, no podemos facilitar el nombre completo del autor ni la fecha exacta de publicación, pero esta forma permite que tu cita sea válida en trabajos académicos. 📚✨
Falta la propiedad de la inversa de una matriz= 1/ la matriz
Hola, si tenemos un artículo con el tema de la inversa de una matriz es este «https://www.superprof.es/apuntes/escolar/matematicas/algebralineal/matrices/formulas-de-matriz-inversa.html».
Hola. Una sugerencia:
En el aparte 5, sugiero añadir algo a la explicación de la regla de invariancia citada previamente.
La original dice: «Es decir, si una fila (o una columna) la transformamos en una combinación lineal de las demás, el valor del determinante no varía.»
La sugerencia sería: «Es decir, si una fila (o una columna) la transformamos en una combinación lineal de las demás y de ella misma, el valor del determinante no varía.»
Espero que eso ayude…
Gracias por estar ahí… Saludos!!
Buenos días.
Si en el ejemplo del punto 5 anterior hacemos la siguiente transformación
C3=2C1+C2-C3
el determinante resultante cambia de signo (para a valer -16).
Y esto sería otra combinación lineal en la que se incluye a la propia columna 3…
Fijate que me aparece el articulo «Ejercicios de determinantes II» y no encuentro lo que mencionas, podrias indicarme el articulo que mencionas, gracias por la sugerencia.
Colo resolver el método de determinante de
5×-2y=1
3×+y=5
(1-1 0 0 2 1 1 3 -1