El ángulo que forman dos rectas es igual al ángulo agudo determinado por los vectores directores de las rectas. Es decir,
Dos rectas son perpendiculares si sus vectores directores son ortogonales.
Ejemplos
Hallar el ángulo que forman las rectas:
1 
Calculamos sus vectores directores
calculamos el ángulo agudo entre los vectores
por tanto, el ángulo entre las rectas es
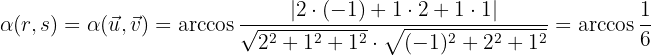
2 
Calculamos sus vectores directores
es decir, son
Calculamos el ángulo agudo entre los vectores
por tanto, el ángulo entre las rectas es
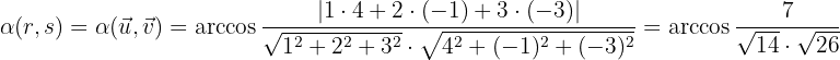
3 
Calculamos los vectores directores
Estos son
Calculamos el ángulo entre ellos
por tanto, el ángulo entre las rectas es
Resumir con IA:

Apuntes es una plataforma dirigida al estudio y la práctica de las matemáticas a través de la teoría y ejercicios interactivos que ponemos a vuestra disposición. Esta información está disponible para todo aquel/aquella que quiera profundizar en el aprendizaje de esta ciencia. Será un placer ayudaros en caso de que tengáis dudas frente algún problema, sin embargo, no realizamos un ejercicio que nos presentéis de 0 sin que hayáis si quiera intentado resolverlo. Ánimo, todo esfuerzo tiene su recompensa.
Buenas, cómo calculas el volumen del paralelepípedo si te aparecen los vectores u(2,1,0)^t , v(1,2,2)^t, w(-1,0,2)^t ?
¿Por qué en el calculo de la distancia punto recta, el orden de la matriz és alterado?
Hola podrías mencionar un ejemplo pues no encuentro la alteración que mencionas, solo veo que se sigue la fórmula que se indica.
No me queda claro por qué el área de un paralelogramo con los vectores ā y ē es |ā x ē| en vez de ser |ā|·|ē| que sería el módulo (longitud) de uno por el módulo (longitud) del otro.
Para entenderlo recordemos cómo se calcula el área del paralelogramo es base por altura, para la base se toma el módulo de uno de los vectores pero para altura se toma la proyección del otro vector en el eje vertical lo que implica la función seno y ya multiplicados dan una de las definiciones del producto cruz, en el artículo «https://www.superprof.es/apuntes/escolar/matematicas/analitica/distancias/areas-y-volumenes.html#tema_area-del-paralelogramo» se la imagen de lo que explique.