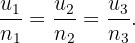
El ángulo que forman una recta,
, y un plano,
, es el ángulo formado por
con su proyección ortogonal sobre
.

El ángulo que forman una recta y un plano es igual al complementario del ángulo agudo que forman el vector director,
, de la recta y el vector normal,
, del plano. Es decir, si

entonces 
Por lo tanto

Nota: Si la recta
y el plano
son perpendiculares, el vector director de la recta y el vector normal del plano tienen la misma dirección y, por lo tanto, sus componentes son proporcionales, esto es, 
Ejemplos:
1 Determinar el ángulo que forman la recta
y el plano

Solución: Tenemos que el vector director es
cuyas componentes corresponden a los denominadores de las variables en la ecuación simétrica de la recta. Por otro lado, el vector normal es
cuyas componentes corresponden a los coeficientes que acompañan a las variables en la ecuación del plano. Para calcular el ángulo seguimos la fórmula de arriba

Por lo tanto

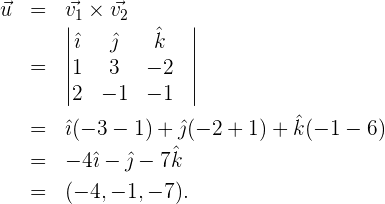
2 Hallar el ángulo que forman la recta
y el plano 
Solución: Como el vector director
tomamos al vector resultante de efectuar el producto cruz de los vectores 
que corresponden a los coeficientes de las variables de la ecuación de la recta. Así, tenemos que

Como vector normal tomamos al vector 
Por lo tanto

Así, 
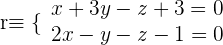
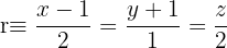
3Obtener el ángulo formado por el plano y la recta siguientes: 
Solución: Comenzamos parametrizando a la recta de la siguiente manera. Sea
entonces

De esta ecuación obtenemos el vector director: 
Como vector normal tomamos al vector 
Por lo tanto tenemos que

Finalmente, 
Resumir con IA:

Apuntes es una plataforma dirigida al estudio y la práctica de las matemáticas a través de la teoría y ejercicios interactivos que ponemos a vuestra disposición. Esta información está disponible para todo aquel/aquella que quiera profundizar en el aprendizaje de esta ciencia. Será un placer ayudaros en caso de que tengáis dudas frente algún problema, sin embargo, no realizamos un ejercicio que nos presentéis de 0 sin que hayáis si quiera intentado resolverlo. Ánimo, todo esfuerzo tiene su recompensa.
Buenas, cómo calculas el volumen del paralelepípedo si te aparecen los vectores u(2,1,0)^t , v(1,2,2)^t, w(-1,0,2)^t ?
¿Por qué en el calculo de la distancia punto recta, el orden de la matriz és alterado?
Hola podrías mencionar un ejemplo pues no encuentro la alteración que mencionas, solo veo que se sigue la fórmula que se indica.
No me queda claro por qué el área de un paralelogramo con los vectores ā y ē es |ā x ē| en vez de ser |ā|·|ē| que sería el módulo (longitud) de uno por el módulo (longitud) del otro.
Para entenderlo recordemos cómo se calcula el área del paralelogramo es base por altura, para la base se toma el módulo de uno de los vectores pero para altura se toma la proyección del otro vector en el eje vertical lo que implica la función seno y ya multiplicados dan una de las definiciones del producto cruz, en el artículo «https://www.superprof.es/apuntes/escolar/matematicas/analitica/distancias/areas-y-volumenes.html#tema_area-del-paralelogramo» se la imagen de lo que explique.