Definición de la distancia de un punto a un plano
La distancia de un punto,
, a un plano,
, es la menor de la distancia desde el punto a los infinitos puntos del plano.
Esta distancia corresponde a la perpendicular trazada desde el punto al plano.
El punto
y el plano
son de la forma:
y la fórmula de la distancia de un punto a un plano es:
Ejemplos
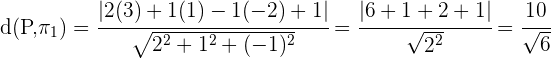
1 Hallar la distancia del punto
a los planos
y
.
Comencemos por calcular la distancia del punto al plano
:
Ahora calculemos la distancia que hay del punto al segundo plano
:
2 Hallar la distancia del punto
al plano
.
Comenzamos por encontrar la ecuación del plano
Resolviendo la matriz tenemos:
Encontramos ahora la distancia que hay del punto al plano
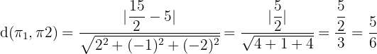
Distancia entre planos paralelos
Para calcular la distancia entre dos planos paralelos, se halla la distancia de un punto cualquiera de uno de ellos al otro.
Los planos paralelos tienen la siguiente forma:

Y la fórmula para calcular la distancia entre ellos es la siguiente
Ejemplo
Calcular la distancia entre los planos
y
.
Comenzamos por verificar que los planos sean paralelos entonces dividimos los coeficientes equivalentes de cada ecuación, es decir,
Los coeficientes de
y
son iguales y el coeficiente
es diferente, por lo tanto, sí son planos paralelos.
Transformamos la ecuación del segundo plano para que los dos planos tengan el mismo vector normal, es decir, la dividimos por 2.

Ahora sí podemos calcular la distancia entre los dos planos paralelos
Resumir con IA:









Apuntes es una plataforma dirigida al estudio y la práctica de las matemáticas a través de la teoría y ejercicios interactivos que ponemos a vuestra disposición. Esta información está disponible para todo aquel/aquella que quiera profundizar en el aprendizaje de esta ciencia. Será un placer ayudaros en caso de que tengáis dudas frente algún problema, sin embargo, no realizamos un ejercicio que nos presentéis de 0 sin que hayáis si quiera intentado resolverlo. Ánimo, todo esfuerzo tiene su recompensa.
Buenas, cómo calculas el volumen del paralelepípedo si te aparecen los vectores u(2,1,0)^t , v(1,2,2)^t, w(-1,0,2)^t ?
¿Por qué en el calculo de la distancia punto recta, el orden de la matriz és alterado?
Hola podrías mencionar un ejemplo pues no encuentro la alteración que mencionas, solo veo que se sigue la fórmula que se indica.
No me queda claro por qué el área de un paralelogramo con los vectores ā y ē es |ā x ē| en vez de ser |ā|·|ē| que sería el módulo (longitud) de uno por el módulo (longitud) del otro.
Para entenderlo recordemos cómo se calcula el área del paralelogramo es base por altura, para la base se toma el módulo de uno de los vectores pero para altura se toma la proyección del otro vector en el eje vertical lo que implica la función seno y ya multiplicados dan una de las definiciones del producto cruz, en el artículo «https://www.superprof.es/apuntes/escolar/matematicas/analitica/distancias/areas-y-volumenes.html#tema_area-del-paralelogramo» se la imagen de lo que explique.