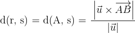
Distancia entre rectas paralelas
La distancia de una recta
a otra paralela
, es la distancia desde un punto cualquiera de
a
.

La fórmula que nos permite encontrar la distancia entre dos rectas es

Distancia entre rectas que se cruzan
La distancia entre dos sectas que se cruzan se mide sobre la perpendicular común. Sean
y
las determinaciones lineales de las rectas
y
.

Los vectores
determinan un paralelepípedo cuya altura es la distancia entre las dos rectas.
El volumen de un paralelepípedo es igual al área de su base por la altura.
.
Teniendo en cuenta el volumen es el valor absoluto del producto mixto de los tres vectores y el área de la base es el producto vectorial de los vectores directores de las rectas, la altura, es decir, la distancia entre los dos puntos es igual a:

Ejercicio
Hallar la mínima distancia entre las rectas:

1Encontramos la determinación lineal de la recta 

2Encontramos la determinación lineal de la recta 

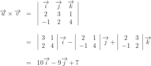
3Calculamos el vector 

4Calculamos el volumen del paralelepípedo

5Calculamos el área de la base del paralelepípedo, para esto requerimos el producto vectorial de los vectores directores

Luego el área de la base es

6Así, la distancia viene dada por la altura el paralelepipedo los vértices son: 

Resumir con IA:









Apuntes es una plataforma dirigida al estudio y la práctica de las matemáticas a través de la teoría y ejercicios interactivos que ponemos a vuestra disposición. Esta información está disponible para todo aquel/aquella que quiera profundizar en el aprendizaje de esta ciencia. Será un placer ayudaros en caso de que tengáis dudas frente algún problema, sin embargo, no realizamos un ejercicio que nos presentéis de 0 sin que hayáis si quiera intentado resolverlo. Ánimo, todo esfuerzo tiene su recompensa.
Buenas, cómo calculas el volumen del paralelepípedo si te aparecen los vectores u(2,1,0)^t , v(1,2,2)^t, w(-1,0,2)^t ?
¿Por qué en el calculo de la distancia punto recta, el orden de la matriz és alterado?
Hola podrías mencionar un ejemplo pues no encuentro la alteración que mencionas, solo veo que se sigue la fórmula que se indica.
No me queda claro por qué el área de un paralelogramo con los vectores ā y ē es |ā x ē| en vez de ser |ā|·|ē| que sería el módulo (longitud) de uno por el módulo (longitud) del otro.
Para entenderlo recordemos cómo se calcula el área del paralelogramo es base por altura, para la base se toma el módulo de uno de los vectores pero para altura se toma la proyección del otro vector en el eje vertical lo que implica la función seno y ya multiplicados dan una de las definiciones del producto cruz, en el artículo «https://www.superprof.es/apuntes/escolar/matematicas/analitica/distancias/areas-y-volumenes.html#tema_area-del-paralelogramo» se la imagen de lo que explique.