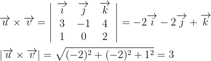
Hallar el área del triángulo cuyos vértices son los puntos
y
.
El triángulo está formado por lo vectores
Calculamos el producto vectorial 
Obtenemos el módulo del vector resultante 
Usamos la fórmula para obtener el área 

Hallar el volumen del tetraedro cuyos vértices son los puntos
y
.
El tetraedro está formado por lo vectores

Usamos la fórmula del volumen y obtenemos

Calcular la distancia entre las rectas:
y

Encontramos un punto de cada recta y un vector director
encontramos el vector 
Calculamos el producto mixto de los vectores 
Calculamos el producto vectorial de los vectores directores y el modulo del vector resultante 
Por tanto

Hallar el simétrico del punto A(3, 2, 1) respecto del plano 

En primer lugar calculamos
, que es la recta que pasa por
y es perpendicular a

Hallamos el punto de intersección de la recta
y el plano

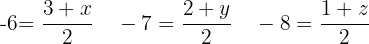
Teniendo en cuenta las coordenadas del punto medio de un segmento, podemos hallar el extremo
, resolviendo
obtenemos 
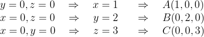
Calcular el área del triángulo cuyos vértices son los puntos de intersección del plano
con los ejes coordenados.
Calculamos primeramente los vértices del triangulo

Ahora bien, el triángulo está formado por lo vectores 
Calculamos el producto vectorial 
Por tanto el area es

Dado el plano de ecuación
y el punto
hallar las coordenadas del pie de la perpendicular trazada desde
a ese plano (o sea, la proyección ortogonal de
sobre él).

Buscamos la recta perpendicular a
que pasa por
. El vector normal del plano es paralelo a esta recta, por lo tanto lo tomaremos como vector director:

Ahora buscamos la intersección de la recta con el plano, reemplazando las ecuaciones paramétricas de la recta en la ecuación del plano:

Reemplazamos en la ecuación de la recta para obtener as coordenadas del punto
y obtenemos 
Determinar la ecuación del plano
que está a
de distancia del origen y es paralelo a aquel que tiene por ecuación
.
Puesto que es paralelo al plano
, este tendra la siguiente forma 
Además, dista
unidades del origen, entonces 
De lo anterior tenemos que
, por lo tanto tendremos dos posibles planos 

Hallar la distancia entre el punto
y la recta del primer octante.
Tenemos que el primer octante es el recinto comprendido por los ejes, en su parte positiva, por tanto la recta diagonal de este octante pasa por el origen, es decir el punto
y tiene como vector director
.
Aplicando
con
. Entonces

Calculamos la magnitud de
y 


Por lo tanto

Calcular la distancia entre los planos:

Primero verificamos que sean paralelos. Para esto tomamos el cociente del coeficiente de
de
entre
, y este debe ser igual al cociente de los coeficientes de y, y de z.
Sin embargo debe ser diferente el cociente de los términos independientes, pues si no, los planos no serían paralelos, sino iguales.

Los dos planos son paralelos. Transformamos la ecuación del segundo plano para que los dos planos tengan el mismo vector normal. 
Usamos la fórmula de la distancia entre dos planos paralelos

¿Buscas profesor de matemáticas? Superprof es tu sitio.
Resumir con IA:

Apuntes es una plataforma dirigida al estudio y la práctica de las matemáticas a través de la teoría y ejercicios interactivos que ponemos a vuestra disposición. Esta información está disponible para todo aquel/aquella que quiera profundizar en el aprendizaje de esta ciencia. Será un placer ayudaros en caso de que tengáis dudas frente algún problema, sin embargo, no realizamos un ejercicio que nos presentéis de 0 sin que hayáis si quiera intentado resolverlo. Ánimo, todo esfuerzo tiene su recompensa.
Buenas, cómo calculas el volumen del paralelepípedo si te aparecen los vectores u(2,1,0)^t , v(1,2,2)^t, w(-1,0,2)^t ?
¿Por qué en el calculo de la distancia punto recta, el orden de la matriz és alterado?
Hola podrías mencionar un ejemplo pues no encuentro la alteración que mencionas, solo veo que se sigue la fórmula que se indica.
No me queda claro por qué el área de un paralelogramo con los vectores ā y ē es |ā x ē| en vez de ser |ā|·|ē| que sería el módulo (longitud) de uno por el módulo (longitud) del otro.
Para entenderlo recordemos cómo se calcula el área del paralelogramo es base por altura, para la base se toma el módulo de uno de los vectores pero para altura se toma la proyección del otro vector en el eje vertical lo que implica la función seno y ya multiplicados dan una de las definiciones del producto cruz, en el artículo «https://www.superprof.es/apuntes/escolar/matematicas/analitica/distancias/areas-y-volumenes.html#tema_area-del-paralelogramo» se la imagen de lo que explique.