Ejercicios propuestos
Hallar el área del triángulo cuyos vértices son los puntos
y
.
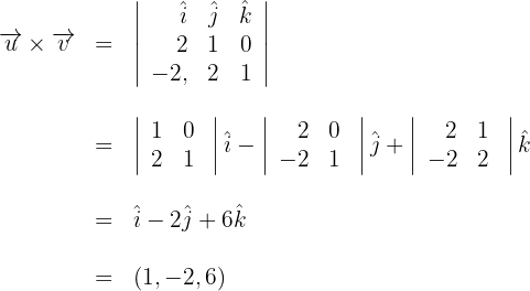
Primero calculamos los vectores de dos lados
.
.
Calculamos el producto vectorial de
y 
.
Calculamos la magnitud de 
.
Así, el área buscada es
.
Hallar el volumen del tetraedro cuyos vértices son los puntos
y
.
El tetraedro está formado por lo vectores



Usamos la fórmula del volumen

Calculamos primero el producto mixto

El volumen es

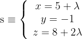
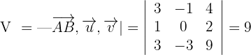
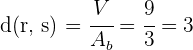
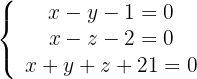
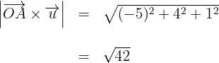
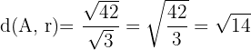
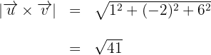
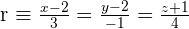
Calcular la distancia entre las rectas:
y

Encontramos la determinación lineal de la recta 

Encontramos la determinación lineal de la recta 

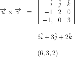
Calculamos el vector 

Calculamos el volumen del paralelepípedo

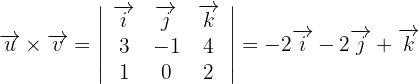
Calculamos el área de la base del paralelepípedo, para esto requerimos el producto vectorial de los vectores directores

Luego el área de la base es

Así, la distancia viene dada por

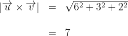
Hallar el simétrico del punto
respecto del plano
.

En primer lugar calculamos
, que es la recta que pasa por
y es perpendicular a
.
Hallamos el punto de intersección de la recta
y el plano

Resolviendo tenemos que el punto es
.
Teniendo en cuenta las coordenadas del punto medio de un segmento, podemos hallar el extremo
.
entonces

Calcular el área del triángulo cuyos vértices son los puntos de intersección del plano
con los ejes coordenados.
Calculamos primero cuales son los vértices del triangulo, considerando el plano y su intersección con los ejes coordenados

Por lo tanto, los vértices son
y
.
Ahora bien, similar al primer ejercicio, calculamos los vectores de dos lados
.
.
Calculamos el producto vectorial de
y 

Calculamos la magnitud de 

Así, el área buscada es

Dado el plano de ecuación
y el punto
, hallar las coordenadas del pie de la perpendicular trazada desde
a ese plano (o sea, la proyección ortogonal de
sobre él).

Buscamos la recta perpendicular a
que pasa por
.
El vector normal del plano es paralelo a esta recta, por lo tanto lo tomaremos como vector director:

Ahora buscamos la intersección de la recta con el plano, reemplazando las ecuaciones paramétricas de la recta en la ecuación del plano:

Reemplazamos en la ecuación de la recta para obtener as coordenadas del punto
y obtenemos 
Determinar la ecuación del plano
que está a
de distancia del origen y es paralelo a aquel que tiene por ecuación
.
Puesto que es paralelo al plano
, este tendra la siguiente forma
Además, dista
unidades del origen, entonces
De lo anterior tenemos que
, por lo tanto tendremos dos posibles planos 

Hallar la distancia entre el punto
y la recta del primer octante.
Tenemos que el primer octante es el recinto comprendido por los ejes, en su parte positiva, por tanto la recta diagonal de este octante pasa por el origen, es decir el punto
y tiene como vector director
.
Aplicando
con
. Entonces

Calculamos la magnitud de
y 


Por lo tanto

Resumir con IA:

Apuntes es una plataforma dirigida al estudio y la práctica de las matemáticas a través de la teoría y ejercicios interactivos que ponemos a vuestra disposición. Esta información está disponible para todo aquel/aquella que quiera profundizar en el aprendizaje de esta ciencia. Será un placer ayudaros en caso de que tengáis dudas frente algún problema, sin embargo, no realizamos un ejercicio que nos presentéis de 0 sin que hayáis si quiera intentado resolverlo. Ánimo, todo esfuerzo tiene su recompensa.
Buenas, cómo calculas el volumen del paralelepípedo si te aparecen los vectores u(2,1,0)^t , v(1,2,2)^t, w(-1,0,2)^t ?
¿Por qué en el calculo de la distancia punto recta, el orden de la matriz és alterado?
Hola podrías mencionar un ejemplo pues no encuentro la alteración que mencionas, solo veo que se sigue la fórmula que se indica.
No me queda claro por qué el área de un paralelogramo con los vectores ā y ē es |ā x ē| en vez de ser |ā|·|ē| que sería el módulo (longitud) de uno por el módulo (longitud) del otro.
Para entenderlo recordemos cómo se calcula el área del paralelogramo es base por altura, para la base se toma el módulo de uno de los vectores pero para altura se toma la proyección del otro vector en el eje vertical lo que implica la función seno y ya multiplicados dan una de las definiciones del producto cruz, en el artículo «https://www.superprof.es/apuntes/escolar/matematicas/analitica/distancias/areas-y-volumenes.html#tema_area-del-paralelogramo» se la imagen de lo que explique.