La distancia de un punto,
, a una recta,
es la menor de las distancias desde el punto a los infinitos puntos de la recta. Esta distancia corresponde a la perpendicular trazada desde el punto hasta la recta. La siguiente figura ilustra lo anterior:

En la figura 1,
denota el punto dado,
es un punto en la recta,
es el vector director de la recta y
denota la distancia entre el punto
y la recta 
Dicha distancia está dada por:

Ejemplos:
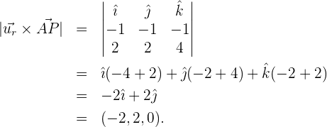
1 Calcular la distancia desde el punto
a la recta
cuya ecuación paramétrica es 
Solución:
Haciendo
obtenemos el punto
en la recta
. Así, tenemos que

Como vector director, tomamos a
que corresponde al coeficiente que acompaña al parámetro
en la ecuación paramétrica de la recta.
Luego, tenemos que

Así, 
y 
Por lo tanto, la distancia del punto
a la recta
es

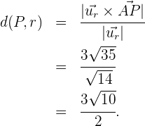
2 Hallar la distancia desde el punto
a la recta
dada por las ecuaciones simétricas 
Solución:
Como punto en la recta tomamos al punto
luego se tiene que 
Sea
el vector director de la recta.
Así 
Luego, tenemos que 
y 
Por lo tanto, la distancia del punto
a la recta
es

Resumir con IA:

Apuntes es una plataforma dirigida al estudio y la práctica de las matemáticas a través de la teoría y ejercicios interactivos que ponemos a vuestra disposición. Esta información está disponible para todo aquel/aquella que quiera profundizar en el aprendizaje de esta ciencia. Será un placer ayudaros en caso de que tengáis dudas frente algún problema, sin embargo, no realizamos un ejercicio que nos presentéis de 0 sin que hayáis si quiera intentado resolverlo. Ánimo, todo esfuerzo tiene su recompensa.
Buenas, cómo calculas el volumen del paralelepípedo si te aparecen los vectores u(2,1,0)^t , v(1,2,2)^t, w(-1,0,2)^t ?
¿Por qué en el calculo de la distancia punto recta, el orden de la matriz és alterado?
Hola podrías mencionar un ejemplo pues no encuentro la alteración que mencionas, solo veo que se sigue la fórmula que se indica.
No me queda claro por qué el área de un paralelogramo con los vectores ā y ē es |ā x ē| en vez de ser |ā|·|ē| que sería el módulo (longitud) de uno por el módulo (longitud) del otro.
Para entenderlo recordemos cómo se calcula el área del paralelogramo es base por altura, para la base se toma el módulo de uno de los vectores pero para altura se toma la proyección del otro vector en el eje vertical lo que implica la función seno y ya multiplicados dan una de las definiciones del producto cruz, en el artículo «https://www.superprof.es/apuntes/escolar/matematicas/analitica/distancias/areas-y-volumenes.html#tema_area-del-paralelogramo» se la imagen de lo que explique.