Capítulos
Área del paralelogramo
Geométricamente, el módulo del producto cruz de dos vectores coincide con el área del paralelogramo que tiene por lados a esos vectores.

Es decir, tendremos que el área del paralelogramo es
Ejemplo
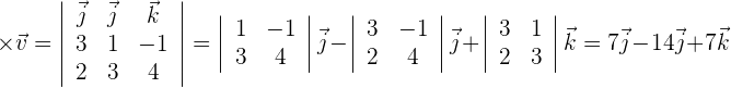
Dados los vectores
y
, hallar el área del paralelogramo que tiene por lados los vectores
.
Comenzamos calculando el producto cruz

y después procedemos a calcular el modulo
Área de un triángulo
Por otro lado, tenemos que un triangulo es la mitad de un paralelogramo, por lo tanto el módulo del producto cruz de dos vectores entre dos coincide con el área del triangulo.

Por tanto, tendremos que el área del triangulo es
Ejemplo
Determinar el área del triángulo cuyos vértices son los puntos
y
.
Calculamos primeramente el producto cruz
obteniendo
Calculamos el modulo

Y dividiendo entre dos obtenemos el área del triangulo
Volumen del paralelepípedo
Geométricamente, el valor absoluto del producto mixto representa el volumen del paralelepípedo cuyas aristas son tres vectores que concurren en un mismo vértice.
Ejemplo
Hallar el volumen del paralelepípedo formado por los vectores:
Entonces tenemos que el volumen es
Volumen de un tetraedro
El volumen de un tetraedro es igual a
del producto mixto, en valor absoluto.
Ejemplo
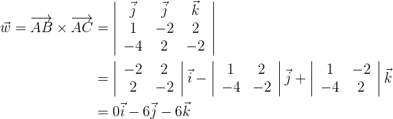
Obtener el volumen del tetraedro cuyos vértices son los puntos
y
.
Tenemos que
y el volumen es
calculando el producto mixto
por tanto el volumen es
Resumir con IA:









Apuntes es una plataforma dirigida al estudio y la práctica de las matemáticas a través de la teoría y ejercicios interactivos que ponemos a vuestra disposición. Esta información está disponible para todo aquel/aquella que quiera profundizar en el aprendizaje de esta ciencia. Será un placer ayudaros en caso de que tengáis dudas frente algún problema, sin embargo, no realizamos un ejercicio que nos presentéis de 0 sin que hayáis si quiera intentado resolverlo. Ánimo, todo esfuerzo tiene su recompensa.
Buenas, cómo calculas el volumen del paralelepípedo si te aparecen los vectores u(2,1,0)^t , v(1,2,2)^t, w(-1,0,2)^t ?
¿Por qué en el calculo de la distancia punto recta, el orden de la matriz és alterado?
Hola podrías mencionar un ejemplo pues no encuentro la alteración que mencionas, solo veo que se sigue la fórmula que se indica.
No me queda claro por qué el área de un paralelogramo con los vectores ā y ē es |ā x ē| en vez de ser |ā|·|ē| que sería el módulo (longitud) de uno por el módulo (longitud) del otro.
Para entenderlo recordemos cómo se calcula el área del paralelogramo es base por altura, para la base se toma el módulo de uno de los vectores pero para altura se toma la proyección del otro vector en el eje vertical lo que implica la función seno y ya multiplicados dan una de las definiciones del producto cruz, en el artículo «https://www.superprof.es/apuntes/escolar/matematicas/analitica/distancias/areas-y-volumenes.html#tema_area-del-paralelogramo» se la imagen de lo que explique.