Capítulos
Variable aleatoria
Sea
el espacio muestral de un experimento aleatorio. Una variable aleatoria
es una función definida en
que toma valores en el conjunto de los números reales, es decir,
. Una variable aleatoria es una función que asigna un valor al resultado de un experimento aleatorio.
Variable aleatoria discreta
Decimos que una variable aleatoria
es discreta si toma valores en un conjunto numerable, es decir, el rango de
(al cual denotaremos con
) es un conjunto numerable. Por ejemplo:

Función de probabilidad de variable aleatoria discreta
Sea
una variable aleatoria discreta. Definimos la función de probabilidad de
como

Observemos que si
, entonces la función de probabilidad
:
donde
es la probabilidad de que la variable aleatoria
tome el valor
. Es decir, la función de probabilidad asocia a cada valor
de la variable aleatoria, su probabilidad
.
Propiedades
Ejemplo de función de probabilidad de variable aleatoria discreta
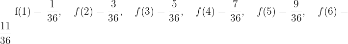
Supongamos que lanzamos dos dados y definimos la variable aleatoria
como

entonces su rango es

Observemos que en este caso el espacio muestral consta de
elementos, que son las combinaciones al lanzar los dos dados y el rango de la variable aleatoria son los enteros del
al
, con esto tenemos que el listado de las probabilidades es

o escrito de forma tabular
![]() | ![]() | ![]() | ![]() | ![]() | ![]() | ![]() |
![]() | ![]() | ![]() | ![]() | ![]() | ![]() | ![]() |
Por tanto, su función de probabilidad queda de la forma






















Apuntes es una plataforma dirigida al estudio y la práctica de las matemáticas a través de la teoría y ejercicios interactivos que ponemos a vuestra disposición. Esta información está disponible para todo aquel/aquella que quiera profundizar en el aprendizaje de esta ciencia. Será un placer ayudaros en caso de que tengáis dudas frente algún problema, sin embargo, no realizamos un ejercicio que nos presentéis de 0 sin que hayáis si quiera intentado resolverlo. Ánimo, todo esfuerzo tiene su recompensa.
Hola profe una pregunta me puedes ayydar con este ejerccicio no lo he entendido bien
Una moneda equulibrada se lanza 5 veces calcula la probabilidad de obtener
A) exactamente 3 caras
B) como maximo 2 caras
Se realizó una investigación sobre el desempeño docente de la EIB en los colegios privados
del distrito de San Juan de Lurigancho, se ha tomado una muestra de 54 docente. Se ha
escogido las edades de los docentes para el análisis, otras variables indican que los docentes
jóvenes (X<29 años) presenta mayor desempeño en las aulas, como resultado los logros de
los estudiantes han mejorado con relación al año pasado. De la información de la tabla, esta
conformada por la frecuencia de las edades, porcentaje, porcentaje validos (se refiere a los
datos perdido) y el porcentaje acumulado. hallar la esperanza matemática y la varianza para
la población joven y distintos a ellos. ¿Qué puede inferir con esos datos hallados? ¿Qué
acciones tomaría para mejorar el desempeño y el logro de los estudiantes? y finalmente
¿Cuál es la probabilidad de docentes entre 29 a 31 años?
En un estudio sobre comportamiento de compras, se observa que el 40% de los clientes, prefieren realizar compras en línea, si se seleccionan 10 clientes al azar, determina el porcentaje de que al menos seis prefieran comprar en línea:
buenos dias me puede decir que tipo de problema de probabilidad es el siguiente: en un grupo de matematicas el 80.5% de los alumnos acreditan la materia. si se toma una muestra de 100 alumnos calcular la probabilidad de que: a) mas del 88% acrediten la materia b) entre el 85 y el 90% acrediten la materia c)mas del 72% acrediten la materia d) menos del 80.5 acrediten la materia e) entre 71 y el 76% acrediten la materia f) menos del 75% acrediten la materia g) entre el 78 y el 84 % acrediten la materia h) menos del 90% acrediten la materia. Me puede orientar por favor
Dos jóvenes hacen una apuesta, el primero apuesta al segundo que en 5 intentos de valado al ambos obtienen 2 soles.
A) ¿Quien tiene la mayor probabilidad de ganar?
(p)=0,7
¿Y si te preguntan la probabilidad de que ocurra algo?
Necesito la demostración de que la varianza de una distribucion binomial es n.p.q
Distribución Binomial. (n! (x! (n-x)!)) (px)(q^(n-x))
La probabilidad de que un hombre acierte en el bianco es de. Si dispara 10 veces.
a) ¿Cuál es la probabilidad de que acierte exactamente en tres ocasiones?
b) ¿Cuál es la probabilidad de que acierte siete o más ocasiones?
c) ¿Cuál es la probabilidad de que acerté por lo menos 8 ocasiones?