Capítulos
La función de probabilidad de la distribución binomial, también denominada función de la distribución de Bernoulli, es:
donde
es el número de pruebas.
es el número de éxitos.
es la probabilidad de éxito.
es la probabilidad de fracaso.
El número combinatorio viene dado por
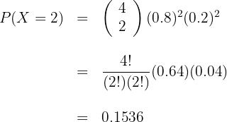
Ejemplo de probabilidad para exactamente k-éxitos
La última novela de un autor ha tenido un gran éxito, hasta el punto de que el 80% de los lectores ya la han leído. Hallar la probabilidad de que en un grupo de 4 amigos que son aficionados a la lectura, 2 hayan leído la novela.
1 La probabilidad de que una persona haya leído el libro es de 0.8, por lo que la probabilidad de que no lo haya leído es de 0.2
2 La probabilidad de que exactamente 2 personas del grupo de 4 amigos hayan leído la novela se representa por
.
3 Sustituimos los datos en la función de probabilidad de la distribución binomial
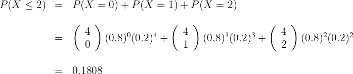
Ejemplo de probabilidad para a lo más k-éxitos
La última novela de un autor ha tenido un gran éxito, hasta el punto de que el 80% de los lectores ya la han leído. Hallar la probabilidad de que en un grupo de 4 amigos que son aficionados a la lectura, a lo más 2 hayan leído la novela.
1 La probabilidad de que una persona haya leído el libro es de 0.8, por lo que la probabilidad de que no lo haya leído es de 0.2
2 La probabilidad de que a lo más 2 personas del grupo de 4 amigos hayan leído la novela se representa por
.
3 Sustituimos los datos en la función de probabilidad de la distribución binomial
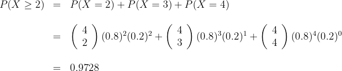
Ejemplo de probabilidad para al menos k-éxitos
La última novela de un autor ha tenido un gran éxito, hasta el punto de que el 80% de los lectores ya la han leído. Hallar la probabilidad de que en un grupo de 4 amigos que son aficionados a la lectura, al menos 2 hayan leído la novela.
1 La probabilidad de que una persona haya leído el libro es de 0.8, por lo que la probabilidad de que no lo haya leído es de 0.2
2 La probabilidad de que al menos 2 personas del grupo de 4 amigos hayan leído la novela se representa por
.
3 Sustituimos los datos en la función de probabilidad de la distribución binomial

Resumir con IA:









Apuntes es una plataforma dirigida al estudio y la práctica de las matemáticas a través de la teoría y ejercicios interactivos que ponemos a vuestra disposición. Esta información está disponible para todo aquel/aquella que quiera profundizar en el aprendizaje de esta ciencia. Será un placer ayudaros en caso de que tengáis dudas frente algún problema, sin embargo, no realizamos un ejercicio que nos presentéis de 0 sin que hayáis si quiera intentado resolverlo. Ánimo, todo esfuerzo tiene su recompensa.
el cálculo de la varianza, en el ejemplo, es incorrecto: al sumatorio de Xi2xPi falta restarle el cuadrado de la esperanza.
Será error de imprenta, porque el resultado 2,92 sí que es correcto
Hola, lo que pasa es que se aplica otra fórmula para resolver el ejercicio, por eso incluso si da el resultado correcto, eso sucede muy a menudo en fórmulas de estadística.
Hola profe una pregunta me puedes ayydar con este ejerccicio no lo he entendido bien
Una moneda equulibrada se lanza 5 veces calcula la probabilidad de obtener
A) exactamente 3 caras
B) como maximo 2 caras
Se realizó una investigación sobre el desempeño docente de la EIB en los colegios privados
del distrito de San Juan de Lurigancho, se ha tomado una muestra de 54 docente. Se ha
escogido las edades de los docentes para el análisis, otras variables indican que los docentes
jóvenes (X<29 años) presenta mayor desempeño en las aulas, como resultado los logros de
los estudiantes han mejorado con relación al año pasado. De la información de la tabla, esta
conformada por la frecuencia de las edades, porcentaje, porcentaje validos (se refiere a los
datos perdido) y el porcentaje acumulado. hallar la esperanza matemática y la varianza para
la población joven y distintos a ellos. ¿Qué puede inferir con esos datos hallados? ¿Qué
acciones tomaría para mejorar el desempeño y el logro de los estudiantes? y finalmente
¿Cuál es la probabilidad de docentes entre 29 a 31 años?
En un estudio sobre comportamiento de compras, se observa que el 40% de los clientes, prefieren realizar compras en línea, si se seleccionan 10 clientes al azar, determina el porcentaje de que al menos seis prefieran comprar en línea:
buenos dias me puede decir que tipo de problema de probabilidad es el siguiente: en un grupo de matematicas el 80.5% de los alumnos acreditan la materia. si se toma una muestra de 100 alumnos calcular la probabilidad de que: a) mas del 88% acrediten la materia b) entre el 85 y el 90% acrediten la materia c)mas del 72% acrediten la materia d) menos del 80.5 acrediten la materia e) entre 71 y el 76% acrediten la materia f) menos del 75% acrediten la materia g) entre el 78 y el 84 % acrediten la materia h) menos del 90% acrediten la materia. Me puede orientar por favor
Dos jóvenes hacen una apuesta, el primero apuesta al segundo que en 5 intentos de valado al ambos obtienen 2 soles.
A) ¿Quien tiene la mayor probabilidad de ganar?
(p)=0,7
¿Y si te preguntan la probabilidad de que ocurra algo?