La esperanza matemática o valor esperado es un concepto fundamental en la teoría de la probabilidad y la estadística. Representa el valor promedio ponderado que se espera obtener en un experimento aleatorio, teniendo en cuenta las probabilidades de los diferentes resultados posibles. En términos sencillos, es el "promedio" ponderado de todos los posibles valores que una variable aleatoria puede tomar.
A través de este conjunto de ejercicios resueltos, se busca ilustrar la aplicación de este concepto en diferentes situaciones, facilitando la comprensión de su cálculo y su interpretación. Los problemas abordarán situaciones tanto discretas como continuas, cubriendo ejemplos sencillos y complejos, con el objetivo de que puedas adquirir una sólida comprensión de la esperanza matemática y cómo utilizarla en la resolución de problemas prácticos.
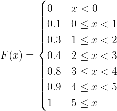
Dada la experiencia aleatoria de anotar las puntuaciones obtenidas al lanzar un dado, calcular:
aLa función de probabilidad y su representación
bLa función de distribución y su representación
cLa esperanza matemática, la varianza y la desviación típica
aLa función de probabilidad y su representación
![]() | ![]() |
|---|---|
![]() | ![]() |
![]() | ![]() |
![]() | ![]() |
![]() | ![]() |
![]() | ![]() |
![]() | ![]() |
![]() | |

bLa función de distribución y su representación
![]() | ![]() |
|---|---|
![]() | ![]() |
![]() | ![]() |
![]() | ![]() |
![]() | ![]() |
![]() | ![]() |
![]() | ![]() |
![]() | ![]() |

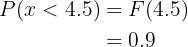
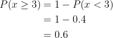
cLa esperanza matemática, la varianza y la desviación típica
![]() | ![]() | ![]() | ![]() |
|---|---|---|---|
![]() | ![]() | ![]() | ![]() |
![]() | ![]() | ![]() | ![]() |
![]() | ![]() | ![]() | ![]() |
![]() | ![]() | ![]() | ![]() |
![]() | ![]() | ![]() | ![]() |
![]() | ![]() | 1 | 6 |
![]() | ![]() |



Sea
una variable aleatoria discreta cuya función de probabilidad es:
![]() | ![]() |
|---|---|
![]() | ![]() |
![]() | ![]() |
![]() | ![]() |
![]() | ![]() |
![]() | ![]() |
![]() | ![]() |
aCalcular y representar gráficamente la función de distribución.
bCalcular las siguientes probabilidades:



1Calcular y representar gráficamente la función de distribución

2Calcular las siguientes probabilidades:






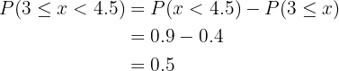
Dada la siguiente función de distribución
y sabiendo que
y
. Hallar la esperanza matemática, la varianza y la desviación típica.
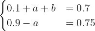
Dado que
y
, tenemos el siguientes sistema de ecuaciones

cuya solución es
y
.Por último, tenemos por la función de distribución que

sustituyendo los valores de
y
y despejando para
obtenemos que
. De aquí se sigue que
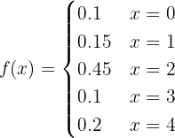
Dada la función de distribución anterior, podemos obtener la función de probabilidad, la cual está dada por

![]() | ![]() | ![]() | ![]() |
|---|---|---|---|
![]() | ![]() | ![]() | ![]() |
![]() | ![]() | ![]() | ![]() |
![]() | ![]() | ![]() | ![]() |
![]() | ![]() | ![]() | ![]() |
![]() | ![]() | ![]() | ![]() |
![]() | ![]() |



Un jugador lanza dos monedas. Gana
ó
€ si aparecen una o dos caras. Por otra parte pierde
€ si no aparece cara. Determinar la esperanza matemática del juego y si éste es favorable.




La esperanza está dada por
.
Por lo tanto, no es favorable.
Un jugador lanza dos monedas. Pierde
ó
€ si aparecen dos o un sello. Por otra parte gana
€ si no aparece sello. Determinar la esperanza matemática del juego y si éste es favorable.




La esperanza está dada por
.
Por lo tanto, no es favorable.
Un jugador lanza un dado. Gana
€ si aparecen un cinco. Por otra parte pierde
€ si no aparece un cinco. Determinar la esperanza matemática del juego y si éste es favorable.



La esperanza está dada por
.
Por lo tanto, no es favorable.
Un jugador lanza un dado. Gana
€ si aparecen un número mayor que 4. Por otra parte pierde
€ si aparece un número menor o igual que 4. Determinar la esperanza matemática del juego y si éste es favorable.



La esperanza está dada por
.
Por lo tanto, no es favorable.
Se lanza un par de dados. Se define la variable aleatoria
como la suma de las puntuaciones obtenidas. Hallar la función de probabilidad, la esperanza matemática y la varianza.

![]() | ![]() | ![]() | ![]() |
|---|---|---|---|
![]() | ![]() | ![]() | ![]() |
![]() | ![]() | ![]() | ![]() |
![]() | ![]() | ![]() | ![]() |
![]() | ![]() | ![]() | ![]() |
![]() | ![]() | ![]() | ![]() |
![]() | ![]() | ![]() | ![]() |
![]() | ![]() | ![]() | ![]() |
![]() | ![]() | ![]() | ![]() |
![]() | ![]() | ![]() | ![]() |
![]() | ![]() | ![]() | ![]() |
![]() | ![]() | ![]() | ![]() |
![]() | ![]() |



Un jugador lanza un dado corriente. Si sale
o número primo, gana tantos cientos de euros como marca el dado, pero si no sale número primo, pierde tantos cientos de euros como marca el dado. Determinar la función de probabilidad y la esperanza matemática del juego.
![]() | ![]() | x p_i |
|---|---|---|
![]() | ![]() | ![]() |
![]() | ![]() | ![]() |
![]() | ![]() | ![]() |
![]() | ![]() | ![]() |
![]() | ![]() | ![]() |
![]() | ![]() | ![]() |
![]() |

Si una persona compra una papeleta en una rifa, en la que puede ganar de
€ ó un segundo premio de
€ con probabilidades de:
y
. ¿Cuál sería el precio justo a pagar por la papeleta?
El precio está dado por la esperanza
€
Si una persona compra una caja misteriosa, en la que puede ganar un artículo de
€ con probabilidad de
. ¿Cuál sería el precio justo a pagar por la caja?
El precio está dado por la esperanza
€
Una caja tiene 6 bolas blancas y 4 negras. Se extrae una bola de la caja, si es blenca gana
€ y si es negra pierde
€. ¿Cuál es la esperanza de ganar al extraer una bola?
La probabilidad de extraer una bola blanca

La probabilidad de extraer una bola negra

La esperanza es
€
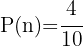
Se imprimen 1000 boletos para una rifa donde el premio es de 500 € y cada boleto se vende en 3 €. ¿Cuál es la esperanza matemática de ganar el premio si se compra un boleto?
La probabilidad de comprar el boleto ganador es

La probabilidad de perder

como se gasta 20 €, por lo que se gana 500 - 20 =480 €
La esperanza es
€
Para participar en un juego se debe pagar 3 €. El juego consiste en extraer una carta de un mazo de 20; si sale rojo se gana 10 € y si sale otro color no se gana nada. Si hay en total 20 cartas y 5 son rojas, ¿cuál es la esperanza matemática de ganar?
La probabilidad de ganar es

La probabilidad de perder

como se gasta 3 €, se gana 10 - 3 =7 €
La esperanza es
€
Un juego consiste en sacar una bola de una caja que contiene 5 bolas rojas y 10 negras; si sale rojo se gana 12 € y si sale negra no se gana nada. ¿Cuánto se debe pagar por participar para que el juego sea justo?
La probabilidad de ganar es

La probabilidad de perder

como se gasta
€, se gana
€
Para que sea justo el juego, la esperanza debe ser cero
€
Así, para que el juego sea justo, se debe pagar 4 € por participar




































































































Apuntes es una plataforma dirigida al estudio y la práctica de las matemáticas a través de la teoría y ejercicios interactivos que ponemos a vuestra disposición. Esta información está disponible para todo aquel/aquella que quiera profundizar en el aprendizaje de esta ciencia. Será un placer ayudaros en caso de que tengáis dudas frente algún problema, sin embargo, no realizamos un ejercicio que nos presentéis de 0 sin que hayáis si quiera intentado resolverlo. Ánimo, todo esfuerzo tiene su recompensa.
Hola profe una pregunta me puedes ayydar con este ejerccicio no lo he entendido bien
Una moneda equulibrada se lanza 5 veces calcula la probabilidad de obtener
A) exactamente 3 caras
B) como maximo 2 caras
Se realizó una investigación sobre el desempeño docente de la EIB en los colegios privados
del distrito de San Juan de Lurigancho, se ha tomado una muestra de 54 docente. Se ha
escogido las edades de los docentes para el análisis, otras variables indican que los docentes
jóvenes (X<29 años) presenta mayor desempeño en las aulas, como resultado los logros de
los estudiantes han mejorado con relación al año pasado. De la información de la tabla, esta
conformada por la frecuencia de las edades, porcentaje, porcentaje validos (se refiere a los
datos perdido) y el porcentaje acumulado. hallar la esperanza matemática y la varianza para
la población joven y distintos a ellos. ¿Qué puede inferir con esos datos hallados? ¿Qué
acciones tomaría para mejorar el desempeño y el logro de los estudiantes? y finalmente
¿Cuál es la probabilidad de docentes entre 29 a 31 años?
En un estudio sobre comportamiento de compras, se observa que el 40% de los clientes, prefieren realizar compras en línea, si se seleccionan 10 clientes al azar, determina el porcentaje de que al menos seis prefieran comprar en línea:
buenos dias me puede decir que tipo de problema de probabilidad es el siguiente: en un grupo de matematicas el 80.5% de los alumnos acreditan la materia. si se toma una muestra de 100 alumnos calcular la probabilidad de que: a) mas del 88% acrediten la materia b) entre el 85 y el 90% acrediten la materia c)mas del 72% acrediten la materia d) menos del 80.5 acrediten la materia e) entre 71 y el 76% acrediten la materia f) menos del 75% acrediten la materia g) entre el 78 y el 84 % acrediten la materia h) menos del 90% acrediten la materia. Me puede orientar por favor
Dos jóvenes hacen una apuesta, el primero apuesta al segundo que en 5 intentos de valado al ambos obtienen 2 soles.
A) ¿Quien tiene la mayor probabilidad de ganar?
(p)=0,7
¿Y si te preguntan la probabilidad de que ocurra algo?
Necesito la demostración de que la varianza de una distribucion binomial es n.p.q
Distribución Binomial. (n! (x! (n-x)!)) (px)(q^(n-x))
La probabilidad de que un hombre acierte en el bianco es de. Si dispara 10 veces.
a) ¿Cuál es la probabilidad de que acierte exactamente en tres ocasiones?
b) ¿Cuál es la probabilidad de que acierte siete o más ocasiones?
c) ¿Cuál es la probabilidad de que acerté por lo menos 8 ocasiones?