Capítulos
Las coordenadas polares o sistema de coordenadas polares son un sistema de coordenadas bidimensional en el que cada punto del plano se determina por una distancia y un ángulo. Este sistema es ampliamente utilizado en física y trigonometría.
Conversión de coordenadas cartesianas a polares

Las coordenadas polares,
, se definen de la siguiente manera:
- La coordenada
es la distancia del punto
al origen. Puede variar entre los valores
.
- La coordenada
es el ángulo que forma el vector
con el eje vertical de las
en sentido horario. Puede variar entre los valores
(en radianes), o
en centígrados.
o bien
Ejemplos
1. 
Así, nuestro punto en coordenadas polares es
.
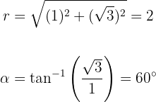
2. 
Así, nuestro punto en coordenadas polares es
.
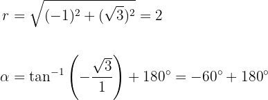
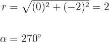
3. 
Así, nuestro punto en coordenadas polares es
.
4. 
Así, nuestro punto en coordenadas polares es
.
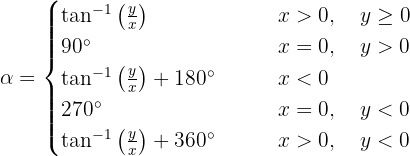
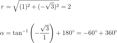
5. 
Así, nuestro punto en coordenadas polares es
.
6. 
Así, nuestro punto en coordenadas polares es
.
7. 
Así, nuestro punto en coordenadas polares es
.
8. 
Así, nuestro punto en coordenadas polares es
.
Conversión de coordenadas polares a cartesianas

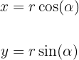
En este caso, dadas la coordenadas polares
, tenemos que las coordenadas cartesianas,
, están dadas por
Ejemplo. Consideremos el punto 
Así, nuestro punto en coordenadas cartesianas es
.









Apuntes es una plataforma dirigida al estudio y la práctica de las matemáticas a través de la teoría y ejercicios interactivos que ponemos a vuestra disposición. Esta información está disponible para todo aquel/aquella que quiera profundizar en el aprendizaje de esta ciencia. Será un placer ayudaros en caso de que tengáis dudas frente algún problema, sin embargo, no realizamos un ejercicio que nos presentéis de 0 sin que hayáis si quiera intentado resolverlo. Ánimo, todo esfuerzo tiene su recompensa.
Me interesa poder descargar esos materiales sobre números complejos que aparecen en este sitio
Hola, lo sentimos pero esa función(descargar) no la tenemos en funcionamiento, pero puedes ver el material en la pagina las veces que desees.
El resultado para el seno de un angulo tripe que ustesdes muestran es incorrecto, quiza error de transcripcion al momento de escribir. El resultado correcto es: sen(3a) = 3cos^2(a).sen(a) – sen^3(a). O su forma equivalente: sen(3a) = 3sen(a) – 4sen^3(a)
Hola te agradecemos tus observaciones, una disculpa ya se corrigió.
Me podrías ayudar con (Interpretación de un número complejo)
En el ejemplo 7, ¿cómo uno calcula que el arc tg de 2/0 es igual a 90 si en la calculadora al hacerlo da error?:( me ayudaría mucho saberlo
Ayuda con numeros complejos:
a)Z2= 2 -3i
Este resultado no te lo dará la calculadora pues 2/0 no está definido, pero de manera intuitiva se menciona que es infinito y como tan 90 es infinito, entonces se deduce que arc tg de 2/0 es 90 grados, otra manera de deducirlo es geométricamente.
3. Calcular las siguientes operaciones
a) ((3 + i)(3 – 2i) – (2i – 3) ^ 2)/(2i ^ 20 – i ^ 13)
b) (1 – (2 + 3i) ^ 2 * (1 – 2i))/(2i ^ 77 – i ^ 726)
c) (2 – 3i) ^ 3
Me pueden ayudar con este ejercicio por favor
¿Me podrían ayudar con este ejercicio? Dados los siguientes números imaginarios, escribelos como raíces
-8 i
-16 i
-raiz de 21 i
-28i