Representa los siguientes números en el plano complejo
A 
B 
C 
D 
E 
Representa los siguientes números en el plano complejo
A 
La parte real del número es
y la parte imaginaria es 

B 
La parte real del número es
y la parte imaginaria es 

C 
La parte real del número es
y la parte imaginaria es 

D 
La parte real del número es
y la parte imaginaria es 

E 
La parte real del número es
y la parte imaginaria es 

Representa los siguientes números en el plano complejo
A 
B 
C 
D 
E 
Representa los siguientes números en el plano complejo
A 
El módulo del número complejo es
y forma un ángulo de
con el eje real.

B 
El módulo del número complejo es
y forma un ángulo de
con el eje real.

C 
El módulo del número complejo es
y forma un ángulo de
con el eje real.

D 
El módulo del número complejo es 2 y forma un ángulo de
con el eje real.

E 
El módulo del número complejo es
y forma un ángulo de
con el eje real.

Conversión de números complejos de forma cartesiana a polar
A 
B 
C 
D 
E 
F 
Convierte los siguientes números complejos a forma polar
A 
1 Como el número
solo tiene parte real, podemos deducir que su módulo es
.
2 El ángulo,
, que forma con el eje real se calcula con 
donde:
coeficiente de 
parte real del número complejo
3 Así:

4 Sustituimos en 
Por lo que: 
B 
1 Calculamos el módulo del número complejo

2 Calculamos 

3 Sustituimos en 

C 
1 Calculamos el módulo del número complejo

2 Calculamos 

3 Sustituimos en 

D 
1 Calculamos el módulo del número complejo

2 Calculamos 

3 Sustituimos en 

E 
1 Calculamos el módulo del número complejo

2 Calculamos 

3 Sustituimos en 

F 
1 Calculamos el módulo del número complejo

2 Calculamos 

3 Sustituimos en 

Convierte los siguientes números complejos de forma polar a forma cartesiana
A 
B 
C 
D 
E 
Convierte los siguientes números complejos de forma polar a forma cartesiana
A
Calculamos
y
usando:
y 


B
Calculamos
y
usando:
y 


C
Calculamos
y
usando:
y 


D
Calculamos
y
usando:
y 


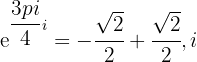
E
Calculamos
y
usando:
y 



Apuntes es una plataforma dirigida al estudio y la práctica de las matemáticas a través de la teoría y ejercicios interactivos que ponemos a vuestra disposición. Esta información está disponible para todo aquel/aquella que quiera profundizar en el aprendizaje de esta ciencia. Será un placer ayudaros en caso de que tengáis dudas frente algún problema, sin embargo, no realizamos un ejercicio que nos presentéis de 0 sin que hayáis si quiera intentado resolverlo. Ánimo, todo esfuerzo tiene su recompensa.
Me interesa poder descargar esos materiales sobre números complejos que aparecen en este sitio
Hola, lo sentimos pero esa función(descargar) no la tenemos en funcionamiento, pero puedes ver el material en la pagina las veces que desees.
El resultado para el seno de un angulo tripe que ustesdes muestran es incorrecto, quiza error de transcripcion al momento de escribir. El resultado correcto es: sen(3a) = 3cos^2(a).sen(a) – sen^3(a). O su forma equivalente: sen(3a) = 3sen(a) – 4sen^3(a)
Hola te agradecemos tus observaciones, una disculpa ya se corrigió.
Me podrías ayudar con (Interpretación de un número complejo)
En el ejemplo 7, ¿cómo uno calcula que el arc tg de 2/0 es igual a 90 si en la calculadora al hacerlo da error?:( me ayudaría mucho saberlo
Ayuda con numeros complejos:
a)Z2= 2 -3i
Este resultado no te lo dará la calculadora pues 2/0 no está definido, pero de manera intuitiva se menciona que es infinito y como tan 90 es infinito, entonces se deduce que arc tg de 2/0 es 90 grados, otra manera de deducirlo es geométricamente.
3. Calcular las siguientes operaciones
a) ((3 + i)(3 – 2i) – (2i – 3) ^ 2)/(2i ^ 20 – i ^ 13)
b) (1 – (2 + 3i) ^ 2 * (1 – 2i))/(2i ^ 77 – i ^ 726)
c) (2 – 3i) ^ 3
Me pueden ayudar con este ejercicio por favor
¿Me podrían ayudar con este ejercicio? Dados los siguientes números imaginarios, escribelos como raíces
-8 i
-16 i
-raiz de 21 i
-28i