Capítulos
Unidad imaginaria
Se llama así al número 
 y se designa por la letra 

Las raíz cúbica de 
 no es un numero imaginario ni complejo.

Ejemplos con unidad imaginaria
1
2
3
4 
¿Prefieres las clases matematicas online? Entonces, ¡pide ya la primera gratis en Superprof!
Número complejo
Al número 
 se le llama número complejo en forma binómica o binomial. En general, cualquier número complejo se denota por la letra 
.
Al número 
 se llama parte real del número complejo y se denota por 
, mientras que al número 
 se llama parte imaginaria del número complejo y se denota por 
.
Si la parte imaginaria de un número complejo vale cero, esto es 
, se reduce a un número real 
, ya que 
.
Si la parte real de un número complejo vale cero, esto es 
, el número complejo se reduce a 
, y se dice que es un número imaginario puro.
En general, al conjunto de todos números complejos se le designa por el símbolo 
. De una manera más formal, utilizando notación de conjuntos, se le denota como:

Los números complejos 
  y 
 se llaman opuestos o contrarios.
Los números complejos 
 y 
 se llaman complejos conjugados.
Dos números complejos son iguales cuando tienen la misma componente real y la misma componente imaginaria, es decir:

    con  
  o  
 y  
  o  
¿Buscas una profesora de matematicas? No se diga más: ¡encuéntrala en Superprof!
Representación gráfica de los números complejos
Los números complejos se representan gráficamente en el plano cartesiano (que en este caso de va a llamar plano complejo, 
 por sus iniciales) en forma de vector posicional, es decir, un vector cuyo punto inicial es el origen y su punto final el punto 
, también llamado afijo del número complejo. El eje 
 se llama eje real y el eje 
, eje imaginario.
Al plano complejo también se le conoce como plano de Argand.

Potencias de la unidad imaginaria


, ya que 
,   ya que  
,   ya que  
   o  
Ejemplos de potencias superiores de números complejos
1
2
3
4
Números imaginarios puros
Un número imaginario puro se denota por:

donde:
 es un número real.
 es la unidad imaginaria.
Recordemos que su parte real es 
, es decir, 
. A los números complejos cuya parte real es distinta de cero también se les puede llamar simplemente números imaginarios.
Operaciones de complejos en forma binómica
Suma y diferencia de números complejos
La regla para sumar o restar dos números complejos 
 y 
 es sumar/restar parte real de uno con parte real del otro y parte imaginaria de uno con parte imaginaria del otro.


Cuando se tienen suma y resta combinadas de varios números complejos, se suman y/o restan las partes reales con las partes reales y las partes imaginarias con las partes imaginarias.
Ejemplos:
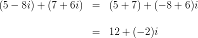
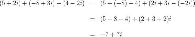
1

2

3

La suma y resta de números complejos también se puede operar como suma y resta de polinomios, ya que los números complejos están expresados de la forma binómica.
Ejemplo:

Producto de números complejos
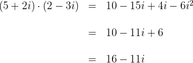
El producto o multiplicación de números complejos expresados en la forma binómica se opera de acuerdo a la siguiente fórmula:

o también puede efectuarse como el producto de binomios.
Ejemplo de acuerdo a la fórmula:

Ejemplo como producto de binomios:

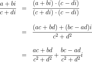
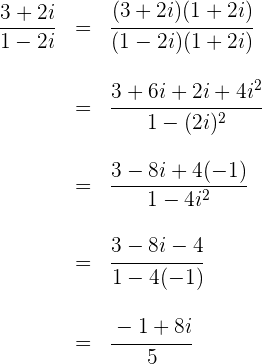
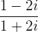
Cociente de números complejos
La división de dos números complejos expresados como fracción se efectúa multiplicando tanto el numerador como el denominador de dicha fracción por el complejo conjugado del denominador y, posteriormente, realizando las simplificaciones correspondientes hasta expresar el resultado de la forma
.

Ejemplos:
1

2

Modulo y argumento de números complejos
El módulo  de un número complejo (
) representado gráficamente es la medida del vector desde su punto inicial (origen) hasta su afijo o punto final 
 Se designa por 
.

Si se aplica el teorema de Pitágoras al triángulo 
 de la siguiente figura, se obtiene la fórmula para calcular el módulo de un número complejo: 

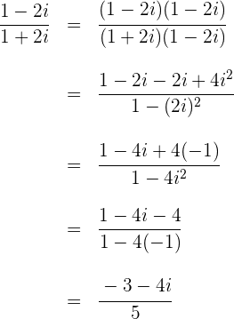
El argumento de un número complejo es el ángulo positivo ( el cual gira en sentido contrario a las manecillas del reloj) que forma el vector con la parte positiva del eje real. Se designa por 
  y se calcula mediante las siguientes fórmulas, dependiendo el cuadrante en el que se ubica el número complejo.
Primer cuadrante


Segundo cuadrante


Tercer cuadrante


Cuarto cuadrante


Ejemplos: Calculemos el módulo y el argumento de los siguientes números complejos. También hagamos su representación gráfica.
1 
Calculamos el módulo

Calculamos el argumento

Representación gráfica

2
Calculamos el módulo

Calculamos el argumento


Representación gráfica

Números complejos en forma polar y trigonométrica

Para obtener las partes real e imaginaria 
 y 
 respectivamente, del número complejo en función de su modulo y de su argumento, se aplican las definiciones de las funciones seno y coseno al ángulo 
 en el triángulo 
 de la figura anterior.


Posteriormente, la forma trigonométrica y polar del número completo se expresa así:

En la siguiente tabla se resumen las formas rectengular (binómica), polar y trigonométrica
de cualquier número complejo.
| Binómica | ![]()  | 
|---|---|
| Polar | ![]()  | 
| Trigonométrica | ![]()  | 
Números complejos iguales, conjugados y opuestos en las formas trigonométrica y polar
La siguiente gráfica muestra la representación tanto polar como trigonométrica de un número complejo 
, su complejo conjugado 
 y su complejo opuesto 
.

Números Complejos Iguales


Números Complejos Conjugados


Números Complejos Opuestos


Producto de números complejos en forma polar
Fórmula

Ejemplos:
1

2

Producto por un número complejo de módulo 1
Al multiplicar un número complejo 
 por 
 se gira 
 un ángulo 
 alrededor del origen.

Cociente de números complejos en forma polar
Fórmula:

Ejemplos:
1

2

Potencia de números complejos en forma polar
Fórmula:

Ejemplos:
1

2

Fórmula de DeMoivre
El Teorema de DeMoivre sirve para obtener potenciaciones enteras positivas de números complejos expresados en su forma trigonométrica.
La fórmula de DeMoivre es:

Si se aplica a la 
-ésima potencia de un número complejo expresado en su forma polar:

Ejemplo:
Se va a efectuar la potenciación del siguinte numero complejo expresado en su forma binómica, utilizado la forma trigonométrica y el teorema de DeMoivre, ya que empleando expansión binomial se haría algo tardado y tedioso.

Paso 1. Se calcula el modulo y el argumento de la base de la potenciación, que es el número complejo sin exponente.

Módulo:

Argumento:


Paso 2. Se expresa el número complejo en su forma trigonométrica


Paso 3. Se aplica la fórmula de DeMoivre.

Paso 4. Se escribe el resultado sin procedimiento.

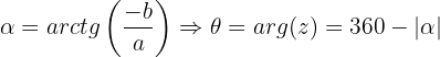
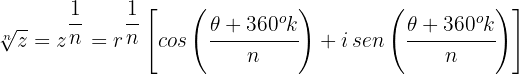
Raíz n-ésima de números complejos en forma polar
Todo número complejo (excepto el cero) tiene exactamente 
 raíces n - ésimas diferentes.


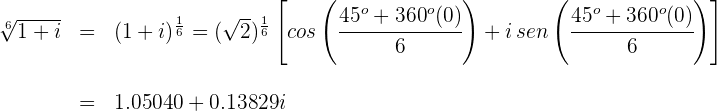
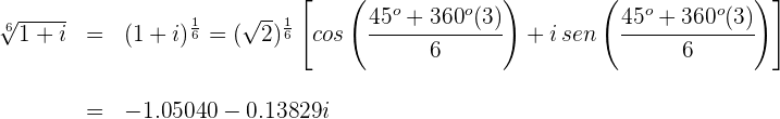
Ejemplo:

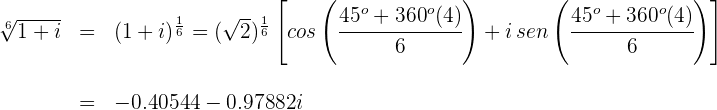
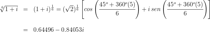
Paso 1. Se calculan el módulo y argumento del número complejo del cual se está extrayendo raíz sexta

Módulo

Argumento

Paso 2. Se sustituyen los datos en la fórmula para extraer las 
 ráices n- ésimas del número complejo 
.

Paso 3. Se varía el valor de 
 desde 
 hasta 
 para obtener las 
 raíces n-ésimas de 
Para 

Para 

Para 

Para 

Para 

Para 

Representación gráfica de las 
 raíces del número complejo 

Co-autor: Luis Felipe Velázquez León











Apuntes es una plataforma dirigida al estudio y la práctica de las matemáticas a través de la teoría y ejercicios interactivos que ponemos a vuestra disposición. Esta información está disponible para todo aquel/aquella que quiera profundizar en el aprendizaje de esta ciencia. Será un placer ayudaros en caso de que tengáis dudas frente algún problema, sin embargo, no realizamos un ejercicio que nos presentéis de 0 sin que hayáis si quiera intentado resolverlo. Ánimo, todo esfuerzo tiene su recompensa.
Me interesa poder descargar esos materiales sobre números complejos que aparecen en este sitio
Hola, lo sentimos pero esa función(descargar) no la tenemos en funcionamiento, pero puedes ver el material en la pagina las veces que desees.
El resultado para el seno de un angulo tripe que ustesdes muestran es incorrecto, quiza error de transcripcion al momento de escribir. El resultado correcto es: sen(3a) = 3cos^2(a).sen(a) – sen^3(a). O su forma equivalente: sen(3a) = 3sen(a) – 4sen^3(a)
Hola te agradecemos tus observaciones, una disculpa ya se corrigió.
Me podrías ayudar con (Interpretación de un número complejo)
En el ejemplo 7, ¿cómo uno calcula que el arc tg de 2/0 es igual a 90 si en la calculadora al hacerlo da error?:( me ayudaría mucho saberlo
Ayuda con numeros complejos:
a)Z2= 2 -3i
Este resultado no te lo dará la calculadora pues 2/0 no está definido, pero de manera intuitiva se menciona que es infinito y como tan 90 es infinito, entonces se deduce que arc tg de 2/0 es 90 grados, otra manera de deducirlo es geométricamente.
3. Calcular las siguientes operaciones
a) ((3 + i)(3 – 2i) – (2i – 3) ^ 2)/(2i ^ 20 – i ^ 13)
b) (1 – (2 + 3i) ^ 2 * (1 – 2i))/(2i ^ 77 – i ^ 726)
c) (2 – 3i) ^ 3
Me pueden ayudar con este ejercicio por favor
¿Me podrían ayudar con este ejercicio? Dados los siguientes números imaginarios, escribelos como raíces
-8 i
-16 i
-raiz de 21 i
-28i