Capítulos
Los/las mejores profesores/as de Matemáticas que están disponibles
Suma y diferencia de números complejos
Ejemplo
Multiplicación de números complejos
El producto de los números complejos se realiza aplicando la propiedad distributiva del producto respecto de la suma y teniendo en cuenta que
.

Ejemplo
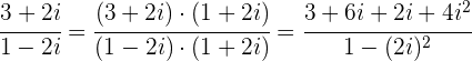
División de números complejos
El cociente de números complejos se realiza multiplicando numerador y denominador por el conjugado de este.
Ejemplo









Apuntes es una plataforma dirigida al estudio y la práctica de las matemáticas a través de la teoría y ejercicios interactivos que ponemos a vuestra disposición. Esta información está disponible para todo aquel/aquella que quiera profundizar en el aprendizaje de esta ciencia. Será un placer ayudaros en caso de que tengáis dudas frente algún problema, sin embargo, no realizamos un ejercicio que nos presentéis de 0 sin que hayáis si quiera intentado resolverlo. Ánimo, todo esfuerzo tiene su recompensa.
Me interesa poder descargar esos materiales sobre números complejos que aparecen en este sitio
Hola, lo sentimos pero esa función(descargar) no la tenemos en funcionamiento, pero puedes ver el material en la pagina las veces que desees.
El resultado para el seno de un angulo tripe que ustesdes muestran es incorrecto, quiza error de transcripcion al momento de escribir. El resultado correcto es: sen(3a) = 3cos^2(a).sen(a) – sen^3(a). O su forma equivalente: sen(3a) = 3sen(a) – 4sen^3(a)
Hola te agradecemos tus observaciones, una disculpa ya se corrigió.
Me podrías ayudar con (Interpretación de un número complejo)
En el ejemplo 7, ¿cómo uno calcula que el arc tg de 2/0 es igual a 90 si en la calculadora al hacerlo da error?:( me ayudaría mucho saberlo
Ayuda con numeros complejos:
a)Z2= 2 -3i
Este resultado no te lo dará la calculadora pues 2/0 no está definido, pero de manera intuitiva se menciona que es infinito y como tan 90 es infinito, entonces se deduce que arc tg de 2/0 es 90 grados, otra manera de deducirlo es geométricamente.
3. Calcular las siguientes operaciones
a) ((3 + i)(3 – 2i) – (2i – 3) ^ 2)/(2i ^ 20 – i ^ 13)
b) (1 – (2 + 3i) ^ 2 * (1 – 2i))/(2i ^ 77 – i ^ 726)
c) (2 – 3i) ^ 3
Me pueden ayudar con este ejercicio por favor
¿Me podrían ayudar con este ejercicio? Dados los siguientes números imaginarios, escribelos como raíces
-8 i
-16 i
-raiz de 21 i
-28i