Las pruebas de hipótesis son herramientas estadísticas fundamentales para tomar decisiones basadas en datos. A través de ellas, podemos evaluar si una afirmación o suposición sobre un parámetro poblacional es plausible, utilizando muestras extraídas de esa población.
Los ejercicios resueltos de prueba de hipótesis nos ayudan a entender el proceso paso a paso: desde la formulación de hipótesis nula y alternativa, el cálculo del estadístico de prueba, hasta la interpretación de los resultados con base en el nivel de significancia.
Mediante estos ejercicios, se aprende a aplicar pruebas tanto para medias, proporciones o varianzas, y a resolver problemas prácticos en áreas como la ciencia, la economía y la ingeniería. Esto permite desarrollar habilidades críticas para validar teorías y tomar decisiones informadas en el análisis de datos.
Muestreo
En cierto barrio se quiere hacer un estudio para conocer mejor el tipo de actividades de ocio que gustan más a sus habitantes. Para ello van a ser encuestados 100 individuos elegidos al azar. Explicar qué procedimiento de selección sería más adecuado utilizar: muestreo con o sin reposición. ¿Por qué?
Como la población es finita, entonces hacer muestreo con reemplazo nos permitirá utilizar las fórmulas que hemos estudiado.
Sin embargo, es posible hacer muestreo sin reemplazo, con el único inconveniente que los cálculos serán un poco más complicados.
En un barrio viven 2.500 niños, 7.000 adultos y 500 ancianos, posteriormente se decide elegir una muestra de 100 personas utilizando un muestreo estratificado con asignación proporcional. Determinar el tamaño muestral correspondiente a cada estrato.
Sea
el tamaño de la población y
el tamaño de la muestra. Denotaremos como
al tamaño del estrato
y
al tamaño de muestra que tomamos de
. En el muestreo estratificado con asignación proporcional se cumple que

Por lo que debemos encontrar los valores
para cada estrato. Notemos que los tamaños de cada estrato
(niños),
(adultos) y
(ancianos).
Así, el tamaño de muestra de niños es:

El tamaño de muestra de adultos es:

Por último, el tamaño de muestra de ancianos es:

Observamos que los tamaños de muestra suman 100:

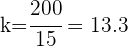
Una población consta de 200 individuos, numerados del 1 al 200 y se quiere elegir una muestra de tamaño 15. Si el primer individuo de la muestra es el número 7, encuentra los elementos restantes de la muestra empleando un muestreo aleatorio sistemático.
Buscamos la razón

Así la muestra consiste de los elementos

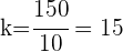
Empleando muestreo aleatorio sistemático, encuentra una muestra de tamaño 10 de una colección de 150 elementos numerados del 1 al 150, sabiendo que el primer elemento es 2.
Buscamos la razón

Así la muestra consiste de los elementos

En una fábrica que consta de 300 trabajadores queremos tomar una muestra de tamaño 10. Sabemos que hay 100 trabajadores en la sección
, 75 en la
, 75 en la
y 50 en la
. Si se decide utilizar un muestreo estratificado con asignación proporcional, ¿qué tamaño tendrá cada estrato?
Denotemos como
al tamaño de la población y
al tamaño de la muestra general. Similarmente, denotamos como
al tamaño del estrato
y
al tamaño de muestra que tomamos de
. De este modo, como tenemos asignación proporcional, se cumple

El problema se trata únicamente de encontrar los valores n_h para cada estrato. Observemos que ya conocemos el tamaño de la población
; los tamaños de cada estrato
,
,
y
.
Además, sabemos que
, por lo que ya tenemos todos los datos para calcular el tamaño de muestra para cada estrato. Primero despejamos
:

Así, para la sección A debemos tomar:

Para la sección B:

Para la sección C:

Por último, para la sección D:

Por último, verificamos que

Intervalos de confianza
Se ha tomado una muestra de los precios de un mismo producto alimenticio en 16 comercios, elegidos al azar en un barrio de una ciudad, y se han encontrado los siguientes precios:
95, 108, 97, 112, 99, 106, 105, 100, 99, 98, 104, 110, 107, 111, 103, 110.
Suponiendo que los precios de este producto siguen una distribución normal de varianza 25 y media desconocida:
a ¿Cuál es la distribución de la media muestral?
b Determine el intervalo de confianza, al 95%, para la media poblacional.
a Denotemos la media desconocida como
. Como los precios vienen de una distribución normal, entonces la media muestral también sigue una distribución muestral con media
, y varianza
.
b Para determinar el intervalo de confianza, primero encontramos la media de la muestra:

por lo que la fórmula es

donde
viene de una distribución t-Student con
grados de libertad. Así, el intervalo de confianza es

es decir,

La media de las estaturas de una muestra aleatoria de 400 personas de una ciudad es 1,75 m. Se sabe que la estatura de las personas de esa ciudad es una variable aleatoria que sigue una distribución normal con varianza
. Construye un intervalo, de un 95% de confianza, para la media de las estaturas de la población.
Como la muestra consiste de 400 personas, entonces para calcular el intervalo de confianza, utilizamos la fórmula:

donde
es el valor crítico de una distribución normal estándar.
Además,
,
y
. De aquí se sigue que
.
Así, el intervalo de confianza es

¿Cuál sería el mínimo tamaño muestral necesario en el ejercicio anterior, para que pueda decirse que la verdadera media de las estaturas está a menos de 2 cm de la media muestral, con un nivel de confianza del 90%?
Para encontrar el tamaño muestral utilizaremos
donde
, por lo que
.

Así, al despejar
tenemos

Por lo que
. Es decir, el tamaño de muestra debe ser al menos de
personas.
Las ventas mensuales de una tienda de electrodomésticos siguen una distribución normal, con desviación típica 900 €. En un estudio estadístico de las ventas realizadas en los últimos nueve meses, se ha encontrado un intervalo de confianza para la media mensual de las ventas, cuyos extremos son 4 663 € y 5 839 €.
a ¿Cuál ha sido la media de las ventas en estos nueve meses?
b ¿Cuál es el nivel de confianza para este intervalo?
a Cuando calculamos el intervalo de confianza de la media de una distribución normal, la media siempre se encontrará a la mitad del intervalo. Por lo tanto, la media es

Esto es, la media fue de 5 251 €.
b Tenemos que
,
y
. De aquí se sigue que el límite inferior se calculó utilizando

Es decir,

Por lo que

De aquí se sigue que
, por lo que el nivel de confianza fue de 95%.
Se desea estimar la proporción
de individuos daltónicos de una población a través del porcentaje observado en una muestra aleatoria de individuos, de tamaño
. Si el porcentaje de individuos daltónicos en la muestra es igual al 30%, calcula el valor de
para que, con un nivel de confianza de 0,95, el error cometido en la estimación sea inferior al 3,1%.
El intervalo de confianza para una proporción se calcula con la fórmula

como deseamos una confianza del 95%, entonces
. Así, tenemos que

Despejando, tenemos que

Por lo que
. Es decir, el tamaño de muestra debe ser de al menos 840 individuos.
Si en el ejercicio anterior, el tamaño de la muestra es de 64 individuos, y el porcentaje de individuos daltónicos en la muestra es del 35%, determina, usando un nivel de significación del 1%, el correspondiente intervalo de confianza para la proporción de daltónicos de la población.
Para encontrar el intervalo de confianza, simplemente reemplazamos en

los datos de
,
. Notemos que
, por lo que
. Con esto, el intervalo de confianza es

es decir,

En una población una variable aleatoria sigue una distribución normal de media desconocida y desviación típica 2. Observada una muestra de tamaño 400, tomada al azar, se ha obtenido una media muestral igual a 50. Calcule un intervalo, con el 97% de confianza, para la media de la población.
Tenemos que
,
y
es desconocida.
Como
, entonces la distribución de la media se puede aproximar bien con una distribución normal. Por tanto, utilizamos la fórmula

donde
. Así,
. Por lo tanto, el intervalo de confianza es

es decir,

Con un nivel de confianza del 97% y una desviación típica de 2, ¿qué tamaño mínimo debe tener una muestra para qué la amplitud del intervalo que se obtenga sea, como máximo, 1?
Como se tiene el mismo nivel de confianza que el ejercicio anterior, entonces
. Luego, para que la amplitud del intervalo sea 1, debemos tener que

de donde despejaremos 

es decir
. Por lo tanto, el tamaño de muestra debe ser de al menos 76 individuos.
El tiempo que tardan las cajeras de un supermercado en cobrar a los clientes sigue una distribución normal con media desconocida y desviación típica 0,5 minutos. Para una muestra aleatoria de 25 clientes se obtuvo un tiempo medio de 5,2 minutos.
a Calcula el intervalo de confianza al nivel del 95% para el tiempo medio que se tarda en cobrar a los clientes.
b Indica el tamaño muestral necesario para estimar dicho tiempo medio con un el error de
minutos y un nivel de confianza del 95%.
a Como la muestra consiste de 25 clientes, entonces para calcular el intervalo de confianza, utilizamos la fórmula:

donde
es el valor crítico tal que
donde
es una variable aleatoria que sigue una distribución t-Student con 24 grados de libertad.
El valor de
lo podemos obtener de una tabla de distribución t, o utilizando un software. El resultado es 
Así, el intervalo de confianza es

b Para encontrar el tamaño muestral reemplazaremos
por
, el cual proviene de una distribución normal estándar. Como el error debe ser
, entonces se debe tener

donde
. Así, al despejar
tenemos

es decir, el tamaño de muestra debe ser al menos de
.
La cantidad de hemoglobina en sangre del hombre sigue una distribución normal con una desviación típica de 2 g/dl. Se obtuvo de una muestra de 12 extracciones y se calculó el intervalo de confianza para la media poblacional de la hemoglobina en la sangre. Si el intervalo obtenido fue entre 13 y 15 g/dl, ¿cuál es el nivel de confianza de este intervalo?
En este ejercicio ya conocemos el intervalo de confianza y lo que se nos pide calcular es el nivel de confianza, es decir,
.
Notemos que tenemos que
,
y

es decir, la media es el punto medio del intervalo.
Como la muestra proviene de una población que sigue distribución normal, entonces el límite inferior del intervalo se calcula utilizando

ya que el tamaño de muestra
. Además,
es el valor crítico de una distribución t-Student con 11 grados de libertad. Así, despejando
obtenemos

Por tanto, tenemos que
se calcula utilizando

Así,
y
. Es decir, el intervalo tiene una confiabilidad del 88.85%.
Pruebas de hipótesis con intervalos de confianza
Una marca de nueces afirma que, como máximo, el 6% de las nueces están vacías. Se eligieron 300 nueces al azar y se detectaron 21 vacías. Con un nivel de significación del 1%, ¿se puede aceptar la afirmación de la marca?
La hipótesis nula es

mientras que la hipótesis alternativa es

donde
es la proporción hipotética.
El límite superior del intervalo de confianza para la proporción se calcula utilizando

ya que se trata de un contraste unilateral. Para este caso, tenemos que
,
y
. Para nuestra significancia de
, el valor crítico que le corresponde es
. Así, el intervalo de confianza es

Dado que
sí está dentro del intervalo de confianza, entonces aceptamos la hipótesis nula.
En consecuencia, concluimos que, el 6% de las nueces están vacías como máximo. Es decir, no tenemos evidencia suficiente para garantizar lo contrario.
Una marca de nueces afirma que, como máximo, el 6% de las nueces están vacías. Se eligieron 300 nueces al azar y se detectaron 21 vacías. Si se mantiene el porcentaje muestral de nueces que están vacías y
, ¿qué tamaño muestral se necesitaría para estimar la proporción de nueces con un error menor del 1%?
El porcentaje muestral de nueces vacías es del 7%. Por tanto, la proporción es
. Sabemos que el error de estimación es

que en este caso deseamos que sea menor a 0.01. Además, para
el valor crítico asociado es
.
De este modo, tenemos que,

que al despejar
, obtenemos

Así, tenemos que

De este modo, el tamaño de población debe ser mayor o igual a 2501.
La duración de la bombillas de 100 W que fabrica una empresa sigue una distribución normal con una desviación típica de 120 horas de duración. Su vida media está garantizada durante un mínimo de 800 horas. Se escoge al azar una muestra de 50 bombillas de un lote y, después de comprobarlas, se obtiene una vida media de 750 horas. Con un nivel de significación de 0,01, ¿habría que rechazar el lote por no cumplir la garantía?
Este problema trata de una prueba de hipótesis donde deseamos verificar si la vida media es, por lo menos, un valor dado (800 horas). Por tanto, se trata de un contraste unilateral y la hipótesis nula es

y la hipótesis alternativa es

donde la media hipotética es
.
Al tratarse de una hipótesis sobre la media, entonces el intervalo de confianza unilateral es

y en este caso tenemos que
,
,
y
. Además, a la significancia de
le corresponde un valor crítico de
. Luego, el intervalo de confianza es

es decir,
no está dentro del intervalo de confianza, por lo que podemos rechazar la hipótesis nula.
Esto es, se concluye que tenemos evidencia suficiente para rechazar la hipótesis nula. Por lo tanto, la vida media es menor a 800 horas y podemos rechazar el lote ya que no se cumple la garantía.
Se sabe que la desviación típica de las notas de cierto examen de Matemáticas es 2,4. Para una muestra de 36 estudiantes se obtuvo una nota media de 5,6. ¿Sirven estos datos para confirmar la hipótesis de que la nota media del examen fue de 6, con un nivel de confianza del 95%?
Notemos que se trata de una prueba de hipótesis para el valor promedio en la calificación del examen. Es decir, la hipótesis nula es

mientras que la hipótesis alternativa es

donde
. Como queremos probar que el promedio es igual a cierto valor, entonces utilizaremos un contraste bilateral.
Si asumimos que las notas siguen aproximadamente una distribución normal, entonces el intervalo de confianza para
es

Además, en este caso tenemos que
,
y
. Como el nivel de confianza es 95% y el contraste es bilateral, entonces
. Sin embargo, tenemos que el intervalo de confianza es

Por tanto, aceptamos la hipótesis nula ya que
está dentro del intervalo de confianza. Es decir, aceptamos que la nota media es de 6.
Recordemos que esto sólo significa que no tenemos evidencia suficiente para decir que la nota sea diferente a 6.
Una exportadora de berries afirma que, como máximo, el 5% de sus cajas no cumplen con el peso mínimo. Se eligieron 100 cajas al azar y se detectaron 7 por debajo del peso solicitado. Con un nivel de significación del 1%, ¿se puede aceptar la afirmación de la exportadora?
La hipótesis nula es

mientras que la hipótesis alternativa es

donde
es la proporción hipotética.
El límite superior del intervalo de confianza para la proporción se calcula utilizando

ya que se trata de un contraste unilateral. Para este caso, tenemos que
,
y
. Para nuestra significancia de
, el valor crítico que le corresponde es
. Así, el intervalo de confianza es

Dado que
sí está dentro del intervalo de confianza, entonces aceptamos la hipótesis nula.
En consecuencia, concluimos que como máximo, el 5% de las cajas están por debajo del peso solicitado. Es decir, no tenemos evidencia suficiente para garantizar lo contrario.
Resumir con IA:









Apuntes es una plataforma dirigida al estudio y la práctica de las matemáticas a través de la teoría y ejercicios interactivos que ponemos a vuestra disposición. Esta información está disponible para todo aquel/aquella que quiera profundizar en el aprendizaje de esta ciencia. Será un placer ayudaros en caso de que tengáis dudas frente algún problema, sin embargo, no realizamos un ejercicio que nos presentéis de 0 sin que hayáis si quiera intentado resolverlo. Ánimo, todo esfuerzo tiene su recompensa.
El servicio de emergencia para ciertas áreas rurales de Ohio con frecuencia es un problema, especialmente durante los meses de invierno. El jefe del Departamento de Bomberos de Danville, Township está preocupado por el tiempo de respuesta a las llamadas de emergencia. Ordena una investigación para determinar si la distancia del lugar de la llamada, medida en millas, puede explicar el tiempo de respuesta, medido en minutos.Con base en 37 emergencias, se recolectaron los siguientes datos: ∑X = 234 EY = 831 ∑XY = 5,890
2X*=1.796 2r² =20,037
a. ¿Cuál es el tiempo de respuesta a una llamada que proviene de ocho millas de la estación de bomberos?. ¿Qué tan dependiente es dicha estimación, con base en el grado de dispersión de los puntos de datos alrededor de la recta de regresión?
De una población de 2,500 estudiantes de la universidad Unibe 60% Ingeniería industrial, con un nivel de confianza de 95% y un margen de error de 5%, determine la muestra?
Nota: cuando no conocemos el valor de p y q se les asigna 50% a cada uno y las cantidades que aparecen en porcentaje debe dividirse en 100.
La alcaldía de la ciudad está preocupada por el retiro masivo de las industrias hacía la capital del país, por lo usted como un importante analista en términos económicos lo debe asesorar, se seleccionó una muestra de 500 empresas de las cuales la 300 aún permanecen en la ciudad, la proporción de empresas que han salido de la ciudad se encuentra entre:
Pregunta 5Seleccione una:
a.
40 y 60%
b.
46 y 56%
c.
36 y 44 %
d.
30 y 40 %
En la siguiente tabla se presentan las cantidades promedio de jugo de frutas que empacan, en bolsas de litro, tres máquinas empacadas de una agroindustria.
-MAQUINAS
A
B
C
-PROMEDIO EMPACADO POR BOLSA
1.039 LTS
0.989 LTS
1.090 LTS
-DESVIACIÓN ESTANDAR
0.332 LTS
0.350 LTS
0.371 LTS
¿Cuál de las 3 máquinas tiene la cantidad promedio de empacado por bolsa más confiable? ¿Por qué?
ejercicio. En una ciudad de 100.000 habitantes, se quiere estimar la proporción de personas que utilizan bicicleta como medio de transporte. ¿Cuántas personas deben incluirse en la muestra para obtener un margen de error del 5% con un nivel de confianza del 95%?
10.- Las estaturas de cierta población se distribuyen N(168,8). Calcula la probabilidad de que en una muestra de 36 personas la altura media no difiera de la de la población en más de 1 cm.
28 28 28 28 24 24 20 20 20 20 20 25 25 25 27 27 27 26 22 22 22
En una escuela de 150 estudiantes se requiere realizar una investigación sobre las preferencias de las áreas de los estudiantes y se debe calcular su muestra para conocer cuántos estudiantes se le debe aplicar la encuesta, determinando que el grado de confianza es del 95%, la probabilidad de éxito de 98% y el error de calculo del 6%.
Caso de estudio: En el Perú, el Ministerio de Salud (MINSA) está interesado en conocer la prevalencia de la depresión en los adolescentes de 12 a 17 años de edad en la ciudad de Lima. Para ello, el MINSA decide realizar una encuesta a una muestra de adolescentes de esta población.
Objetivo:
El objetivo del caso de estudio es que los estudiantes apliquen la fórmula para estimar una proporción poblacional para estimar la prevalencia de la depresión en los adolescentes de 12 a 17 años de edad en la ciudad de Lima. También, debe indicar el tipo de muestreo probabilístico que deberá emplear.
¿Cuál debe ser el tamaño de muestra para estimar la prevalencia de la depresión, con un nivel de confianza del 95%, margen de error de 4%, e indica el método de selección de la muestra