Capítulos
¿Qué es la estimación puntual?
Una estimación puntual es un número que calculamos a partir de una muestra. Este número se conoce como estadística o estadístico. Así, utilizamos esta estadística para hacer la estimación del parámetro correspondiente de la población.
Ejemplo: Se realiza una encuesta a 500 jóvenes entre 8 y 25 años de la ciudad de Tarifa, en el sur de España. En la encuesta se indica que el 89% de los jóvenes practica Kitesurf. Como no se ha cuestionado a todos los jóvenes de la ciudad, entonces decimos que 89% es una estimación puntual del verdadero porcentaje de la problación.
Por tanto, podemos decir que alrededor del 89% de los jóvenes de la ciudad de Tarifa practican Kitesurf.
Ejemplo: Se mide el tiempo de vida de 40 bombillas de 60 W de cierto lote. Al calcular el promedio del tiempo de vida, se obtiene
horas. Como no se midió el tiempo de vida para todas las 1.000 bombillas del lote, entonces
es una estimación puntual para el tiempo de vida media del lote.
¿Qué es el error de muestreo?
La posibilidad de un error de muestreo existe siempre.
El error de muestreo es la diferencia entre una estadística que se calcula de una muestra, y el valor del parámetro correspondiente en la población. Como el error siempre es positivo, entonces se toma el valor absoluto de esta diferencia.
Es importante poder manejar este error de muestreo en el proceso de decisión. Al fin y al cabo, el objetivo de muchas de las herramientas estadísticas que aprendemos es apoyarnos al momento de una toma de decisiones.
Una característica del error de muestreo es que este es menor cuando el tamaño de muestra aumenta. Por este motivo se sugiere que el tamaño de muestra sea tan grande como se permita.
Por ejemplo, la estatura media de las mujeres de España es 163,4 cm, y supongamos que, al tomar una muestra de 1.000 mujeres, obtenemos una estatura promedio de 164,6. Entonces, el error de muestreo es

Es decir, el error de muestreo fue de 1,2 cm.
¿Qué es el intervalo de confianza?
Por lo general, el error de muestreo no se puede eliminar. Por tanto, utilizamos un intervalo de confianza para poder manejar el error.
Definición de un intervalo de confianza
Definamos una probabilidad
. Deseamos construir un intervalo tal que el parámetro real de la población esté dentro del intervalo con una probabilidad
. Este intervalo se define con dos números
y
y se conoce como intervalo de confianza con nivel de confianza
. Se suele denotar al intervalo como 
El intervalo de confianza se construye a partir del estadístico muestral. Además, la probabilidad
se suele denotar como
, en donde
se conoce como el nivel de significación.
Ejemplo: Supongamos que, en el ejemplo de las bombillas de 60 W, el intervalo de confianza del 95% es
. Por tanto, sabemos que existe un 95% de probabilidad de que el tiempo de vida promedio de todo el lote esté entre las 4.799 y las 5.227 horas.
Variación del intervalo de confianza
Recordemos que la desviación estándar
es una medida de la variación de los datos en la población o muestra. Así,
será pequeña si todos los datos son muy similares entre sí; por otro lado,
será grande si los datos varían mucho entre sí.
La desviación estándar de una población/muestra finita se calcula mediante

en donde
es el promedio de la muestra y
es el número de elementos en la muestra. La desviación estándar de la población se denota mediante
, mientras que la desviación de la muestra se denota como
.
Notemos que si obtenemos una muestra
, entonces la estimación de la media sería
. Sin embargo, si tomamos otra muestra diferente
, la estimación será
. Es decir, las estimaciones puntuales también varían; por lo tanto, tiene sentido definir la desviación estándar para los estimadores.
En general, si conocemos la desviación estándar
de la población original, entonces la desviación estándar del promedio
es

donde
es el tamaño de la muestra
. Para los estimadores puntuales, la desviación estándar se suele llamar error estándar.
A partir de la ecuación de arriba, podemos observar que si el tamaño de muestra
aumenta, entonces la desviación
de la estimación disminuirá. En otras palabras, entre más grande sea la muestra, más cercanas serán las posibles estimaciones; de hecho, entre más grande sea la muestra, más cercana será la estimación al valor real del parámetro de la población.
Recordemos que
denota la desviación estándar de la población/muestra, mientras que
denota el error estándar (o desviación estándar) de la estimación.
No te dejes nada en el tintero gracias a nuestras clases particulares matematicas.
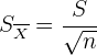
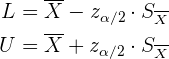
¿Cómo se calcula el intervalo de confianza?
Existen distintas formas de calcular los intervalos de confianza; cada una depende de la información que tengamos disponible.
Desviación estándar conocida y tamaño de muestra mayor a 30
Supongamos que tenemos una población
, cuyo tamaño de muestra es mayor o igual a 30, es decir,
. Además, supongamos que sabemos que la desviación estándar de la población es
. Entonces, el intervalo de confianza para la media
con un nivel de confianza de
se calcula de la siguiente manera:
1 Calcula el promedio de la muestra,

2 Determina el error estándar de la estimación,

3 Encuentra el valor crítico
tal que
.
Si tenemos una variable
con distribución estándar, entonces
es aquél valor tal que la probabilidad de que
sea mayor a
es
. No es sencillo encontrar estos valores de forma analítica, por tanto se utilizan tablas o software para encontrarlos.
La tabla de los valores de
para las
más comunes se encuentra más abajo.
4 Calcula el intervalo de confianza utilizando

En algunos sitios se suele resumir el intervalo de confianza para este caso como

Esta expresión indica tanto el límite inferior como el límite superior.
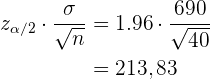
Ejemplo: Retomando el ejemplo de las bombillas de 60 W. Se tomó una muestra de 40 bombillas donde el tiempo de vida promedio fue
. Se tiene la información de que la desviación estándar del tiempo de vida es
horas. Entonces, para calcular el intervalo de confianza al 95%, primero debemos notar que
. Así, tenemos que

De este modo, el intervalo de confianza es

Observemos que en el ejemplo anterior, calculamos primero la cantidad

Este valor se conoce como margen de error o error de estimación.
Dicho esto, hay una probabilidad de
de que nuestra estimación
tendrá un error de
como máximo. La importancia de los intervalos de confianza está en que nos permite estimar también la magnitud del error posible.
Si vives en la capital y buscas un profesor particular matematicas madrid, lo encontrarás en Superprof.
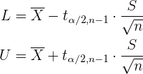
Desviación estándar desconocida
En el caso de que no conozcamos la desviación estándar de la población original, entonces debemos utilizar una estrategia ligeramente diferente para calcular el intervalo de confianza.
El procedimiento para calcular el intervalo de confianza es:
1 Calcula el promedio de la muestra,

2 Determina el error estándar de la muestra,

3 Encuentra el valor crítico
tal que
donde
sigue una distribución
de Student con
grados de libertad.
En este caso tenemos una variable
con distribución
de Student con
grados de libertad. De este modo,
es aquél valor tal que la probabilidad de que
sea mayor a
es
. De nuevo, no es sencillo encontrar estos valores de forma analítica, por tanto se utiliza software para encontrarlos.
4 Calcula el intervalo de confianza utilizando

En este caso, el intervalo de confianza se resume como

Ejemplo: Consideremos de nuevo el ejemplo de las bombillas de 60 W. Recordemos que se tomó una muestra de 40 bombillas donde el tiempo de vida promedio fue
.
Sin embargo, en este caso no sabemos la desviación estándar de la población. No obstante, al calcular la desviación estándar de las 40 bombillas, obtenemos que
horas. Entonces, para calcular el intervalo de confianza al 95%, primero debemos obtener
el cual es el valor crítico de una distribución
con 39 grados de libertad. Utilizando software, obtenemos que
.
Así, tenemos que

De este modo, el intervalo de confianza es

Cuando la desviación estándar es desconocida, el margen de error se calcula utilizando

Tablas de valores críticos y uso de software estadístico
Como se puede apreciar, para determinar los intervalos de confianza se necesitan obtener los valores críticos; ya sea de una distribución normal o de una distribución t de Student.
En el caso de una distribución normal, los valores son muy conocidos y se resumen en la siguiente tabla, para valores de
comunes:
![]() | ![]() | ![]() |
|---|---|---|
| 0.90 | 0.05 | 1.645 |
| 0.95 | 0.025 | 1.96 |
| 0.99 | 0.005 | 2.575 |
No obstante, estos valores se pueden conseguir utilizando software. De hecho, en el caso de la distribución t de Student, no es sencillo resumir los valores críticos en una tabla ya que estos valores son diferentes según los grados de libertad
.
En la siguiente lista se muestran algunas formas de obtener los valores críticos:
1 Para obtener el valor de
con Excel, se utiliza la función

en donde
es el valor de
.
2 También se puede obtener el valor
utilizando el software estadístico R. En este caso, la función a utilizar es
. De forma similar,
debe tomar el valor que tiene
.
3 Para el caso de la distribución
de Student, para obtener
con Excel, se utiliza la función

en donde
es el valor de
y
son los grados de libertad
.
4 Por último, para obtener el valor
utilizando R se utiliza la función
. Al igual que en el caso anterior,
toma el valor que tiene
y
son los grados de libertad
.
Impacto del cambio de los parámetros en el intervalo de confianza
Algo que podemos notar es que, al realizar la estimación con intervalos de confianza, nosotros asignamos de forma arbitraria el tamaño de muestra
y el nivel de confianza
.
Por lo regular, estos parámetros se asignan tomando en cuenta la precisión con la que deseamos la estimación. Por ejemplo, si deseamos una precisión muy precisa y confiable, entonces requerimos que
sea grande y que el error
sea pequeño; en este caso requerimos que
también sea grande. Por otro lado, si por cuestiones de falta de recursos o tiempo no podemos tomar una muestra demasiado grande, entonces podemos ajustar
para que sea más pequeña; en este caso, nuestra estimación será menos confiable.
A continuación discutimos el impacto de estos parámetros en los intervalos de confianza.
¿Qué pasa cuando cambiamos el nivel de confianza?
Observemos que el margen de error está dado por la expresión

Algo que debemos notar es que
y
aumentan cuando el nivel de confianza
aumenta. Por tanto, podemos reducir el nivel de confianza para reducir el tamaño de error; sin embargo, esto implica que hay menos confianza en el intervalo. En otras palabras, es más probable que tu estimación se encuentre fuera del intervalo de confianza.
¿Qué pasa cuando cambiamos el tamaño de muestra?
Por otro lado, de la misma ecuación del error

podemos observar que cuando
aumenta, el tamaño del error disminuye (conservando el mismo nivel de confianza). Por este motivo es que es ideal que el tamaño de muestra sea lo suficientemente grande para poder tener un margen de error pequeño y un alto nivel de confianza.
Tamaño de muestra necesario
Si despejamos
de
, obtenemos

Así, si tenemos un error deseado
, podemos calcular el tamaño de muestra necesario para que nuestra estimación no supere ese error.
Para hacer eso, primero es necesario tomar una muestra pequeña (dependiendo el contexto, incluso 15 elementos son suficientes). Con esto, estimamos el tamaño de muestra
necesario para que nuestro error sea menor a
. Luego, volvemos a tomar una muestra pero ahora con un tamaño de muestra
.
Resumir con IA:









Apuntes es una plataforma dirigida al estudio y la práctica de las matemáticas a través de la teoría y ejercicios interactivos que ponemos a vuestra disposición. Esta información está disponible para todo aquel/aquella que quiera profundizar en el aprendizaje de esta ciencia. Será un placer ayudaros en caso de que tengáis dudas frente algún problema, sin embargo, no realizamos un ejercicio que nos presentéis de 0 sin que hayáis si quiera intentado resolverlo. Ánimo, todo esfuerzo tiene su recompensa.
El servicio de emergencia para ciertas áreas rurales de Ohio con frecuencia es un problema, especialmente durante los meses de invierno. El jefe del Departamento de Bomberos de Danville, Township está preocupado por el tiempo de respuesta a las llamadas de emergencia. Ordena una investigación para determinar si la distancia del lugar de la llamada, medida en millas, puede explicar el tiempo de respuesta, medido en minutos.Con base en 37 emergencias, se recolectaron los siguientes datos: ∑X = 234 EY = 831 ∑XY = 5,890
2X*=1.796 2r² =20,037
a. ¿Cuál es el tiempo de respuesta a una llamada que proviene de ocho millas de la estación de bomberos?. ¿Qué tan dependiente es dicha estimación, con base en el grado de dispersión de los puntos de datos alrededor de la recta de regresión?
De una población de 2,500 estudiantes de la universidad Unibe 60% Ingeniería industrial, con un nivel de confianza de 95% y un margen de error de 5%, determine la muestra?
Nota: cuando no conocemos el valor de p y q se les asigna 50% a cada uno y las cantidades que aparecen en porcentaje debe dividirse en 100.
La alcaldía de la ciudad está preocupada por el retiro masivo de las industrias hacía la capital del país, por lo usted como un importante analista en términos económicos lo debe asesorar, se seleccionó una muestra de 500 empresas de las cuales la 300 aún permanecen en la ciudad, la proporción de empresas que han salido de la ciudad se encuentra entre:
Pregunta 5Seleccione una:
a.
40 y 60%
b.
46 y 56%
c.
36 y 44 %
d.
30 y 40 %
En la siguiente tabla se presentan las cantidades promedio de jugo de frutas que empacan, en bolsas de litro, tres máquinas empacadas de una agroindustria.
-MAQUINAS
A
B
C
-PROMEDIO EMPACADO POR BOLSA
1.039 LTS
0.989 LTS
1.090 LTS
-DESVIACIÓN ESTANDAR
0.332 LTS
0.350 LTS
0.371 LTS
¿Cuál de las 3 máquinas tiene la cantidad promedio de empacado por bolsa más confiable? ¿Por qué?
ejercicio. En una ciudad de 100.000 habitantes, se quiere estimar la proporción de personas que utilizan bicicleta como medio de transporte. ¿Cuántas personas deben incluirse en la muestra para obtener un margen de error del 5% con un nivel de confianza del 95%?
10.- Las estaturas de cierta población se distribuyen N(168,8). Calcula la probabilidad de que en una muestra de 36 personas la altura media no difiera de la de la población en más de 1 cm.
28 28 28 28 24 24 20 20 20 20 20 25 25 25 27 27 27 26 22 22 22
En una escuela de 150 estudiantes se requiere realizar una investigación sobre las preferencias de las áreas de los estudiantes y se debe calcular su muestra para conocer cuántos estudiantes se le debe aplicar la encuesta, determinando que el grado de confianza es del 95%, la probabilidad de éxito de 98% y el error de calculo del 6%.
Caso de estudio: En el Perú, el Ministerio de Salud (MINSA) está interesado en conocer la prevalencia de la depresión en los adolescentes de 12 a 17 años de edad en la ciudad de Lima. Para ello, el MINSA decide realizar una encuesta a una muestra de adolescentes de esta población.
Objetivo:
El objetivo del caso de estudio es que los estudiantes apliquen la fórmula para estimar una proporción poblacional para estimar la prevalencia de la depresión en los adolescentes de 12 a 17 años de edad en la ciudad de Lima. También, debe indicar el tipo de muestreo probabilístico que deberá emplear.
¿Cuál debe ser el tamaño de muestra para estimar la prevalencia de la depresión, con un nivel de confianza del 95%, margen de error de 4%, e indica el método de selección de la muestra