Capítulos
Suma, multiplicación y potencia de matrices
Sean las matrices:

Efectuar las siguientes operaciones:
1
2
3
4
1 Para resolver, seguimos la jerarquía de operaciones, por lo cual primero sumamos las matrices:
Después, calculamos el cuadrado de la matriz:
Finalmente, mediante el desarrollando las operaciones obtenemos: 
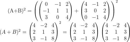
2 Para resolver este ejercicio, primero calculamos el producto de las matrices:
Después, calculamos el cuadrado del producto: 
como
. Así bien como 




Dimensión de matrices
Sean las matrices:
. Para cada una de las siguientes expresiones, explique en que casos es posible calcular el producto y en cuales no.
1 
2 
3 Determina la dimensión de
para que pueda efectuarse el producto 
4 Determina la dimensión de
para que
sea una matriz cuadrada.
Antes de plantear las soluciones es importante destacar que la notación sobre la dimensión de una matriz
constituida por
filas y
columnas se denota de la siguiente manera:
. Además, para poder efectuar la multiplicación de dos matrices, se debe satisfacer que: El número de columnas de la primera matriz debe ser igual al número de filas de la segunda matriz (con la particularidad de que la matriz obtenida del producto tendrá el mismo número de filas que la primera matriz y el mismo número de columnas que la segunda matriz).
debemos analizar las dimensiones de cada una de las matrices involucradas:
es una matriz de dimensión
por lo que
es
.
es una matriz de dimensión
.
es una matriz de dimensión
. Así bien podemos expresar lo anterior de la siguiente manera: 
Notemos que como el numero de columnas de
no coincide con el número de filas de
por lo cual la operación no puede ser efectuada.
2
Notemos que:
es una matriz de dimensión
.
es una matriz de dimensión
.
es una matriz de dimensión
por lo que
es de dimensión
. Podemos reescribir: 
.
para que pueda efectuarse el producto 
Recordemos que para poder multiplicar dos matrices es necesario que el número de columnas de la primera matriz sea igual al número de filas de la segunda,
es una matriz de dimensión
, es decir dos filas y tres columnas entonces
debe de tener tres filas, es decir 
para que
sea una matriz cuadrada. La matriz
tiene de dimensión
por tanto su traspuesta tiene de dimensión
, para poder multiplicarla por
el número de columnas de
tiene que coincidir con el número de filas de
, es decir que
.El producto de
es una matriz con el mismo número de filas que
es decir
y el mismo número de columnas que
. Por ser el producto una matriz cuadrada el número de columnas de
tiene que ser también 2.Entonces la matriz
tiene de dimensión
.
Conmutación de matrices
Calcular todas las matrices que conmuten con la matriz: 
Recordemos que para que dos matrices conmuten deben de satisfacer que
. Si consideramos
y
, tenemos la siguiente igualdad:

Desarrollando en ambos lados de la desigualdad obtenemos:

De lo anterior se deducen las siguientes igualdades:




Por lo cual la matriz debe de ser de la forma 
Ecuaciones matriciales
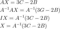
Sea 
Resolver la ecuación matricial

Para calcular el valor de
es necesario aplicar operaciones en ambos lados de la igualdad. Primero restamos en ambos lados
y luego multiplicamos por la matriz inversa de
como se muestra a continuación:
Una vez que tenemos expresada la solución, calculamos la matriz inversa de
:
. Finalmente, sustituimos y desarrollamos:

Problema de matrices contextualizado
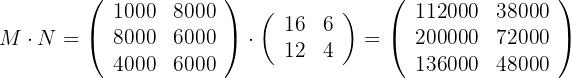
Una empresa de muebles fabrica tres modelos de estanterías: A, B y C. En cada uno de los tamaños, grande y pequeño. Produce diariamente 1000 estanterías grandes y 8000 pequeñas de tipo A, 8000 grandes y 6000 pequeñas de tipo B, y 4000 grandes y 6000 pequeñas de tipo C. Cada estantería grande lleva 16 tornillos y 6 soportes, y cada estantería pequeña lleva 12 tornillos y 4 soportes, en cualquiera de los tres modelos.
1 Representar esta información en dos matrices.
2 Hallar una matriz que represente la cantidad de tornillos y de soportes necesarios para la producción diaria de cada uno de los seis modelos−tamaño de estantería.
Una empresa de muebles fabrica tres modelos de estanterías: A, B y C. En cada uno de los tamaños, grande y pequeño. Produce diariamente 1000 estanterías grandes y 8000 pequeñas de tipo A, 8000 grandes y 6000 pequeñas de tipo B, y 4000 grandes y 6000 pequeñas de tipo C. Cada estantería grande lleva 16 tornillos y 6 soportes, y cada estantería pequeña lleva 12 tornillos y 4 soportes, en cualquiera de los tres modelos.
Filas: Modelos A, B, C Columnas: Tipos G, P

Matriz de los elementos de las estanterías:
Filas: Tipos G, P Columnas: T, S

Matriz que expresa el número de tornillos y soportes para cada modelo de estantería:
Filas: Modelos A, B, C Columnas: Tipos T, S
¿Buscas clases algebra lineal? ¡Encuéntralas en Superprof!
Resumir con IA:









Apuntes es una plataforma dirigida al estudio y la práctica de las matemáticas a través de la teoría y ejercicios interactivos que ponemos a vuestra disposición. Esta información está disponible para todo aquel/aquella que quiera profundizar en el aprendizaje de esta ciencia. Será un placer ayudaros en caso de que tengáis dudas frente algún problema, sin embargo, no realizamos un ejercicio que nos presentéis de 0 sin que hayáis si quiera intentado resolverlo. Ánimo, todo esfuerzo tiene su recompensa.
En el ejercicio 4 de ecuaciones matriciales se confunden y ponen la matriz C en el lugar de la B y viceversa, pensaba que era error mio de calculo pero creo que esta mal la solucion de ustedes, por el resto me ayudo mucho
Hola revise lo que mencionaste, si había un error pero ya se corrigió, lo que mencionas no lo encontré, podrías revisar y mencionarlo por favor.
Hola, una disculpa por el error, ya se corrigió.
Un número real por una matriz creo que no es el número real por cada elemento de una matriz, sino por los elementos de una sola fila o columna, esto en lo cierto?
Hola el algebra matricial es muy amplia en conceptos, pero lo principal es que una matriz representa arreglos que superan a un solo número real, es como un universo mas amplio que la idea de un solo número real, si no fui claro por favor indícamelo para mejorar.
Muchas gracias , me ayudan mucho con mi examen, solo tenia una duda, en el ejercicio 2 de Sistemas de ecuaciones con matrices, me sale que Y= 8/5, no se en que estoy fallando o creo que se confundieron de símbolo en el elemento de la fila 2 columna 1 de la matriz inversa , debería ser 2/5 y no -2/5.
Hola tienes toda la razón, una disculpa ya se corrigió el error.
Hola, gracias por esto, bien explicado. Por favor, me gustaría también ―pues vengo de las Humanidades― una historia de las matrices. Cómo se inventaron, por quién ; qué necesidad resolvían y no estaba bien cubierta antes. He leído que fueron importantes en aeronáutica. Enhorabuena. ¡Gracias!
Lo tendremos en consideración para nuestro blog 😊 Gracias por tu aporte. Un saludo.
Como resolver 1/2 AB EN MATRICES