Dos matrices
y
se dicen multiplicables si el número de columnas de
coincide con el número de filas de
.

El elemento
de la matriz producto se obtiene multiplicando cada elemento de la fila
de la matriz
por cada elemento de la columna
de la matriz
y sumándolos.
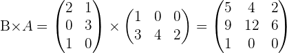
Ejemplo



Los/las mejores profesores/as de Matemáticas que están disponibles
Propiedades del producto de matrices
1 Asociativa:

2 Elemento neutro:

Donde
es la matriz identidad del mismo orden que la matriz
.
3 Distributiva del producto respecto de la suma:

4 No es Conmutativa:

Ejemplo de producto de matrices



Podemos ver que en este caso,
, de hecho ni si quiera tienen la misma dimensión, pues
y
.
Resumir con IA:









Apuntes es una plataforma dirigida al estudio y la práctica de las matemáticas a través de la teoría y ejercicios interactivos que ponemos a vuestra disposición. Esta información está disponible para todo aquel/aquella que quiera profundizar en el aprendizaje de esta ciencia. Será un placer ayudaros en caso de que tengáis dudas frente algún problema, sin embargo, no realizamos un ejercicio que nos presentéis de 0 sin que hayáis si quiera intentado resolverlo. Ánimo, todo esfuerzo tiene su recompensa.
En el ejercicio 4 de ecuaciones matriciales se confunden y ponen la matriz C en el lugar de la B y viceversa, pensaba que era error mio de calculo pero creo que esta mal la solucion de ustedes, por el resto me ayudo mucho
Hola revise lo que mencionaste, si había un error pero ya se corrigió, lo que mencionas no lo encontré, podrías revisar y mencionarlo por favor.
Hola, una disculpa por el error, ya se corrigió.
Un número real por una matriz creo que no es el número real por cada elemento de una matriz, sino por los elementos de una sola fila o columna, esto en lo cierto?
Hola el algebra matricial es muy amplia en conceptos, pero lo principal es que una matriz representa arreglos que superan a un solo número real, es como un universo mas amplio que la idea de un solo número real, si no fui claro por favor indícamelo para mejorar.
Muchas gracias , me ayudan mucho con mi examen, solo tenia una duda, en el ejercicio 2 de Sistemas de ecuaciones con matrices, me sale que Y= 8/5, no se en que estoy fallando o creo que se confundieron de símbolo en el elemento de la fila 2 columna 1 de la matriz inversa , debería ser 2/5 y no -2/5.
Hola tienes toda la razón, una disculpa ya se corrigió el error.
Hola, gracias por esto, bien explicado. Por favor, me gustaría también ―pues vengo de las Humanidades― una historia de las matrices. Cómo se inventaron, por quién ; qué necesidad resolvían y no estaba bien cubierta antes. He leído que fueron importantes en aeronáutica. Enhorabuena. ¡Gracias!
Lo tendremos en consideración para nuestro blog 😊 Gracias por tu aporte. Un saludo.
Como resolver 1/2 AB EN MATRICES