Realizar los siguientes ejercicios con operaciones con potencias. Si la solución es una fracción dar el resultado como:
, por ejemplo.

Este campo es obligatorio.
Recordemos que el producto de potencias con base idéntica es igual a una potencia de igual base, elevada a la suma de los exponentes. Es decir

entonces,


Este campo es obligatorio.
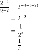
Recordando tambien que la potencia de un exponente negativo es la inversa de la potencia con el mismo exponente, pero positivo, es decir,

Por lo tanto,


Este campo es obligatorio.
Similar a los ejercicios anteriores


Este campo es obligatorio.
Recordando lo utilizado en los dos primeros ejercicios, resolvemos


Este campo es obligatorio.
Recordemos que cuando se dividen potencias con la misma base y exponentes diferentes, el cociente es igual a otra potencia con la misma base elevada a la resta de los exponentes. Es decir,

Por lo tanto tendremos que


Este campo es obligatorio.
Similar al ejercicio anterior


Este campo es obligatorio.
Similarmente


Este campo es obligatorio.
Resolvemos


Este campo es obligatorio.
Recordando que una potencia con exponente cero y base diferente de cero es igual a uno, tendremos que


Este campo es obligatorio.
En este caso

Si tienes dudas puedes consultar la teoría
Resumir con IA:

Apuntes es una plataforma dirigida al estudio y la práctica de las matemáticas a través de la teoría y ejercicios interactivos que ponemos a vuestra disposición. Esta información está disponible para todo aquel/aquella que quiera profundizar en el aprendizaje de esta ciencia. Será un placer ayudaros en caso de que tengáis dudas frente algún problema, sin embargo, no realizamos un ejercicio que nos presentéis de 0 sin que hayáis si quiera intentado resolverlo. Ánimo, todo esfuerzo tiene su recompensa.
El ejercicio 15 está mal
Hola revise el ejercicio 15 y habla sobre el recorrido de un barco y no encontré el error, podrías hacernos el favor de mencionar donde está mal, nos ayudaría mucho.
muy buen material de estudio pero se repiten los ejercicios y como ya se las respuestas entonces no estudio nada
Hola te agradecemos tus comentarios, vamos a tomarlos en cuenta para poder mejorar en el contenido y sea de mas provecho.
me gustaría mas ejercicio de operaciones combinadas y así practicar y aprender mas de la matemática que casi un 80 % de los estudiante le huyen
Hola agradecemos tus comentarios, vamos a tomar en cuenta tu recomendación para mejorar en nuestra calidad de artículos y sea mas beneficioso.
Hola , excelente material de estudio, por favor verificar las respuestas de los ejercicios 6 y 7 de los polinomios propuestos , al parecer hay un error en las respuestas. Con todo respeto. gracias
Hola podrías decirme cual es el tema pues el artículo al que me manda es de «Problemas de números enteros con signo» y tu mencionas polinomios, además de que los ejercicios 6 y 7 del tema mencionado están bien.
Hola nuestro deseo es poder contestar todas sus dudas, en este caso para lograrlo necesitamos mas detalles, como por ejemplo si se relaciona con un ejercicio o donde lo viste para si hay un error poder rectificarlo, te lo agradeceríamos mucho.