Capítulos
El sistema decimal es la base de nuestro sistema numérico y se utiliza en la vida cotidiana para contar, medir y realizar operaciones matemáticas. Este sistema se llama "decimal" porque está basado en diez cifras: del 0 al 9, y en el valor posicional de cada dígito según su ubicación en el número.
Comprender cómo funciona el sistema decimal es fundamental para desarrollar habilidades matemáticas más avanzadas. A continuación encontrarás una serie de ejercicios resueltos paso a paso que te ayudarán a afianzar tus conocimientos.
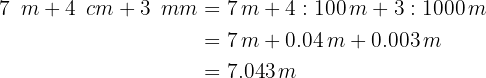
Calcula y expresa el resultado en metros

Para pasar a metros tenemos que:
Multiplicar si es una unidad mayor que el metro (dam, hm, km )
Dividir si es una unidad menor que el metro (dm, cm, mm)
Por la unidad seguida de tantos ceros como lugares haya entre ellas



Para pasar a metros tenemos que:
Multiplicar si es una unidad mayor que el metro (dam, hm, km )
Dividir si es una unidad menor que el metro (dm, cm, mm)
Por la unidad seguida de tantos ceros como lugares haya entre ellas



Para pasar a metros tenemos que:
Multiplicar si es una unidad mayor que el metro (dam, hm, km )
Dividir si es una unidad menor que el metro (dm, cm, mm)
Por la unidad seguida de tantos ceros como lugares haya entre ellas



Para pasar a metros tenemos que:
Multiplicar si es una unidad mayor que el metro (dam, hm, km )
Dividir si es una unidad menor que el metro (dm, cm, mm)
Por la unidad seguida de tantos ceros como lugares haya entre ellas



Para pasar a metros tenemos que:
Multiplicar si es una unidad mayor que el metro (dam, hm, km )
Dividir si es una unidad menor que el metro (dm, cm, mm)
Por la unidad seguida de tantos ceros como lugares haya entre ellas


Calcula y expresa el resultado en litros

Para pasar a litros tenemos que:
Multiplicar si es una unidad mayor que el litro (dal, hl, kl)
Dividir si es una unidad menor que el litro (dl, cl, ml)
Por la unidad seguida de tantos ceros como lugares haya entre ellas



Para pasar a litros tenemos que:
Multiplicar si es una unidad mayor que el litro (dal, hl, kl)
Dividir si es una unidad menor que el litro (dl, cl, ml)
Por la unidad seguida de tantos ceros como lugares haya entre ellas



Para pasar a litros tenemos que:
Multiplicar si es una unidad mayor que el litro (dal, hl, kl)
Dividir si es una unidad menor que el litro (dl, cl, ml)
Por la unidad seguida de tantos ceros como lugares haya entre ellas



Para pasar a litros tenemos que:
Multiplicar si es una unidad mayor que el litro (dal, hl, kl)
Dividir si es una unidad menor que el litro (dl, cl, ml)
Por la unidad seguida de tantos ceros como lugares haya entre ellas



Para pasar a litros tenemos que:
Multiplicar si es una unidad mayor que el litro (dal, hl, kl)
Dividir si es una unidad menor que el litro (dl, cl, ml)
Por la unidad seguida de tantos ceros como lugares haya entre ellas


Calcula y expresa el resultado en gramos

Para pasar a gramos tenemos que:
Multiplicar si es una unidad mayor que el gramo (dag, hg, kg )
Dividir si es una unidad menor que el gramo (dg, cg, mg)
Por la unidad seguida de tantos ceros como lugares haya entre ellas



Para pasar a gramos tenemos que:
Multiplicar si es una unidad mayor que el gramo (dag, hg, kg )
Dividir si es una unidad menor que el gramo (dg, cg, mg)
Por la unidad seguida de tantos ceros como lugares haya entre ellas



Para pasar a gramos tenemos que:
Multiplicar si es una unidad mayor que el gramo (dag, hg, kg )
Dividir si es una unidad menor que el gramo (dg, cg, mg)
Por la unidad seguida de tantos ceros como lugares haya entre ellas



Para pasar a gramos tenemos que:
Multiplicar si es una unidad mayor que el gramo (dag, hg, kg )
Dividir si es una unidad menor que el gramo (dg, cg, mg)
Por la unidad seguida de tantos ceros como lugares haya entre ellas



Para pasar a gramos tenemos que:
Multiplicar si es una unidad mayor que el gramo (dag, hg, kg )
Dividir si es una unidad menor que el gramo (dg, cg, mg)
Por la unidad seguida de tantos ceros como lugares haya entre ellas


Calcula y expresa el resultado en centilitros

Para pasar a centilitros tenemos que:
Multiplicar si es una unidad mayor que el centilitro (dl, l, dal, hl, kl )
Dividir si es una unidad menor que el centilitros (ml)
Por la unidad seguida de tantos ceros como lugares haya entre ellas



Para pasar a centilitros tenemos que:
Multiplicar si es una unidad mayor que el centilitro (dl, l, dal, hl, kl )
Dividir si es una unidad menor que el centilitros (ml)
Por la unidad seguida de tantos ceros como lugares haya entre ellas



Para pasar a centilitros tenemos que:
Multiplicar si es una unidad mayor que el centilitro (dl, l, dal, hl, kl )
Dividir si es una unidad menor que el centilitros (ml)
Por la unidad seguida de tantos ceros como lugares haya entre ellas



Para pasar a centilitros tenemos que:
Multiplicar si es una unidad mayor que el centilitro (dl, l, dal, hl, kl )
Dividir si es una unidad menor que el centilitros (ml)
Por la unidad seguida de tantos ceros como lugares haya entre ellas



Para pasar a centilitros tenemos que:
Multiplicar si es una unidad mayor que el centilitro (dl, l, dal, hl, kl )
Dividir si es una unidad menor que el centilitros (ml)
Por la unidad seguida de tantos ceros como lugares haya entre ellas


Calcula y expresa el resultado en centígramos

Para pasar a centígramos tenemos que:
Multiplicar si es una unidad mayor que el centígramo (dg, g, dag, hg, kg )Dividir si es una unidad menor que el centígramo (mg)
Por la unidad seguida de tantos ceros como lugares haya entre ellas



Para pasar a centígramos tenemos que:
Multiplicar si es una unidad mayor que el centígramo (dg, g, dag, hg, kg )Dividir si es una unidad menor que el centígramo (mg)
Por la unidad seguida de tantos ceros como lugares haya entre ellas



Para pasar a centígramos tenemos que:
Multiplicar si es una unidad mayor que el centígramo (dg, g, dag, hg, kg )Dividir si es una unidad menor que el centígramo (mg)
Por la unidad seguida de tantos ceros como lugares haya entre ellas



Para pasar a centígramos tenemos que:
Multiplicar si es una unidad mayor que el centígramo (dg, g, dag, hg, kg )Dividir si es una unidad menor que el centígramo (mg)
Por la unidad seguida de tantos ceros como lugares haya entre ellas



Para pasar a centígramos tenemos que:
Multiplicar si es una unidad mayor que el centígramo (dg, g, dag, hg, kg )Dividir si es una unidad menor que el centígramo (mg)
Por la unidad seguida de tantos ceros como lugares haya entre ellas


Calcular y expresar el resultado en metros

Para pasar a metros tenemos que:
Multiplicar si es una unidad mayor que el metro (dam, hm, km )
Dividir si es una unidad menor que el metro (dm, cm, mm)
Por la unidad seguida de tantos ceros como lugares haya entre ellas



Para pasar a metros tenemos que:
Multiplicar si es una unidad mayor que el metro (dam, hm, km )
Dividir si es una unidad menor que el metro (dm, cm, mm)
Por la unidad seguida de tantos ceros como lugares haya entre ellas



Para pasar a metros tenemos que:
Multiplicar si es una unidad mayor que el metro (dam, hm, km )
Dividir si es una unidad menor que el metro (dm, cm, mm)
Por la unidad seguida de tantos ceros como lugares haya entre ellas



Para pasar a metros tenemos que:
Multiplicar si es una unidad mayor que el metro (dam, hm, km )
Dividir si es una unidad menor que el metro (dm, cm, mm)
Por la unidad seguida de tantos ceros como lugares haya entre ellas



Para pasar a metros tenemos que:
Multiplicar si es una unidad mayor que el metro (dam, hm, km )
Dividir si es una unidad menor que el metro (dm, cm, mm)
Por la unidad seguida de tantos ceros como lugares haya entre ellas


Resumir con IA:









Apuntes es una plataforma dirigida al estudio y la práctica de las matemáticas a través de la teoría y ejercicios interactivos que ponemos a vuestra disposición. Esta información está disponible para todo aquel/aquella que quiera profundizar en el aprendizaje de esta ciencia. Será un placer ayudaros en caso de que tengáis dudas frente algún problema, sin embargo, no realizamos un ejercicio que nos presentéis de 0 sin que hayáis si quiera intentado resolverlo. Ánimo, todo esfuerzo tiene su recompensa.
Tengo éste problemas como puedo solucionar
Se cambiará el piso de tres habitaciones de una casa los cuales miden 12m2 9m2 u 14m2. Si usan piezas de cerámica de625cm2 ¿ cuántas piezas corresponden a la superficie del piso por cambiar?
Esta mal la imagen.
Hacia abajo se divide y hacia arriba se multiplica
Hola te agradecemos tus comentarios, podrías hacernos el favor de darnos mas detalles, como si la imagen esta en un ejercicio y cual es el número del ejercicio.
muy bueno pero muy largo y cuando te corrige no se alcanza a leer, esta muy chica la letra
Hola agradecemos tus comentarios, en cuanto a lo largo es para ser mas explícitos y en cuanto a la letra pequeña estamos trabajando en ello.
yo quisiera que en la pagina se pudiera resolver los ejercicios
Hola podría ser buena idea la que propones, podrias darnos mas detalles al respecto y posiblemente en un futuro poder cumplir con esta sugerencia tuya.
Hola, cómo se resolvería la resta en el sistema sexagesimal si el minuendo, en grados, es menor que el sustraendo? La profesora dice debe pedir prestado un giro que es igual a 360° y de esa manera resolver.
Hola respondiendo a tu pregunta imagina que a 36 grados y 27 minutos le restas 76 grados y 30 minutos, simplemente harías la resta al revés y al resultado le pones signo negativo en este caso serian menos 40 grados y 3 minutos.
25,56 dam+ 526,9 dm. Lo tengo que llevar todo a metro qué resultado daría?