Conversión de medidas
La unidad principal para medir masas es el gramo.Existen otras unidades para medir cantidades mayores y menores, las más usuales son:
| Medida | Símbolo | Equivalencia |
|---|---|---|
| Kilogramo | ![]() | ![]() |
| Hectogramo | ![]() | ![]() |
| Decagramo | ![]() | ![]() |
| Gramo | ![]() | ![]() |
| Decigramo | ![]() | ![]() |
| Centigramo | ![]() | ![]() |
| Miligramo | ![]() | ![]() |
Si queremos pasar de una unidad a otra tenemos que: multiplicar (si es de una unidad mayor a otra menor) o dividir (si es de una unidad menor a otra mayor) por la unidad seguida de tantos ceros como lugares haya entre ellas.

Ejemplos: Convertir
1
a 
Convertimos gramos a centigramos multiplicando por 
Convertimos centigramos a decagramos dividiendo entre 
Convertimos decagramos a miligramos multiplicando por 

2
a 
Convertimos kilogramos a gramos multiplicando por 
Convertimos gramos a decagramos dividiendo entre 
Convertimos decagramos a decigramos multiplicando por 

3
a 
Convertimos decigramos a hectogramos dividiendo entre 
Convertimos hectogramos a decagramos multiplicando por 
Convertimos decagramos a centigramos multiplicando por 

Ejemplos de conversión de medidas
1 Pasar
kilogramos a decigramos:

Tenemos que multiplicar (porque el kilogramo es mayor que el decigramo) por la unidad seguida de cuatro ceros, ya que hay cuatro lugares entre ambos.

2 Pasar
kilogramos a hectogramos:
Tenemos que multiplicar (porque el kilogramo es mayor que el hectogramo) por la unidad seguida de un cero, ya que hay un lugar entre ambos.

Expresar en gramos:
3 
Convertimos los kilogramos a gramos multiplicando por
, los hectogramos a gramos multiplicando por
y los decagramos a gramos multiplicando por
. Luego realizamos las sumas indicadas

4 
Convertimos los centigramos a gramos dividiendo entre
y los miligramos a gramos dividiendo entre
. Luego realizamos las sumas indicadas

5 
Convertimos los decagramos a gramos multiplicando por
y los decigramos a gramos dividiendo entre
. Luego realizamos las sumas indicadas

6 
Convertimos los miligramos a gramos dividiendo entre
y los centigramos a gramos dividiendo entre
. Luego realizamos las sumas indicadas

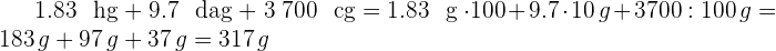
7 
Convertimos los hectogramos a gramos multiplicando por
, los decagramos a gramos multiplicando por
y los entigramos a gramos dividiendo entre
. Luego realizamos las sumas indicadas

Otras medidas de masa
Tonelada métrica
La tonelada métrica se utiliza para medir masas muy grandes

Quintal métrico
El quintal métrico es utilizado principalmente en la agricultura

Observemos que


Ejemplo: Convertir
a toneladas, quintales y gramos
Convertimos kilogramos a toneladas dividiendo entre 
Convertimos toneladas a quintales multiplicando por 
Convertimos quintales a gramos multiplicando por 

Resumir con IA:























Apuntes es una plataforma dirigida al estudio y la práctica de las matemáticas a través de la teoría y ejercicios interactivos que ponemos a vuestra disposición. Esta información está disponible para todo aquel/aquella que quiera profundizar en el aprendizaje de esta ciencia. Será un placer ayudaros en caso de que tengáis dudas frente algún problema, sin embargo, no realizamos un ejercicio que nos presentéis de 0 sin que hayáis si quiera intentado resolverlo. Ánimo, todo esfuerzo tiene su recompensa.
Tengo éste problemas como puedo solucionar
Se cambiará el piso de tres habitaciones de una casa los cuales miden 12m2 9m2 u 14m2. Si usan piezas de cerámica de625cm2 ¿ cuántas piezas corresponden a la superficie del piso por cambiar?
Esta mal la imagen.
Hacia abajo se divide y hacia arriba se multiplica
Hola te agradecemos tus comentarios, podrías hacernos el favor de darnos mas detalles, como si la imagen esta en un ejercicio y cual es el número del ejercicio.
muy bueno pero muy largo y cuando te corrige no se alcanza a leer, esta muy chica la letra
Hola agradecemos tus comentarios, en cuanto a lo largo es para ser mas explícitos y en cuanto a la letra pequeña estamos trabajando en ello.
yo quisiera que en la pagina se pudiera resolver los ejercicios
Hola podría ser buena idea la que propones, podrias darnos mas detalles al respecto y posiblemente en un futuro poder cumplir con esta sugerencia tuya.
Hola, cómo se resolvería la resta en el sistema sexagesimal si el minuendo, en grados, es menor que el sustraendo? La profesora dice debe pedir prestado un giro que es igual a 360° y de esa manera resolver.
Hola respondiendo a tu pregunta imagina que a 36 grados y 27 minutos le restas 76 grados y 30 minutos, simplemente harías la resta al revés y al resultado le pones signo negativo en este caso serian menos 40 grados y 3 minutos.
25,56 dam+ 526,9 dm. Lo tengo que llevar todo a metro qué resultado daría?