Expresar las siguientes capacidades en las unidades de medida indicada y recordemos que
| Kilolitro | Kl | 1000 l |
|---|---|---|
| Hectolitro | hl | 100 l |
| Decalitro | dal | 10 l |
| Litro | l | 1 l |
| Decilitro | dl | 0.1 l |
| Centilitro | cl | 0.01 l |
| Mililitro | ml | 0.001 l |
Si queremos pasar de una unidad a otra tenemos que multiplicar (si es de una unidad mayor a otra menor) o dividir (si es de una unidad menor a otra mayor) por la unidad seguida de tantos ceros como lugares haya entre ellas. Ahora bien,
Resolver:
1 

Este campo es obligatorio.
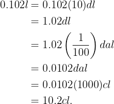
Tenemos que pasar de l a cl, es decir tenemos que pasar de una unidad mayor a otra menor con dos espacios entre ellas(lo podemos ver en la tabla), por lo que debemos multiplicar por 100, es decir

Este campo es obligatorio.
Ahora bien para pasar de l a dal, tenemos que dividir entre 10, pues vamos a pasar de una unidad menor a otra mayor con un espacio de diferencia, por tanto

Este campo es obligatorio.
Finalmente, queremos pasar de l a ml, por lo que tenemos que multiplicar por 1000 pues hay tres lugares entre las unidades, entonces
2 

Este campo es obligatorio.
Para pasar de hl a l, observamos que debe multiplicarse por 100 por tanto

Este campo es obligatorio.
Ahora bien, para pasar de l a cl volvemos a multiplicar por 100 pues hay dos espacios de diferencia y vamos a pasar de una unidad mayor a otra menor,

Este campo es obligatorio.
Finalmente, para pasar de l a kl es necesario dividir entre 100, es decir,
3

Este campo es obligatorio.
Para pasar de kl a l es necesario multiplicar por 1000 pues vamos a pasar a una unidad menor con tres espacios de diferencia,

Este campo es obligatorio.
Ahora bien, de l a dal dividimos entre 10

Este campo es obligatorio.
Y para pasar de l a dl es necesario multiplicar por 10, entonces
4 

Este campo es obligatorio.


Este campo es obligatorio.


Este campo es obligatorio.
Tenemos que dl es una unidad menor que hl, por lo que para pasar de dl a hl es necesario dividir, se encuentran a tres espacios de diferencia, entonces se debe dividir entre 1000; por otro lado para pasar de hl a dal se debe multiplicar por 10 y finalmente para pasar de dal a cl es necesario multiplicar por 1000, es decir,
5

Este campo es obligatorio.


Este campo es obligatorio.


Este campo es obligatorio.
En este caso debemos pasar de l a dl, por lo que multiplicaremos por 10; después pasaremos de dl a dal por tanto dividimos entre 100 y finalmente pasaremos de dal a cl y para esto es necesario multiplicar por 1000,
6

Este campo es obligatorio.


Este campo es obligatorio.


Este campo es obligatorio.
Similar a los ejercicios anteriores realizamos las siguiente operaciones
Si tienes dudas puedes consultar la teoría
Resumir con IA:

Apuntes es una plataforma dirigida al estudio y la práctica de las matemáticas a través de la teoría y ejercicios interactivos que ponemos a vuestra disposición. Esta información está disponible para todo aquel/aquella que quiera profundizar en el aprendizaje de esta ciencia. Será un placer ayudaros en caso de que tengáis dudas frente algún problema, sin embargo, no realizamos un ejercicio que nos presentéis de 0 sin que hayáis si quiera intentado resolverlo. Ánimo, todo esfuerzo tiene su recompensa.
Tengo éste problemas como puedo solucionar
Se cambiará el piso de tres habitaciones de una casa los cuales miden 12m2 9m2 u 14m2. Si usan piezas de cerámica de625cm2 ¿ cuántas piezas corresponden a la superficie del piso por cambiar?
Esta mal la imagen.
Hacia abajo se divide y hacia arriba se multiplica
Hola te agradecemos tus comentarios, podrías hacernos el favor de darnos mas detalles, como si la imagen esta en un ejercicio y cual es el número del ejercicio.
muy bueno pero muy largo y cuando te corrige no se alcanza a leer, esta muy chica la letra
Hola agradecemos tus comentarios, en cuanto a lo largo es para ser mas explícitos y en cuanto a la letra pequeña estamos trabajando en ello.
yo quisiera que en la pagina se pudiera resolver los ejercicios
Hola podría ser buena idea la que propones, podrias darnos mas detalles al respecto y posiblemente en un futuro poder cumplir con esta sugerencia tuya.
Hola, cómo se resolvería la resta en el sistema sexagesimal si el minuendo, en grados, es menor que el sustraendo? La profesora dice debe pedir prestado un giro que es igual a 360° y de esa manera resolver.
Hola respondiendo a tu pregunta imagina que a 36 grados y 27 minutos le restas 76 grados y 30 minutos, simplemente harías la resta al revés y al resultado le pones signo negativo en este caso serian menos 40 grados y 3 minutos.
25,56 dam+ 526,9 dm. Lo tengo que llevar todo a metro qué resultado daría?