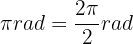
Expresa en radianes las medidas dadas en grados, y expresar en grados las medidas dadas en radianes. Además, recordemos que
1

Selecciona una respuesta.
Solución
Notemos que
entonces

2

Selecciona una respuesta.
Solución
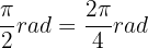
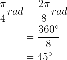
Tenemos que

entonces

3

Selecciona una respuesta.
Solución
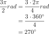
Puesto que

entonces

4

Selecciona una respuesta.
Solución
Tenemos que
5

Selecciona una respuesta.
Solución
Reescribiendo
6

Selecciona una respuesta.
Solución
Sabemos que
7

Selecciona una respuesta.
Solución
Tenemos que
entonces

8

Selecciona una respuesta.
Solución
Notemos que
entonces

9

Selecciona una respuesta.
Solución
Notemos que
entonces

10

Selecciona una respuesta.
Solución
Puesto que
entonces

Si tienes dudas puedes consultar la teoría
Resumir con IA:

Apuntes es una plataforma dirigida al estudio y la práctica de las matemáticas a través de la teoría y ejercicios interactivos que ponemos a vuestra disposición. Esta información está disponible para todo aquel/aquella que quiera profundizar en el aprendizaje de esta ciencia. Será un placer ayudaros en caso de que tengáis dudas frente algún problema, sin embargo, no realizamos un ejercicio que nos presentéis de 0 sin que hayáis si quiera intentado resolverlo. Ánimo, todo esfuerzo tiene su recompensa.
Tengo éste problemas como puedo solucionar
Se cambiará el piso de tres habitaciones de una casa los cuales miden 12m2 9m2 u 14m2. Si usan piezas de cerámica de625cm2 ¿ cuántas piezas corresponden a la superficie del piso por cambiar?
Esta mal la imagen.
Hacia abajo se divide y hacia arriba se multiplica
Hola te agradecemos tus comentarios, podrías hacernos el favor de darnos mas detalles, como si la imagen esta en un ejercicio y cual es el número del ejercicio.
muy bueno pero muy largo y cuando te corrige no se alcanza a leer, esta muy chica la letra
Hola agradecemos tus comentarios, en cuanto a lo largo es para ser mas explícitos y en cuanto a la letra pequeña estamos trabajando en ello.
yo quisiera que en la pagina se pudiera resolver los ejercicios
Hola podría ser buena idea la que propones, podrias darnos mas detalles al respecto y posiblemente en un futuro poder cumplir con esta sugerencia tuya.
Hola, cómo se resolvería la resta en el sistema sexagesimal si el minuendo, en grados, es menor que el sustraendo? La profesora dice debe pedir prestado un giro que es igual a 360° y de esa manera resolver.
Hola respondiendo a tu pregunta imagina que a 36 grados y 27 minutos le restas 76 grados y 30 minutos, simplemente harías la resta al revés y al resultado le pones signo negativo en este caso serian menos 40 grados y 3 minutos.
25,56 dam+ 526,9 dm. Lo tengo que llevar todo a metro qué resultado daría?