El movimiento rectilíneo uniforme (MRU) es un tipo de movimiento en línea recta donde un objeto se desplaza a una velocidad constante, sin aceleración. Este concepto fundamental en la física describe un movimiento sin cambios en la velocidad ni dirección, proporcionando la base para comprender trayectorias simples y sistemas cinemáticos básicos. El análisis del movimiento rectilíneo uniforme permite comprender la relación entre la distancia recorrida y el tiempo transcurrido, brindando una visión clara de la cinemática básica de un objeto en movimiento.
Velocidad y rapidez
La rapidez promedio es una cantidad escalar que se obtiene del cociente de la distancia total recorrida y el tiempo empleado para realizarlo.
La velocidad promedio es una cantidad vectorial que se obtiene del cociente del desplazamiento del objeto y el tiempo empleado para realizarlo.
Cuando un objeto o partícula regresa al punto de partida, es decir, la posición inicial y final son las mismas, el desplazamiento es cero pero no así la distancia total. El desplazamiento depende solo de la posición inicial y final, mientras que las distancia total depende de las diferentes posiciones intermedias del objeto.
La velocidad instantánea se obtiene de tomar el límite cuando el tiempo empleado para el desplazamiento tiende a cero, en la fórmula de la velocidad promedio. Esto es la definición de derivada de la función posición respecto al tiempo

La magnitud de la velocidad instantánea coincide en valor absoluto con la rapidez instantánea
Velocidad constante
Un vector cambia cuando lo hace su magnitud o su dirección, por lo que decimos que la velocidad cambia si lo hace su rapidez o dirección. Cuando la rapidez y dirección no cambian, decimos que la velocidad es constante.
Notamos que si conocemos la función de posición, entonces podemos encontrar la velocidad instantánea para cualquier tiempo
siempre que la función sea diferenciable. Por otra parte, si solamente conocemos la velocidad, no siempre podemos obtener la función de posición mediante integración ya que la velocidad depende del tiempo y podría ser no integrable.
Si la velocidad es constante, entonces podemos integrar y obtener la función de posición
En general, el tiempo inicial es
y el tiempo final es
, por lo que escribiendo la diferencial de la función de posición e integrando se tiene

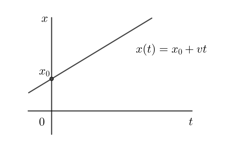
Movimiento rectilíneo uniforme
Cuando un objeto tiene velocidad constante, su rapidez y dirección también permanecen constantes. Al no cambiar de dirección, el objeto se mueve en una línea recta con rapidez constante. Se conoce como movimiento rectilíneo uniforme al movimiento de los objetos que tienen velocidad constante.
La ecuación

con
la posición final,
la posición inicial,
la velocidad constante y
el tiempo transcurrido entre la posición inicial y final, indica la posición final de un objeto en función del tiempo. Esta ecuación de movimiento se refiere al movimiento de un objeto con velocidad constante.
Gráfica para un movimiento rectilíneo uniforme
Graficamos la ecuación de la línea recta
con: ordenada al origen
y pendiente 

Resumir con IA:









en el ejercicio 4 por que no pasas las unidades a SI ?
Hola nos da gusto que te beneficies de nuestro material, en cuanto a tu pregunta, no se cambio para dar diversidad a las resoluciones de los ejercicios, pues hay maestros y escuelas que manejan esas unidades y de esa manera se satisface el conocimiento de más personas.
Hola buenas. Tengo una corrección respecto al ejercicio 5. La aceleración fue calculada de forma correcta, sin embargo, al calcular la distancia se debe utilizar la ecuación de itinerario de la posición, en concreto:
X = Xo + Vo • t + (1/2) • a • t^2
Al utilizar esta ecuación, se considera el movimiento acelerado para el desplazamiento del automóvil, en t = 2 [h]. Al utilizar la ecuación que pusiste en la solución, consideras como velocidad final, los 75 [km/h], en lugar de la velocidad alcanzada realmente en t = 2[h], la cual se puede calcular utilizando la ecuación de velocidad.
V = Vo + a • t
Con t= 2 [h], esa V te da un valor de 45 [km/h]. Al utilizar ese valor en la ecuación que tu planteaste, te da el desplazamiento real, el cual te da un valor de 70 [km], lo cual también se obtiene con la ecuación de itinerario de posición:
X = Vo • t + (1/2) • a • t^2
X = (25 • 2) + ((1/2) • (10 • 2^2)) [km]
X = 70 [km]
Hola tienes razón, una disculpa ya se corrigió.
8. Dos vehículos salen al encuentro desde dos ciudades separadas por 300 km, con
velocidades de 60 km/h y 40 km/h, respectivamente. Si el que circula a 40 km/h sale dos
horas más tarde, responda a las siguientes preguntas: a) El tiempo que tardan en encontrarse.
b) La posición donde se encuentran.
a) Tiempo hasta encontrarse:
Vehículo 1: 3,8 horas ≈ 3 h 48 min
Vehículo 2: 1,8 horas ≈ 1 h 48 min
b) Posición del encuentro:
A 228 km de la ciudad de salida del vehículo 1
A 72 km de la ciudad de salida del vehículo 2
En el problema siete está mal la unidad de medida de la aceleración, está se mide en m/s^2 no en m^2
Hola, una disculpa por el error ya se corrigió.
Trayectoria de un objeto lanzado
Un balón es llazando ª 30
Con una velocidad inicial de 15 m/s graficar su trayectoria en el plano Xy usando geogebra o tracker