Te presentamos una serie de ejercicios diseñados para consolidar los conocimientos adquiridos en el estudio del movimiento circular uniformemente acelerado (MCUA). Estos ejercicios abarcan diferentes aspectos del MCUA, desde la conversión entre magnitudes lineales y angulares hasta la aplicación de fórmulas fundamentales.
Responde las siguientes preguntas:
1 Una rueda gira a 3 revoluciones por segundo. Su velocidad angular es...
Sabemos que 1 revolución es igual a
radianes, por lo que para encontrar la velocidad angular solamente se requiere una conversión de unidades

Así, la velocidad angular es 
2El desplazamiento angular de un cuerpo que gira en un círculo es de 1256.64 radianes. Su número de revoluciones es...
Sabemos que 1 revolución es igual a
radianes, por lo que para encontrar el número de revoluciones, solamente se requiere una conversión de unidades

Así, el desplazamiento angular de
equivale a 
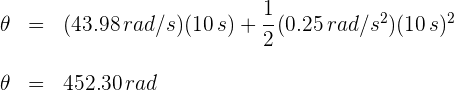
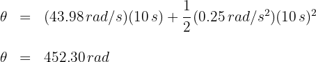
3Una rueda gira a
y acelera uniformemente a
durante 1 minuto. Su velocidad angular al cabo de 1 minuto es...
1 Los datos conocidos son:

2 Para obtener la velocidad angular final, utilizamos la fórmula

3 Sustituimos los datos conocidos en la fórmula y obtenemos

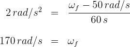
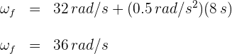
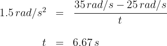
4Una rueda inicialmente gira a
y acelera a
hasta alcanzar una velocidad de
. El tiempo empleado para conseguirlo es...
1 Los datos conocidos son:

2 Para obtener el tiempo, utilizamos la fórmula

3 Sustituimos los datos conocidos en la fórmula y obtenemos

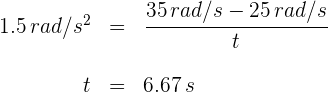
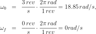
5Una partícula inicialmente gira a
y acelera a
. Su velocidad angular a los 8 segundos es...
1 Los datos conocidos son:

2 Para obtener la velocidad angular final, utilizamos la fórmula

3 Sustituimos los datos conocidos en la fórmula y obtenemos

6 Una rueda tiene aceleración angular de
. Si a los 7 segundos gira a
. Su velocidad angular inicial es...
1 Los datos conocidos son:

2 A partir de las frecuencias obtenemos la velocidad angular final

3 Para obtener la velocidad angular inicial, utilizamos la fórmula

4 Sustituimos los datos conocidos en la fórmula y obtenemos

7 Una rueda que gira a
recibe durante 10 segundos una aceleración constante de
. ¿Cuál es su desplazamiento angular?...
1 Los datos conocidos son:

2 A partir de las frecuencias obtenemos la velocidad angular inicial

3 Para obtener el desplazamiento angular, utilizamos la fórmula

4 Sustituimos los datos conocidos en la fórmula y obtenemos

8Una rueda inicialmente gira a
y cambia a
mientras efectua 20 revoluciones. Su aceleración angular es...
1 Los datos conocidos son:

2 A partir de las frecuencias obtenemos las velocidades angulares y el desplazamiento en radianes

3 Para obtener la aceleración angular, utilizamos la fórmula

4 Sustituimos los datos conocidos en la fórmula y obtenemos

9 Una pulidora rotatoria gira a
y acelera constantemente hasta tener
en 5 segundos. ¿Cuál es su desplazamiento angular?
...
1 Los datos conocidos son:

2 A partir de las frecuencias obtenemos las velocidades angulares y el desplazamiento en radianes

3 Para obtener el desplazamiento angular, utilizamos la fórmula

4 Sustituimos los datos conocidos en la fórmula y obtenemos

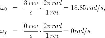
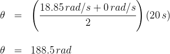
10 Una rueda de bicicleta de 30 centímetros de radio gira a
y comienza a detenerse uniformemente hasta el reposo en 20 segundos. La distancia que recorrió la rueda es...
1 Los datos conocidos son:

2 A partir de las frecuencias obtenemos las velocidades angulares y el desplazamiento en radianes

3 Para obtener el desplazamiento angular, utilizamos la fórmula

4 Sustituimos los datos conocidos en la fórmula y obtenemos

5 Para encontrar la distancia recorrida, utilizamos la fórmula

6 Sustituimos los datos conocidos en la fórmula y obtenemos

Si tienes dudas puedes consultar los ejercicios resueltos.

Hola buenas. Tengo una corrección respecto al ejercicio 5. La aceleración fue calculada de forma correcta, sin embargo, al calcular la distancia se debe utilizar la ecuación de itinerario de la posición, en concreto:
X = Xo + Vo • t + (1/2) • a • t^2
Al utilizar esta ecuación, se considera el movimiento acelerado para el desplazamiento del automóvil, en t = 2 [h]. Al utilizar la ecuación que pusiste en la solución, consideras como velocidad final, los 75 [km/h], en lugar de la velocidad alcanzada realmente en t = 2[h], la cual se puede calcular utilizando la ecuación de velocidad.
V = Vo + a • t
Con t= 2 [h], esa V te da un valor de 45 [km/h]. Al utilizar ese valor en la ecuación que tu planteaste, te da el desplazamiento real, el cual te da un valor de 70 [km], lo cual también se obtiene con la ecuación de itinerario de posición:
X = Vo • t + (1/2) • a • t^2
X = (25 • 2) + ((1/2) • (10 • 2^2)) [km]
X = 70 [km]
Hola tienes razón, una disculpa ya se corrigió.
8. Dos vehículos salen al encuentro desde dos ciudades separadas por 300 km, con
velocidades de 60 km/h y 40 km/h, respectivamente. Si el que circula a 40 km/h sale dos
horas más tarde, responda a las siguientes preguntas: a) El tiempo que tardan en encontrarse.
b) La posición donde se encuentran.
En el problema siete está mal la unidad de medida de la aceleración, está se mide en m/s^2 no en m^2
Hola, una disculpa por el error ya se corrigió.
5.- Dos motocicletas están separadas una distancia de 2 km. La primera se mueve a
velocidad (constante) de 25 m·s-1. La segunda, parte de parado con una aceleración
constante de 3 m·s-2. Calcule:
a) Cuanto tiempo tardarán en encontrase, si una va en dirección opuesta a la otra.
b) Si las dos van en la misma dirección, ¿cuánto tiempo tardará la segunda
moticicleta en pillar a la primera?
c) En este último caso, ¿en qué punto la pillará?
Trayectoria de un objeto lanzado
Un balón es llazando ª 30
Con una velocidad inicial de 15 m/s graficar su trayectoria en el plano Xy usando geogebra o tracker