Los ejercicios que encontrarás a continuación te permitirán aplicar y consolidar tus conocimientos sobre cinemática en problemas prácticos. Prepárate para poner en práctica tus habilidades, ya que cada ejercicio te desafiará a aplicar fórmulas específicas.
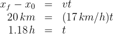
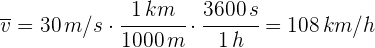
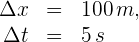
Un automóvil se mueve a velocidad constante de 50 kilómetros por hora durante 15 minutos. La distancia recorrida por el automóvil es...
Selecciona una respuesta.
1 Indicamos los datos conocidos

2Convertimos el tiempo a horas

3Como la velocidad es constante, se tiene un problema de MRU, por ello empleamos la fórmula

4Sustituimos los datos conocidos

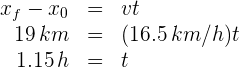
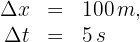
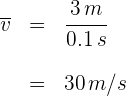
Si un automóvil recorre 200 kilómetros en 3 horas, la distancia recorre en los primeros 15 minutos es...
Selecciona una respuesta.
1 Indicamos los datos conocidos

2Calculamos la velocidad promedio, para esto empleamos la fórmula

3Sustituimos los datos conocidos

4Para calcular la distancia recorrrida en los primeros 15 minutos, convertimos el tiempo a horas

3Sustituimos los datos conocidos en la fórmula de velocidad promedio

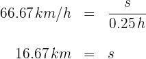
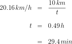
Una bicicleta se desplaza con una velocidad promedio de 5.6 metros por segundo. Si recorre 10 kilómetros, el tiempo empleado es...
Selecciona una respuesta.
1 Indicamos los datos conocidos

2Convertimos la velocidad a kilómetros por hora

3Empleamos la fórmula de velocidad promedio

4Sustituimos los datos conocidos

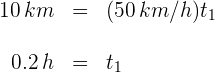
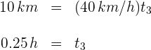
Un automóvil viaja a 50 km/h durante los primeros 10 km, luego incrementa su velocidad a 60 km/h en los siguientes 10 km, y finalmente reduce su velocidad a 40 km/h en los últimos 10 km. El tiempo empleado para recorrer los 30 km es...
Selecciona una respuesta.
1 Indicamos los datos conocidos

2Como la velocidad es constante por tramos, se tiene un problema de MRU, por ello empleamos la fórmula

3Sustituimos los datos conocidos considerando 



4El tiempo total empleado es

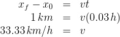
Un ciclista recorre 20 km a una velocidad promedio de 17 km/h. Un segundo ciclista recorre los primeros 19 km a una velocidad de 16.5 km/h. Si ambos ciclistas parten del mismo punto y al mismo tiempo, la velocidad a la que debe ir el segundo ciclista en el último kilómetro para llegar al mismo tiempo que el primer ciclista es...
Selecciona una respuesta.
1 Calculamos el tiempo empleado por el primer ciclista para recorrer los 20 km

2 Calculamos el tiempo empleado por el segundo ciclista para recorrer los primeros 19 km

3 Notamos que el segundo ciclista recorre el último kilómetro en 0.03 h. Calculamos la velocidad en estos 5 km

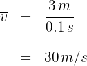
La grabación de una cámara de tráfico muestra un vehículo moviendose en una carretera recta. Si entre dos fotogramas consecutivos, el vehículo se desplaza 3 metros y el intervalo de tiempo es de 0.1 segundos, la velocidad promedio del vehículo es...
Selecciona una respuesta.
1 Indicamos los intervalos de distancia y tiempo conocidos

2Empleamos la fórmula de velocidad promedio

3Sustituimos los datos conocidos

4Convertimos a kilómetros por hora

La distancia entre dos señales de tráfico es de 100 metros. Si el vehículo tarda 5 segundos es recorrerlo, la velocidad promedio del vehículo es...
Selecciona una respuesta.
1 Indicamos los intervalos de distancia y tiempo conocidos

2Empleamos la fórmula de velocidad promedio

3Sustituimos los datos conocidos

4Convertimos a kilómetros por hora

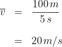
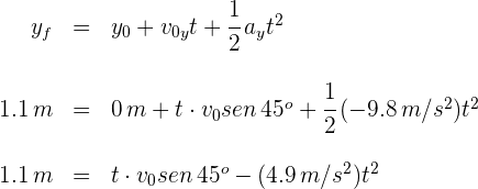
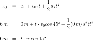
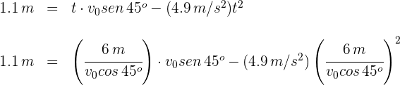
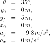
Un basquetbolista de 1.95 metros de altura lanza el balón desde su posición a 6 metros de la canasta, que se encuentra a una altura de 3.05 metros. Si el lanzamiento lo realiza con un ángulo de
, la velocidad inicial del lanzamiento para que el balón caiga en la canasta es...
Selecciona una respuesta.
1Establecemos las direcciones hacia arriba y a la derecha como positivas; con ello, la aceleración vertical es
. La aceleración horizontal siempre es cero, por lo que la velocidad horizontal es constante.
2 Indicamos los datos conocidos

3 Representamos las componentes horizontal y vertical de la velocidad inicial

4Como en la parte vertical del movimiento la aceleración es constante, se tiene un problema de MRUA, por ello sustituimos los datos conocidos en las fórmulas de posiciones finales


5Para encontrar la velocidad inicial, despejamos el tiempo de la segunda ecuación y lo sustituimos en la primera

Despejando el tiempo, se obtiene

Un beisbolista conecta un cuadrangular y la pelota cae en las butacas a 5 metros por encima del punto donde fue golpeada la pelota y con una velocidad de 45 m/s a un ángulo de
con respecto a la horizontal, ¿cuál es la velocidad inicial de la pelota cuando deja de estar en contacto con el bat?
Selecciona una respuesta.
1Establecemos las direcciones hacia arriba y a la derecha como positivas; con ello, la aceleración vertical es
. La aceleración horizontal siempre es cero, por lo que la velocidad horizontal es constante.
2 Indicamos los datos conocidos

3 Representamos las componentes horizontal y vertical de la velocidad inicial

4 Como la aceleración horizontal es cero, entonces la velocidad horizontal es constante, luego

5Como en la parte vertical del movimiento la aceleración es constante, se tiene un problema de MRUA, por ello sustituimos los datos conocidos en la fórmula de velocidad final

6La velocidad inicial con la que se golpea la pelota es

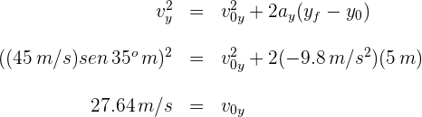
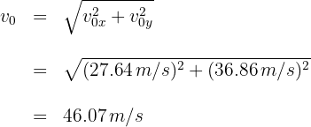
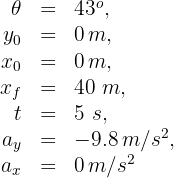
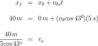
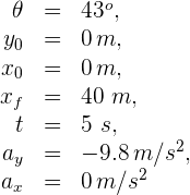
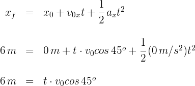
Un jugador de futbol se encuentra a 40 metros de la portería contraria y en pocesión del balón, observa que el guardameta se encuentra fuera del área y estima que le tomará al menos 5 segundos el regresar al arco. Si el jugador golpea el balón a
con respecto al suelo, la velocidad a la que debe golpear el balón para que este entre en la porteríaes...
Selecciona una respuesta.
1Establecemos las direcciones hacia arriba y a la derecha como positivas; con ello, la aceleración vertical es
. La aceleración horizontal siempre es cero, por lo que la velocidad horizontal es constante.
2 Indicamos los datos conocidos

3 Expresamos en términos de
las componentes horizontal y vertical de la velocidad inicial

4Como en la parte horizontal del movimiento la aceleración es cero, la velocidad es constante y se tiene un problema de MRU, por ello sustituimos los datos conocidos en la fórmula

de donde se obtiene
.
Si tienes dudas puedes consultar ejercicios resueltos del tema.
Resumir con IA:

en el ejercicio 4 por que no pasas las unidades a SI ?
Hola nos da gusto que te beneficies de nuestro material, en cuanto a tu pregunta, no se cambio para dar diversidad a las resoluciones de los ejercicios, pues hay maestros y escuelas que manejan esas unidades y de esa manera se satisface el conocimiento de más personas.
Hola buenas. Tengo una corrección respecto al ejercicio 5. La aceleración fue calculada de forma correcta, sin embargo, al calcular la distancia se debe utilizar la ecuación de itinerario de la posición, en concreto:
X = Xo + Vo • t + (1/2) • a • t^2
Al utilizar esta ecuación, se considera el movimiento acelerado para el desplazamiento del automóvil, en t = 2 [h]. Al utilizar la ecuación que pusiste en la solución, consideras como velocidad final, los 75 [km/h], en lugar de la velocidad alcanzada realmente en t = 2[h], la cual se puede calcular utilizando la ecuación de velocidad.
V = Vo + a • t
Con t= 2 [h], esa V te da un valor de 45 [km/h]. Al utilizar ese valor en la ecuación que tu planteaste, te da el desplazamiento real, el cual te da un valor de 70 [km], lo cual también se obtiene con la ecuación de itinerario de posición:
X = Vo • t + (1/2) • a • t^2
X = (25 • 2) + ((1/2) • (10 • 2^2)) [km]
X = 70 [km]
Hola tienes razón, una disculpa ya se corrigió.
8. Dos vehículos salen al encuentro desde dos ciudades separadas por 300 km, con
velocidades de 60 km/h y 40 km/h, respectivamente. Si el que circula a 40 km/h sale dos
horas más tarde, responda a las siguientes preguntas: a) El tiempo que tardan en encontrarse.
b) La posición donde se encuentran.
a) Tiempo hasta encontrarse:
Vehículo 1: 3,8 horas ≈ 3 h 48 min
Vehículo 2: 1,8 horas ≈ 1 h 48 min
b) Posición del encuentro:
A 228 km de la ciudad de salida del vehículo 1
A 72 km de la ciudad de salida del vehículo 2
En el problema siete está mal la unidad de medida de la aceleración, está se mide en m/s^2 no en m^2
Hola, una disculpa por el error ya se corrigió.
Trayectoria de un objeto lanzado
Un balón es llazando ª 30
Con una velocidad inicial de 15 m/s graficar su trayectoria en el plano Xy usando geogebra o tracker