La caída libre es un fenómeno físico fundamental que ocurre cuando un objeto se mueve bajo la influencia exclusiva de la gravedad, sin resistencia del aire u otras fuerzas externas. Este concepto, central en la mecánica clásica, permite comprender cómo los objetos caen hacia la Tierra y cómo varían sus propiedades cinemáticas durante este proceso.
Los ejercicios de caída libre constituyen una herramienta esencial en el estudio de la física, ya que permiten explorar y aplicar los principios de la cinemática en un contexto simple pero crucial. en los siguientes ejercicios no consideramos la resistencia del aire.
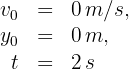
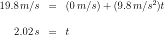
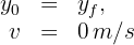
Se deja caer una pelota desde la parte alta de un edificio, ¿cuál es la velocidad de la pelota a los dos segundos de comenzar a caer?
1 Elegimos la dirección hacia abajo como positiva y como la pelota se deja caer, su velocidad inicial es cero

2 Indicamos los datos conocidos

3Al tratarse de caida libre, la aceleración es igual a la gravedad
, la cual es positiva ya que elegimos al inicio que la dirección hacia abajo es positiva
4Como la aceleración es constante, se tiene un problema de MRUA, por ello empleamos la fórmula

5Sustituimos los datos conocidos

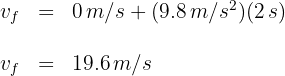
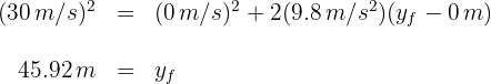
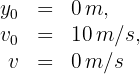
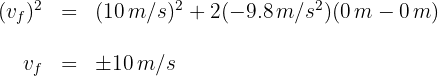
Se lanza una pelota verticalmente hacia arriba con velocidad
, ¿qué altura alcanza la pelota?, ¿cuál es el tiempo empleado por la pelota hasta caer al piso?
1 Elegimos la dirección hacia arriba como positiva y notamos que su velocidad final es cero

2 Indicamos los datos conocidos

3Al tratarse de caida libre, la aceleración es igual a la gravedad
, la cual es negativa ya que elegimos al inicio que la dirección hacia arriba es positiva
4Como la aceleración es constante, se tiene un problema de MRUA, por ello empleamos la fórmula

5Sustituimos los datos conocidos y despejamos 

Así, la altura es 
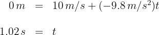
6Para calcular el tiempo empleado hasta regresar al piso, notamos que
. Utilizamos la fórmula

7Sustituimos los datos conocidos y despejamos 

Así, se tiene que
y
. Ambas soluciones corresponden al tiempo en que la pelota se encuentra en el piso. La solución pedida es 
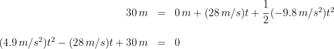
Se deja caer verticalmente un objeto desde una altura de
. ¿Con que velocidad toca el objeto el piso y cuánto tiempo le lleva realizarlo?
1 Elegimos la dirección hacia abajo como positiva y notamos que la velocidad inicial es cero

2 Indicamos los datos conocidos

3Al tratarse de caida libre, la aceleración es igual a la gravedad
, la cual es positiva ya que elegimos al inicio que la dirección hacia abajo es positiva
4Como la aceleración es constante, se tiene un problema de MRUA, por ello empleamos la fórmula

5Sustituimos los datos conocidos

6Para encontrar el tiempo empleado, utilizamos la fórmula

7Sustituimos los datos conocidos

Una pelota se lanza verticalmente hacia arriba desde el suelo a una velocidad de
. ¿Cuánto tiempo le tomará estar a 30 metros sobre el suelo?
1 Elegimos la dirección hacia arriba como positiva

2 Indicamos los datos conocidos

3Al tratarse de caida libre, la aceleración es igual a la gravedad
, la cual es negativa ya que elegimos al inicio que la dirección hacia arriba es positiva
4Como la aceleración es constante, se tiene un problema de MRUA, por ello empleamos la fórmula

5Sustituimos los datos conocidos

Utilizando la fórmula cuadrática obtenemos
y
que corresponde al tiempo en que va subiendo y bajando respectivamente.
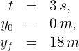
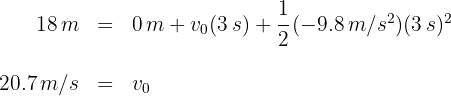
Un objeto se lanza verticalmente hacia arriba desde el suelo. Si alcanza una altura de 18 metros en 3 segundos. ¿A qué velocidad se lanzó el objeto?
1 Elegimos la dirección hacia arriba como positiva

2 Indicamos los datos conocidos

3Al tratarse de caida libre, la aceleración es igual a la gravedad
, la cual es negativa ya que elegimos al inicio que la dirección hacia arriba es positiva
4Como la aceleración es constante, se tiene un problema de MRUA, por ello empleamos la fórmula

5Sustituimos los datos conocidos

Un objeto se deja caer verticalmente hacia abajo y llega al piso con una velocidad de
. ¿Cuál es la distancia recorrida por el objeto?
1 Elegimos la dirección hacia abajo como positiva y notamos que la velocidad inicial es cero

2 Indicamos los datos conocidos

3Al tratarse de caida libre, la aceleración es igual a la gravedad
, la cual es positiva ya que elegimos al inicio que la dirección hacia abajo es positiva
4Como la aceleración es constante, se tiene un problema de MRUA, por ello empleamos la fórmula

5Sustituimos los datos conocidos

Una pelota se lanza verticalmente hacia arriba a una velocidad de
. ¿En cuánto tiempo alcanza el punto más alto de su recorrido? ¿Cuál es la velocidad cuando regresa al punto de partida?
1 Elegimos la dirección hacia arriba como positiva y notamos que en el punto más alto su velocidad es cero.

2 Indicamos los datos conocidos

3Al tratarse de caida libre, la aceleración es igual a la gravedad
, la cual es negativa ya que elegimos al inicio que la dirección hacia arriba es positiva
4Como la aceleración es constante, se tiene un problema de MRUA, por ello empleamos la fórmula

5Sustituimos los datos conocidos

La pelota alcanza su punto más alto en 1.02 segundos
6Para calcular la velocidad cuando vuelve al punto de partida, no tamos que la posición final es igual a la inicial. Empleamos la fórmula

7Sustituimos los datos conocidos

La velocidad tiene las misma magnitud que la inicial, pero con dirección contraria
Una pelota se lanza verticalmente hacia arriba a
de manera que alcanza su punto más alto y regresa a su punto de inicio. ¿Cómo es la velocidad de regreso de la pelota respecto a su velocidad durante su ascenso cuando pasa por la misma posición?
1 Elegimos la dirección hacia arriba como positiva y notamos que en el punto más alto su velocidad es cero.

2 Indicamos los datos conocidos

3Al tratarse de caida libre, la aceleración es igual a la gravedad
, la cual es negativa ya que elegimos al inicio que la dirección hacia arriba es positiva
4Como la aceleración es constante, se tiene un problema de MRUA, por ello empleamos la fórmula

5Como
, luego

Entonces la magnitud de ambas velocidades es la misma, pero sus direcciones son contrarias. De hecho, lo mismo ocurre en cada punto del recorrido de la pelota.
¿A qué velocidad debe lanzarse una pelota verticalmente hacia arriba, para que después de dos segundos tenga una velocidad de
?
1 Elegimos la dirección hacia arriba como positiva

2 Indicamos los datos conocidos

3Al tratarse de caida libre, la aceleración es igual a la gravedad
, la cual es negativa ya que elegimos al inicio que la dirección hacia arriba es positiva
4Como la aceleración es constante, se tiene un problema de MRUA, por ello empleamos la fórmula

5Sustituyendo los valores conocidos, se obtiene

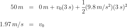
Una pelota se lanza verticalmente hacia abajo desde la parte más alta de un edificio. Si recorre 50 metros en 3 segundos, ¿cuál es su velocidad inicial?
1 Elegimos la dirección hacia abajo como positiva

2 Indicamos los datos conocidos

3Al tratarse de caida libre, la aceleración es igual a la gravedad
, la cual es positiva ya que elegimos al inicio que la dirección hacia abajo es positiva
4Como la aceleración es constante, se tiene un problema de MRUA, por ello empleamos la fórmula

5Sustituimos los datos conocidos

Si tienes dudas, aquí puedes consultar la teoría.
Resumir con IA:

en el ejercicio 4 por que no pasas las unidades a SI ?
Hola nos da gusto que te beneficies de nuestro material, en cuanto a tu pregunta, no se cambio para dar diversidad a las resoluciones de los ejercicios, pues hay maestros y escuelas que manejan esas unidades y de esa manera se satisface el conocimiento de más personas.
Hola buenas. Tengo una corrección respecto al ejercicio 5. La aceleración fue calculada de forma correcta, sin embargo, al calcular la distancia se debe utilizar la ecuación de itinerario de la posición, en concreto:
X = Xo + Vo • t + (1/2) • a • t^2
Al utilizar esta ecuación, se considera el movimiento acelerado para el desplazamiento del automóvil, en t = 2 [h]. Al utilizar la ecuación que pusiste en la solución, consideras como velocidad final, los 75 [km/h], en lugar de la velocidad alcanzada realmente en t = 2[h], la cual se puede calcular utilizando la ecuación de velocidad.
V = Vo + a • t
Con t= 2 [h], esa V te da un valor de 45 [km/h]. Al utilizar ese valor en la ecuación que tu planteaste, te da el desplazamiento real, el cual te da un valor de 70 [km], lo cual también se obtiene con la ecuación de itinerario de posición:
X = Vo • t + (1/2) • a • t^2
X = (25 • 2) + ((1/2) • (10 • 2^2)) [km]
X = 70 [km]
Hola tienes razón, una disculpa ya se corrigió.
8. Dos vehículos salen al encuentro desde dos ciudades separadas por 300 km, con
velocidades de 60 km/h y 40 km/h, respectivamente. Si el que circula a 40 km/h sale dos
horas más tarde, responda a las siguientes preguntas: a) El tiempo que tardan en encontrarse.
b) La posición donde se encuentran.
a) Tiempo hasta encontrarse:
Vehículo 1: 3,8 horas ≈ 3 h 48 min
Vehículo 2: 1,8 horas ≈ 1 h 48 min
b) Posición del encuentro:
A 228 km de la ciudad de salida del vehículo 1
A 72 km de la ciudad de salida del vehículo 2
En el problema siete está mal la unidad de medida de la aceleración, está se mide en m/s^2 no en m^2
Hola, una disculpa por el error ya se corrigió.
Trayectoria de un objeto lanzado
Un balón es llazando ª 30
Con una velocidad inicial de 15 m/s graficar su trayectoria en el plano Xy usando geogebra o tracker