¡Bienvenidos a nuestros ejercicios interactivos de Movimiento Rectilíneo Uniforme! El Movimiento Rectilíneo Uniforme (MRU) es un tipo de movimiento en el que un objeto se desplaza en línea recta con velocidad constante. En este contexto, la velocidad se mantiene invariable a lo largo del tiempo, lo que implica que no hay aceleración.
A través de la resolución de estas preguntas y ejercicios, se desarrollará la habilidad para interpretar gráficos de posición-tiempo y velocidad-tiempo, así como para calcular magnitudes relevantes como la distancia recorrida, el tiempo transcurrido y la velocidad inicial o final.
Responde las siguientes preguntas:
Es una cantidad escalar que se obtiene del cociente de la distancia total recorrida y el tiempo empleado para realizarlo...
Selecciona una respuesta.
Es una cantidad vectorial que se obtiene del cociente del desplazamiento del objeto y el tiempo empleado para realizarlo...
Selecciona una respuesta.
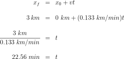
Un maratonista recorre 3 kilómetros a una velocidad constante de 8 kilómetros por hora. ¿Cuánto tiempo empleó el maratonista?
Selecciona una respuesta.
1 Identificamos los datos conocidos

2Verificamos que se tengan las mismas unidades. Notamos que la velocidad está dada en kilómetros por hora y los resultados en minutos, entonces la convertimos a kilómetros por minuto

3Sustituimos en la ecuación de posición con velocidad constante y despejamos el tiempo

Un maratonista se mueve a una velocidad constante de 10 kilómetros por hora. ¿Qué distancia recorre en un tiempo de 15 minutos?
Selecciona una respuesta.
1 Identificamos los datos conocidos

2Verificamos que se tengan las mismas unidades. Notamos que la velocidad está dada en kilómetros por hora y el tiempo empleado en minutos, entonces convertimos la velocidad a kilómetros por minuto

3Sustituimos en la ecuación de posición con velocidad constante

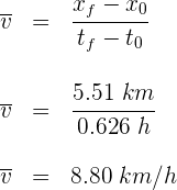
Un maratonista recorre 3 kilómetros a una velocidad constante de 8 kilómetros por hora. Al llegar a los 3 kilómetros, instantáneamente cambia a una velocidad de 10 kilómetros por hora y la matiene constante durante 15 minutos. ¿Cuál es la velocidad promedio del maratonista?
Selecciona una respuesta.
1 Necesitamos conocer la distancia total recorrida y el tiempo total empleado. Para esto, identificamos los datos conocidos para los primeros tres kilómetros

2Verificamos que se tengan las mismas unidades. Notamos que la velocidad está dada en kilómetros por hora y los resultados en minutos, entonces la convertimos a kilómetros por minuto

3Sustituimos en la ecuación de posición con velocidad constante y despejamos el tiempo

4 Identificamos los datos conocidos para la segunda parte del recorrido, considerando por simplicidad, que la posición inicial es cero

5Verificamos que se tengan las mismas unidades. Notamos que la velocidad está dada en kilómetros por hora y el tiempo empleado en minutos, entonces convertimos la velocidad a kilómetros por minuto

6Sustituimos en la ecuación de posición con velocidad constante

7Tenemos que el maratonista recorrió en total
, para lo que empleó un tiempo de
. Sustituimos en la ecuación de velocidad promedio

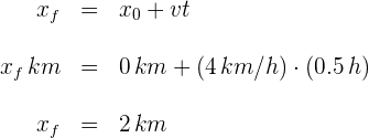
Una persona camina a la velocidad en kilómetros por hora indicada en la gráfica:

¿Que distancia recorre al cabo de 30 minutos?
Selecciona una respuesta.
1 De la gráfica observamos que se trata de una recta constante, por lo que

2 Identificamos los datos conocidos:

3 Convertimos los minutos a horas

4Sustituimos en la ecuación de velocidad constante

Así, la persona recorre
en 30 minutos.
Una partícula se mueve como se indica en la figura:

Si la posición se mide en metros y el tiempo en segundos, ¿cuál es la velocidad de la partícula?
Selecciona una respuesta.
1 De la gráfica observamos que la función de posición respecto al tiempo es una recta, por lo que la velocidad es constante
2 Cuando la velocidad es constante, esta es igual a la pendiente de la recta

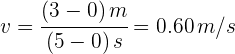
Una persona se mueve en línea recta a una velocidad constante de 3 m/s de un punto A a un punto B separados 20 metros entre si; al mismo tiempo una segunda persona se mueve del punto B al punto A a una velocidad constante de 4 m/s. ¿Cuánto tiempo habrá transcurrido hasta que ambas personas se encuentren?
Selecciona una respuesta.
1 Conviene representar gráficamente el problema. Para ello tenemos que establecer la dirección del movimiento siendo la positiva la dirección de la primera persona y negativa la de la segunda, de manera que el primero se encuentra al inicio en la posición cero y el segundo en la posición veinte

2 Como ambas personas se mueven a velocidad constante, la función de posición respecto al tiempo es una recta

La función de posición de la primera persona es

La función de posición de la segunda persona es

3 Ambas personas comienzan a moverse al mismo tiempo con sus respectivas velocidades hasta encontrarse. Notamos que al encontrarse, ambas posiciones son iguales

4Igualamos ambas funciones de velocidad constante y despejamos el tiempo

Así, ambas personas se encuentran después de 2.86 segundos.
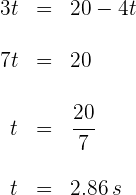
Una partícula se mueve a 5 m/s y una segunda partícula se mueve a 10 m/s. Si ambas partículas se mueven en la misma dirección con velocidad constante y coinciden en un punto A, ¿cuánto tiempo habrá transcurrido hasta que ambos se encuentren separados 6 metros de distancia entre si?
Selecciona una respuesta.
1 Conviene representar gráficamente el problema. Para ello tenemos que establecer la dirección del movimiento siendo la positiva la dirección horizontal hacia la derecha

2 Como ambas partículas se mueven a velocidad constante, la función de posición respecto al tiempo es una recta

La función de posición de la primera partícula es

La función de posición de la segunda partícula es

3 Ambas personas comienzan a moverse al mismo tiempo del punto A con sus respectivas velocidades hasta separarse 6 metros entre si

4Despejamos el tiempo

Así, ambas partículas se encuentran separadas 6 metros entre si, después de 1.2 segundos.
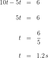
Dos partículas se encuentran al mismo tiempo en un punto A de una trayectoria recta. La primera se mueve a velocidad constante de 4 m/s y la segunda se mueve en dirección opuesta a 6 m/s. ¿Cuánto tiempo habrá transcurrido hasta que ambos se encuentren separados 10 metros entre si?
Selecciona una respuesta.
1 Conviene representar gráficamente el problema. Para ello tenemos que establecer la dirección del movimiento siendo la positiva la dirección de la primera partícula y negativa la de la segunda, de manera que ambas se encuentran en el punto A igual a la posición cero, a tiempo cero

2 Como ambas se mueven a velocidad constante, la función de posición respecto al tiempo es una recta

La función de posición de la primera partícula es

La función de posición de la segunda partícula es

3 Ambas partículas comienzan a moverse al mismo tiempo con sus respectivas velocidades hasta encontrarse 10 metros separadas entre si. Ambas distancias recorridas deben sumar 10 metros, pero la segunda se mueve en dirección negativa, por lo que

4Sustituimos las funciones de posición y despejamos el tiempo

Así, ambas partículas se encuentran separadas 10 metros entre si, a los 1 segundos de haber pasado por el punto A.
Si tienes dudas puedes consultar la teoría
Resumir con IA:

en el ejercicio 4 por que no pasas las unidades a SI ?
Hola nos da gusto que te beneficies de nuestro material, en cuanto a tu pregunta, no se cambio para dar diversidad a las resoluciones de los ejercicios, pues hay maestros y escuelas que manejan esas unidades y de esa manera se satisface el conocimiento de más personas.
Hola buenas. Tengo una corrección respecto al ejercicio 5. La aceleración fue calculada de forma correcta, sin embargo, al calcular la distancia se debe utilizar la ecuación de itinerario de la posición, en concreto:
X = Xo + Vo • t + (1/2) • a • t^2
Al utilizar esta ecuación, se considera el movimiento acelerado para el desplazamiento del automóvil, en t = 2 [h]. Al utilizar la ecuación que pusiste en la solución, consideras como velocidad final, los 75 [km/h], en lugar de la velocidad alcanzada realmente en t = 2[h], la cual se puede calcular utilizando la ecuación de velocidad.
V = Vo + a • t
Con t= 2 [h], esa V te da un valor de 45 [km/h]. Al utilizar ese valor en la ecuación que tu planteaste, te da el desplazamiento real, el cual te da un valor de 70 [km], lo cual también se obtiene con la ecuación de itinerario de posición:
X = Vo • t + (1/2) • a • t^2
X = (25 • 2) + ((1/2) • (10 • 2^2)) [km]
X = 70 [km]
Hola tienes razón, una disculpa ya se corrigió.
8. Dos vehículos salen al encuentro desde dos ciudades separadas por 300 km, con
velocidades de 60 km/h y 40 km/h, respectivamente. Si el que circula a 40 km/h sale dos
horas más tarde, responda a las siguientes preguntas: a) El tiempo que tardan en encontrarse.
b) La posición donde se encuentran.
a) Tiempo hasta encontrarse:
Vehículo 1: 3,8 horas ≈ 3 h 48 min
Vehículo 2: 1,8 horas ≈ 1 h 48 min
b) Posición del encuentro:
A 228 km de la ciudad de salida del vehículo 1
A 72 km de la ciudad de salida del vehículo 2
En el problema siete está mal la unidad de medida de la aceleración, está se mide en m/s^2 no en m^2
Hola, una disculpa por el error ya se corrigió.
Trayectoria de un objeto lanzado
Un balón es llazando ª 30
Con una velocidad inicial de 15 m/s graficar su trayectoria en el plano Xy usando geogebra o tracker