En este conjunto de ejercicios interactivos de tiro parabólico, exploraremos diversos escenarios de tiro parabólico sin resistencia del aire, abordando variaciones en las condiciones iniciales y analizando cómo estas afectan la trayectoria del proyectil.
A través de la resolución de estos ejercicios, desarrollarás habilidades en el manejo de la cinemática, el cálculo vectorial y la aplicación de principios físicos a situaciones del mundo real.
Responde las siguientes preguntas:
1 Los problemas de tiro parabólico se consideran como...
Los problemas de tiro parabólico se resuelven empleando las fórmulas de cinemática en dos dimensiones, por lo que se pueden considerar como dos movimientos en una dimensión independientes entre si.
2En el tiro parabólico, el movimiento vertical es...
En el tiro parabólico, el movimiento vertical tiene como aceleración a la gravedad; por tanto la aceleración es constante y se trata de un problema de movimiento rectilíneo uniformemente acelerado.
3En el tiro parabólico, el movimiento horizontal es...
1En el tiro parabólico, el movimiento horizontal no es afectado por la gravedad y su aceleración es cero; por tanto se trata de un problema de movimiento rectilíneo uniforme.
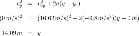
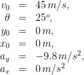
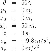
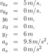
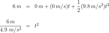
4Un jugador de la NFL realiza un despeje con velocidad inicial de
con un ángulo de
respecto al suelo. La altura máxima que alcanza el balón es...
1 La altura máxima del proyectil se encuentra con la parte vertical del movimiento

Establecemos las direcciones hacia arriba y a la derecha como positivas; con ello, la aceleración vertical es
. La aceleración horizontal siempre es cero, por lo que la velocidad horizontal es constante.
2 Indicamos los datos conocidos

3 Calculamos las componentes horizontal y vertical de la velocidad inicial

4Notamos que al alcanzar su altura máxima

5Como en la parte vertical del movimiento la aceleración es constante, se tiene un problema de MRUA, por ello empleamos la fórmula

Así, la altura máxima es de 14.09 metros. Como en la NFL la unidad de medida empleada son las yardas, convertimos los 14.09 metros a yardas, obteniendo 15.41 yardas.
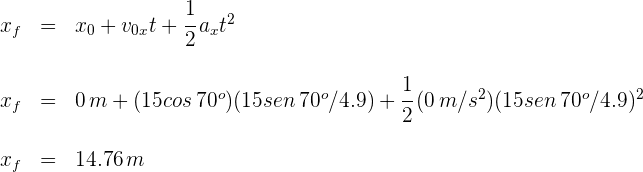
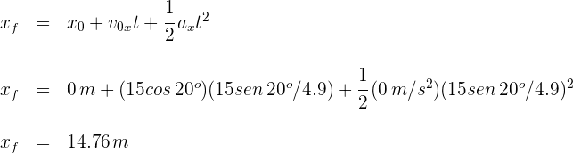
5Se dispara un proyectil desde el nivel del suelo con un ángulo de
con respecto al suelo. Si la velocidad inicial del proyectil es
, entonces su alcance horizontal es...
1Establecemos las direcciones hacia arriba y a la derecha como positivas; con ello, la aceleración vertical es
. La aceleración horizontal siempre es cero, por lo que la velocidad horizontal es constante.

2 Indicamos los datos conocidos

3 Calculamos las componentes horizontal y vertical de la velocidad inicial

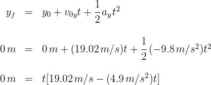
4Para encontrar el alcance horizontal, primero debemos conocer el tiempo de vuelo, para lo cual notamos que la posición vertical inicial es igual a la psición vertical final

5Como en la parte vertical del movimiento la aceleración es constante, se tiene un problema de MRUA, por ello sustituimos los datos conocidos en la fórmula

de donde se obtiene
y
segundos, que corresponden a las posiciones inicial y final del balón, respectivamente.
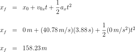
6Para encontrar el alcance horizontal, empleamos

6Un jugador de futbol se encuentra a 50 metros de uno de sus compañeros de equipo. Si el jugador golpea el balón a
con respecto al suelo y el balón tarda 3 segundos en llegar. La velocidad a la que golpea el balón es...
1Establecemos las direcciones hacia arriba y a la derecha como positivas; con ello, la aceleración vertical es
. La aceleración horizontal siempre es cero, por lo que la velocidad horizontal es constante.

2 Indicamos los datos conocidos

3 Expresamos en términos de
las componentes horizontal y vertical de la velocidad inicial

4Como en la parte horizontal del movimiento la aceleración es cero, la velocidad es constante y se tiene un problema de MRU, por ello sustituimos los datos conocidos en la fórmula

de donde se obtiene
.
7Se disparan dos proyectiles desde el suelo, ambas con velocidad inicial de
y ángulos de
y
. Los alcances de ambos proyectiles son...
1Para encontrar el alcance se requiere el tiempo de vuelo. Para el primer proyectil se tiene

de donde se obtiene
y
segundos, que corresponden a las posiciones inicial y final del balón, respectivamente.
Para el segundo proyectil se tiene

de donde se obtiene
y
segundos, que corresponden a las posiciones inicial y final del balón, respectivamente.
2El alcance horizontal del primer proyectil

El alcance horizontal del segundo proyectil

Luego, ambos alcances horizontales son iguales. De hecho, los alcances de cualesquiera dos ángulos complementarios son iguales.
8Una bala se dispara horizontalmente a 2 metros sobre el nivel del suelo. Si la velocidad inicial de la bala es
. La distancia que recorre la bala es...
1Establecemos las direcciones hacia abajo y a la derecha como positivas; con ello, la aceleración vertical es
. La aceleración horizontal siempre es cero, por lo que la velocidad horizontal es constante.

2 Indicamos los datos conocidos

3 Para calcular el tiempo de vuelo, usamos la fórmula

4Sustituimos los datos conocidos

de donde se obtiene
y
segundos. Elegimos el tiempo positivo, ya que no tiene sentido el tiempo negativo.
5 Para calcular la distancia que recorre la bala, usamos la fórmula

9Un objeto se lanza horizontalmente a
desde una altura de 6 metros respecto al suelo. El tiempo de desplazamiento del objeto es...
1Establecemos las direcciones hacia abajo y a la derecha como positivas; con ello, la aceleración vertical es
. La aceleración horizontal siempre es cero, por lo que la velocidad horizontal es constante.

2 Indicamos los datos conocidos

3 Para calcular el tiempo de vuelo, usamos la fórmula

4Sustituimos los datos conocidos

de donde se obtiene
y
segundos. Elegimos el tiempo positivo, ya que no tiene sentido el tiempo negativo.
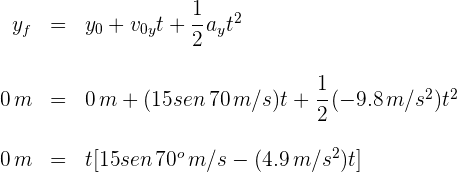
10Una pelota se lanza a
y a un ángulo de
respecto a la horizontal. La altura máxima alcanzada por la pelota es...
1Establecemos las direcciones hacia arriba y a la derecha como positivas; con ello, la aceleración vertical es
. La aceleración horizontal siempre es cero, por lo que la velocidad horizontal es constante.

2 Indicamos los datos conocidos

3 Para calcular la altura máxima notamos que
y usamos la fórmula

4Sustituimos los datos conocidos

de donde se obtiene
.
Si tienes dudas puedes consultar la teoría

Hola buenas. Tengo una corrección respecto al ejercicio 5. La aceleración fue calculada de forma correcta, sin embargo, al calcular la distancia se debe utilizar la ecuación de itinerario de la posición, en concreto:
X = Xo + Vo • t + (1/2) • a • t^2
Al utilizar esta ecuación, se considera el movimiento acelerado para el desplazamiento del automóvil, en t = 2 [h]. Al utilizar la ecuación que pusiste en la solución, consideras como velocidad final, los 75 [km/h], en lugar de la velocidad alcanzada realmente en t = 2[h], la cual se puede calcular utilizando la ecuación de velocidad.
V = Vo + a • t
Con t= 2 [h], esa V te da un valor de 45 [km/h]. Al utilizar ese valor en la ecuación que tu planteaste, te da el desplazamiento real, el cual te da un valor de 70 [km], lo cual también se obtiene con la ecuación de itinerario de posición:
X = Vo • t + (1/2) • a • t^2
X = (25 • 2) + ((1/2) • (10 • 2^2)) [km]
X = 70 [km]
Hola tienes razón, una disculpa ya se corrigió.
8. Dos vehículos salen al encuentro desde dos ciudades separadas por 300 km, con
velocidades de 60 km/h y 40 km/h, respectivamente. Si el que circula a 40 km/h sale dos
horas más tarde, responda a las siguientes preguntas: a) El tiempo que tardan en encontrarse.
b) La posición donde se encuentran.
En el problema siete está mal la unidad de medida de la aceleración, está se mide en m/s^2 no en m^2
Hola, una disculpa por el error ya se corrigió.
5.- Dos motocicletas están separadas una distancia de 2 km. La primera se mueve a
velocidad (constante) de 25 m·s-1. La segunda, parte de parado con una aceleración
constante de 3 m·s-2. Calcule:
a) Cuanto tiempo tardarán en encontrase, si una va en dirección opuesta a la otra.
b) Si las dos van en la misma dirección, ¿cuánto tiempo tardará la segunda
moticicleta en pillar a la primera?
c) En este último caso, ¿en qué punto la pillará?
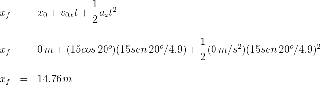
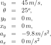
Trayectoria de un objeto lanzado
Un balón es llazando ª 30
Con una velocidad inicial de 15 m/s graficar su trayectoria en el plano Xy usando geogebra o tracker