El Movimiento Rectilíneo Uniforme (MRU) es un tipo de movimiento en el que un objeto se desplaza en línea recta con velocidad constante. En este contexto, la velocidad se mantiene invariable a lo largo del tiempo, lo que implica que no hay aceleración. Este concepto fundamental en la cinemática nos permite comprender y analizar el comportamiento de los objetos en movimiento rectilíneo bajo condiciones específicas.
Para profundizar en la comprensión de este fenómeno, hemos preparado una serie de ejercicios resueltos que abarcan diferentes aspectos del MRU. Estos problemas proporcionarán la oportunidad de aplicar las fórmulas y conceptos asociados con el MRU, como la relación entre posición, velocidad y tiempo.
Estos ejercicios resueltos buscan proporcionar una herramienta efectiva para consolidar los conocimientos adquiridos en el estudio del MRU, así como para mejorar las habilidades de resolución de problemas relacionados con este tipo de movimiento. ¡Adelante, sumérgete en el mundo del Movimiento Rectilíneo Uniforme y fortalece tus habilidades en cinemática!
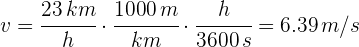
En el Gran Premio de España Carlos Sainz toma una recta a
. Si la recta es de
, ¿cuántos segundos le tomó recorrerla?
1 Identificamos los datos conocidos

2Verificamos que se tengan las mismas unidades. Notamos que la velocidad está dada en kilómetros por hora, entonces la convertimos a metros por segundo

3Sustituimos en la ecuación de velocidad promedio

Así, el tiempo requerido es de
.
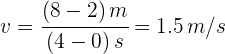
Un ciclista se mueve en línea recta con una rapidez de
. ¿Cuántos metros recorre en 10 segundos?
1 Identificamos los datos conocidos

2Verificamos que se tengan las mismas unidades. Notamos que la velocidad está dada en kilómetros por hora, entonces la convertimos a metros por segundo

3Sustituimos en la ecuación de rapidez promedio

Así, el ciclista recorre
.
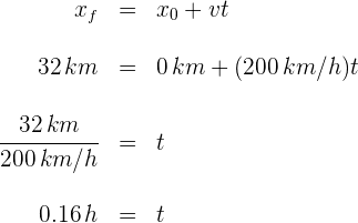
Un automóvil pasa por una zona escolar, por lo que disminuye su velocidad a
. Si tarda 5 segundos en pasar la zona escolar sin cambiar su velocidad, ¿cuántos metros recorre en este tiempo?
1 Identificamos los datos conocidos: Al no cambiar la velocidad significa que se mueve a velocidad constante. Al inicio de la zona escolar la posición inicial es cero y buscamos la posición final

2Verificamos que se tengan las mismas unidades. Notamos que la velocidad está dada en kilómetros por hora, entonces la convertimos a metros por segundo

3Sustituimos en la ecuación de velocidad constante

Así, el automóvil recorre
en 5 segundos.
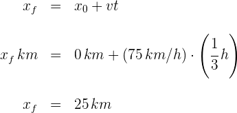
Un tren de alta velocidad viaja a
sin cambiar su velocidad. ¿Cuánto tiempo emplea en recorrer 32 kilómetros?
1 Como el tren no cambia de velocidad, entonces su rapidez y dirección no cambian, por lo que se trata de un problema de movimiento rectilíneo uniforme.
2 Identificamos los datos conocidos:

3Sustituimos en la ecuación de velocidad constante

Así, el tren recorre
en 0.16 horas que es lo mismo que 9.6 minutos.
La velocidad de un automóvil con respecto al tiempo se representa en la siguiente gráfica

Si la velocidad está dada en kilómetros por hora y el tiempo en horas, ¿cuál es la velocidad del automóvil y que distancia recorre en un tiempo de 20 minutos?
1 De la gráfica observamos que se trata de una recta constante, por lo que

2 Identificamos los datos conocidos:

3 Convertimos los minutos a horas

4Sustituimos en la ecuación de velocidad constante

Así, el automóvil recorre
en 20 minutos.
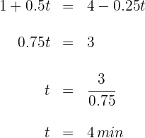
La función de posición en metros de una persona caminando se representa en la siguiente gráfica

Si el tiempo se mide en segundos, ¿cuál es la velocidad de la persona?
1 De la gráfica observamos que la función de posición respecto al tiempo es una recta, por lo que la velocidad es igual a la pendiente de la recta

2 Otra manera de resolver el problema consiste en recordar que cuando la función de posición respecto al tiempo es una recta, entonces la velocidad es constante. Luego utilizamos la fórmula

3 Identificamos los datos conocidos:

4Sustituimos en la ecuación de velocidad constante

Así, la velocidad de la persona es de
.
La función de posición en metros de dos personas corriendo en un mismo camino se representa en la siguiente gráfica

Si el tiempo se mide en minutos y la posición en kilómetros, ¿qué representan ambas gráfica?, ¿en qué tiempo se encuentran ambas personas ?
1 De la gráfica de
observamos que la función de posición respecto al tiempo es una recta, por lo que la velocidad es igual a la pendiente de la recta, la cual es constante, por lo que estamos en un caso de movimiento rectilíneo uniforme

De manera similar, de la gráfica de
observamos que la función de posición respecto al tiempo es una recta, por lo que la velocidad es igual a la pendiente de la recta, la cual es constante, por lo que estamos en un caso de movimiento rectilíneo uniforme

2 Establecemos un sistema de posición, siendo el movimiento de este a oeste positiva y de oeste a este negativa. Entonces la primera persona se mueve de este a oeste 3 kilómetros durante 6 minutos, mientras que la segunda persona se encuentra a 3 kilómetros al oeste de la primera y recorre 1.5 kilómetros en 6 minutos
3 Ambas personas comienzan a moverse al mismo tiempo con sus respectivas velocidades hasta encontrarse. Notamos que al encontrarse, ambas posiciones son iguales

4Igualamos ambas funciones de velocidad constante y despejamos el tiempo

Así, ambas personas se encuentra después de 4 minutos de iniciar a correr.
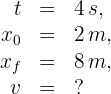
Dos automóviles se encuentran al mismo tiempo en extremos opuestos de un camino recto de 60 kilómetros. El primer automóvil se mueve a velocidad constante de 90 km/h y el segundo a 75 km/h. ¿Cuánto tiempo habrá transcurrido hasta que ambos se encuentren?, ¿qué distancia habrá recorrido cada uno?
1 Conviene representar gráficamente el problema. Para ello tenemos que establecer la dirección del movimiento siendo la positiva la dirección del primer automóvil y negativa la del segundo, de manera que el primero se encuentra al inicio en la posición cero y el segundo en la posición sesenta

2 Como ambos se mueven a velocidad constante, la gráfica de posición respecto al tiempo es una recta

La función de posición del primer automóvil es

La función de posición del segundo automóvil es

3 Ambos automóviles comienzan a moverse al mismo tiempo con sus respectivas velocidades hasta encontrarse. Notamos que al encontrarse, ambas posiciones son iguales

4Igualamos ambas funciones de velocidad constante y despejamos el tiempo

Así, ambos automóviles se encuentran después de 0.36 horas que es lo mismo que 21.6 minutos.
5La distancia recorrida por el primer automóvil es

La distancia recorrida por el segundo automóvil es

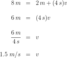
Una persona que camina a 3 km/h pasa por un punto A; 5 minutos después una segunda persona pasa por el punto A a 5 km/h. Si ambas personas se mueven a velocidad constante y en la misma dirección, ¿cuánto tiempo habrá transcurrido hasta que ambos se encuentren?
1 Conviene representar gráficamente el problema.

2 Convertimos a las mismas unidades, para esto las velocidades las cambiamos a kilómetros por minuto


3 Como ambos se mueven a velocidad constante, la gráfica de posición respecto al tiempo es una recta. Consideramos el punto A como la posición inicial cero

La función de posición de la primera persona es

La función de posición de la segunda persona es

4 Como la segunda persona pasa por A después de 5 minutos de haber pasado la primera persona por el mismo punto, tenemos que
.
Si
es el tiempo que tarda la segunda persona en alcanzar a la primera, esta habrá empleado 5 minutos más que la segunda, por lo que tenemos

5Igualamos ambas funciones y despejamos el tiempo

Así, ambas personas se encuentran después de 8.33 minutos.
Dos motocicletas se encuentran al mismo tiempo en un punto A de un camino recto. El primero se mueve a velocidad constante de 90 km/h y el segundo se mueve en dirección opuesta a 60 km/h. ¿Cuánto tiempo habrá transcurrido hasta que ambos se encuentren separados 20 kilómetros entre si?
1 Conviene representar gráficamente el problema. Para ello tenemos que establecer la dirección del movimiento siendo la positiva la dirección del primer motociclista y negativa la del segundo, de manera que ambos se encuentran en el punto A igual a la posición cero, a tiempo cero

2 Como ambos se mueven a velocidad constante, la gráfica de posición respecto al tiempo es una recta

La función de posición de la primera motocicleta es

La función de posición de la segunda motocicleta es

3 Ambas motocicletas comienzan a moverse al mismo tiempo con sus respectivas velocidades hasta encontrarse 20 kilómetros separadas entre si. Ambas distancias recorridas deben sumar 20 kilómetros, pero la segunda se mueve en dirección negativa, por lo que

4Sustituimos las funciones de posición y despejamos el tiempo

Así, ambas motocicletas se encuentran separadas 20 kilómetros entre si, a los 0.1333 horas de haber pasado por el punto A, que es lo mismo que 8 minutos.
Si tienes dudas, aquí puedes consultar la teoría.
Resumir con IA:

en el ejercicio 4 por que no pasas las unidades a SI ?
Hola nos da gusto que te beneficies de nuestro material, en cuanto a tu pregunta, no se cambio para dar diversidad a las resoluciones de los ejercicios, pues hay maestros y escuelas que manejan esas unidades y de esa manera se satisface el conocimiento de más personas.
Hola buenas. Tengo una corrección respecto al ejercicio 5. La aceleración fue calculada de forma correcta, sin embargo, al calcular la distancia se debe utilizar la ecuación de itinerario de la posición, en concreto:
X = Xo + Vo • t + (1/2) • a • t^2
Al utilizar esta ecuación, se considera el movimiento acelerado para el desplazamiento del automóvil, en t = 2 [h]. Al utilizar la ecuación que pusiste en la solución, consideras como velocidad final, los 75 [km/h], en lugar de la velocidad alcanzada realmente en t = 2[h], la cual se puede calcular utilizando la ecuación de velocidad.
V = Vo + a • t
Con t= 2 [h], esa V te da un valor de 45 [km/h]. Al utilizar ese valor en la ecuación que tu planteaste, te da el desplazamiento real, el cual te da un valor de 70 [km], lo cual también se obtiene con la ecuación de itinerario de posición:
X = Vo • t + (1/2) • a • t^2
X = (25 • 2) + ((1/2) • (10 • 2^2)) [km]
X = 70 [km]
Hola tienes razón, una disculpa ya se corrigió.
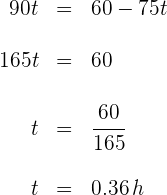
8. Dos vehículos salen al encuentro desde dos ciudades separadas por 300 km, con
velocidades de 60 km/h y 40 km/h, respectivamente. Si el que circula a 40 km/h sale dos
horas más tarde, responda a las siguientes preguntas: a) El tiempo que tardan en encontrarse.
b) La posición donde se encuentran.
a) Tiempo hasta encontrarse:
Vehículo 1: 3,8 horas ≈ 3 h 48 min
Vehículo 2: 1,8 horas ≈ 1 h 48 min
b) Posición del encuentro:
A 228 km de la ciudad de salida del vehículo 1
A 72 km de la ciudad de salida del vehículo 2
En el problema siete está mal la unidad de medida de la aceleración, está se mide en m/s^2 no en m^2
Hola, una disculpa por el error ya se corrigió.
Trayectoria de un objeto lanzado
Un balón es llazando ª 30
Con una velocidad inicial de 15 m/s graficar su trayectoria en el plano Xy usando geogebra o tracker