Los ejercicios de caída libre constituyen una herramienta esencial en el estudio de la física, ya que permiten explorar y aplicar los principios de la cinemática en un contexto simple pero crucial.
En estos ejercicios, se abordarán situaciones diversas, desde caídas desde alturas variadas hasta lanzamientos verticales ascendentes y descendentes. Se emplearán ecuaciones específicas y principios fundamentales para analizar cómo diferentes condiciones iniciales afectan el comportamiento de los objetos en caída libre.
Responde las siguientes preguntas:
1 Si la dirección positiva se establece hacia arriba, entonces la aceleración es...
1 Sabemos que la aceleración en caida libre es igual a la gravedad, la cual tiene dirección perpendicular a la superficie terrestre
2Como la dirección positiva se estableció hacia arriba, que es contraria a la dirección de la gravedad, entonces la aceleración es negativa.
2En el tiro vertical hacia arriba, la velocidad que alcanza el proyectil en el punto más alto es ...
1 En el tiro vertical hacia arriba, cuando el proyectil alcanza su altura máxima deja de moverse, por lo que su velocidad en esta posición es cero
3En caida libre la aceleración es...
1 En caida libre la aceleración es igual la gravedad, la cual es constante, por ello se concluye que la aceleración también lo es.
4Una piedra se lanza verticalmente hacia abajo desde la parte superior de un acantilado. Si recorre 19.6 metros en 2 segundos, entonces su velocidad inicial es...
1 Elegimos la dirección hacia abajo como positiva

2 Indicamos los datos conocidos

3Al tratarse de caida libre, la aceleración es igual a la gravedad
, la cual es positiva ya que elegimos al inicio que la dirección hacia abajo es positiva
4Como la aceleración es constante, se tiene un problema de MRUA, por ello empleamos la fórmula

5Sustituimos los datos conocidos

5Se deja caer una pelota desde la parte más alta de un edificio. Su velocidad después de un segundo es...
1 Como se deja caer la pelota, su velocidad inicial es cero.
2Al ser un problema de caida libre la aceleración es igual a la gravedad.
3La velocidad inicial aumenta
cada segundo que transcurre. Así, la velocidad de la pelota después de 1 segundo es 
6Se lanza una pelota verticalmente hacia arriba y tres segundos después alcanza una velocidad de
. La velocidad inicial de la pelota es...
1 Elegimos la dirección hacia arriba como positiva

2 Indicamos los datos conocidos

3Al tratarse de caida libre, la aceleración es igual a la gravedad
, la cual es negativa ya que elegimos al inicio que la dirección hacia arriba es positiva
4Como la aceleración es constante, se tiene un problema de MRUA, por ello empleamos la fórmula

5Sustituyendo los valores conocidos, se obtiene

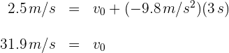
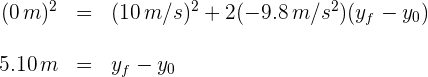
7Una pelota se lanza verticalmente hacia arriba a una velocidad de
. La distancia recorrida desde el inicio hasta el punto más alto de su recorrido es...
1 Elegimos la dirección hacia arriba como positiva y notamos que en el punto más alto su velocidad es cero.

2 Indicamos los datos conocidos

3Al tratarse de caida libre, la aceleración es igual a la gravedad
, la cual es negativa ya que elegimos al inicio que la dirección hacia arriba es positiva
4Como la aceleración es constante, se tiene un problema de MRUA, por ello empleamos la fórmula

5Sustituimos los datos conocidos

La pelota recorre 5.10 metros desde su inicio hasta su punto más alto.
8Un objeto se deja caer verticalmente hacia abajo y llega al piso con una velocidad de
. El tiempo empleado para su recorrido es...
1 Elegimos la dirección hacia abajo como positiva y notamos que la velocidad inicial es cero

2 Indicamos los datos conocidos

3Al tratarse de caida libre, la aceleración es igual a la gravedad
, la cual es positiva ya que elegimos al inicio que la dirección hacia abajo es positiva
4Como la aceleración es constante, se tiene un problema de MRUA, por ello empleamos la fórmula

5Sustituimos los datos conocidos

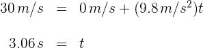
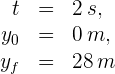
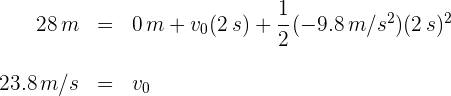
9Un objeto se lanza verticalmente hacia arriba desde el suelo. Si alcanza una altura de 28 metros en 2 segundos. La velocidad inicial del objeto es...
1 Elegimos la dirección hacia arriba como positiva

2 Indicamos los datos conocidos

3Al tratarse de caida libre, la aceleración es igual a la gravedad
, la cual es negativa ya que elegimos al inicio que la dirección hacia arriba es positiva
4Como la aceleración es constante, se tiene un problema de MRUA, por ello empleamos la fórmula

5Sustituimos los datos conocidos

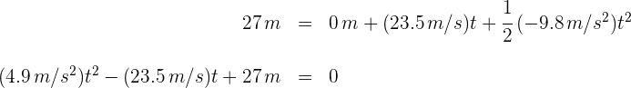
10Una pelota se lanza verticalmente hacia arriba desde el suelo a una velocidad de
. La pelota alcanza una altura de 27 metros en...
1 Elegimos la dirección hacia arriba como positiva

2 Indicamos los datos conocidos

3Al tratarse de caida libre, la aceleración es igual a la gravedad
, la cual es negativa ya que elegimos al inicio que la dirección hacia arriba es positiva
4Como la aceleración es constante, se tiene un problema de MRUA, por ello empleamos la fórmula

5Sustituimos los datos conocidos

Utilizando la fórmula cuadrática obtenemos
y
que corresponde al tiempo en que va subiendo y bajando respectivamente.
Si tienes dudas puedes consultar la teoría

Hola buenas. Tengo una corrección respecto al ejercicio 5. La aceleración fue calculada de forma correcta, sin embargo, al calcular la distancia se debe utilizar la ecuación de itinerario de la posición, en concreto:
X = Xo + Vo • t + (1/2) • a • t^2
Al utilizar esta ecuación, se considera el movimiento acelerado para el desplazamiento del automóvil, en t = 2 [h]. Al utilizar la ecuación que pusiste en la solución, consideras como velocidad final, los 75 [km/h], en lugar de la velocidad alcanzada realmente en t = 2[h], la cual se puede calcular utilizando la ecuación de velocidad.
V = Vo + a • t
Con t= 2 [h], esa V te da un valor de 45 [km/h]. Al utilizar ese valor en la ecuación que tu planteaste, te da el desplazamiento real, el cual te da un valor de 70 [km], lo cual también se obtiene con la ecuación de itinerario de posición:
X = Vo • t + (1/2) • a • t^2
X = (25 • 2) + ((1/2) • (10 • 2^2)) [km]
X = 70 [km]
Hola tienes razón, una disculpa ya se corrigió.
8. Dos vehículos salen al encuentro desde dos ciudades separadas por 300 km, con
velocidades de 60 km/h y 40 km/h, respectivamente. Si el que circula a 40 km/h sale dos
horas más tarde, responda a las siguientes preguntas: a) El tiempo que tardan en encontrarse.
b) La posición donde se encuentran.
En el problema siete está mal la unidad de medida de la aceleración, está se mide en m/s^2 no en m^2
Hola, una disculpa por el error ya se corrigió.
5.- Dos motocicletas están separadas una distancia de 2 km. La primera se mueve a
velocidad (constante) de 25 m·s-1. La segunda, parte de parado con una aceleración
constante de 3 m·s-2. Calcule:
a) Cuanto tiempo tardarán en encontrase, si una va en dirección opuesta a la otra.
b) Si las dos van en la misma dirección, ¿cuánto tiempo tardará la segunda
moticicleta en pillar a la primera?
c) En este último caso, ¿en qué punto la pillará?
Trayectoria de un objeto lanzado
Un balón es llazando ª 30
Con una velocidad inicial de 15 m/s graficar su trayectoria en el plano Xy usando geogebra o tracker