¡Bienvenidos al fascinante mundo de los ejercicios de movimiento circular uniformemente acelerado (MCUA)! En esta serie de problemas, exploraremos situaciones en las que un objeto se mueve en una trayectoria circular con una aceleración constante. Este tipo de movimiento nos permite aplicar conceptos fundamentales de la cinemática y la dinámica a situaciones rotacionales.
En estos ejercicios, nos sumergiremos en la descripción del movimiento circular uniformemente acelerado a través de fórmulas específicas y relaciones clave. Profundizaremos en conceptos como la velocidad angular, la aceleración angular, el radio de la trayectoria circular y el tiempo, para comprender mejor cómo se relacionan entre sí y cómo afectan el movimiento global.
Una partícula gira a 8 revoluciones por segundo. Determina su velocidad angular.
Sabemos que 1 revolución es igual a
radianes, por lo que para encontrar la velocidad angular solamente se requiere una conversión de unidades

Así, la velocidad angular es 
Una rueda efectua 200 revoluciones. ¿Cuál es su desplazamiento angular?
Sabemos que 1 revolución es igual a
radianes, por lo que para encontrar el desplazamiento angular solamente se requiere una conversión de unidades

Así, el desplazamiento angular es 
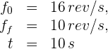
Una rueda gira a
y en 10 segundos pasa a
. ¿Cuál es la aceleración angular?
1 Los datos conocidos son:

2 A partir de las frecuencias obtenemos las velocidades angulares

3 Para obtener la aceleración angular utilizamos la fórmula

4 Sustituimos los datos conocidos en la fórmula y obtenemos

Esto significa que cada segundo, la velocidad angular disminuye 
Una rueda inicialmente gira a
hasta detenerse. Si su aceleración angular es
. ¿Cuánto tiempo emplea para detenerse?
1 Los datos conocidos son:

2 A partir de las frecuencias obtenemos las velocidades angulares

3 Para obtener el tiempo, utilizamos la fórmula

4 Sustituimos los datos conocidos en la fórmula y obtenemos

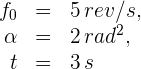
Una partícula inicialmente gira a
y acelera a
. ¿Cuál es su velocidad angular a los 3 segundos?
1 Los datos conocidos son:

2 A partir de las frecuencias obtenemos la velocidad angular inicial

3 Para obtener la velocidad angular final, utilizamos la fórmula

4 Sustituimos los datos conocidos en la fórmula y obtenemos

Una rueda tiene aceleración angular de
. Si a los 12 segundos gira a
. ¿A cuántas revoluciones por segundo giraba inicialmente?
1 Los datos conocidos son:

2 A partir de las frecuencias obtenemos la velocidad angular final

3 Para obtener la velocidad angular inicial, utilizamos la fórmula

4 Sustituimos los datos conocidos en la fórmula y obtenemos

5 A partir de la velocidad angular inicial, obtenemos la frecuencia inicial

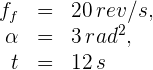
Una rueda que gira a
recibe durante 5 segundos una aceleración constante de
. ¿Cuál es su desplazamiento angular?
1 Los datos conocidos son:

2 A partir de las frecuencias obtenemos la velocidad angular inicial

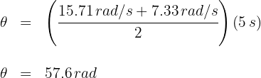
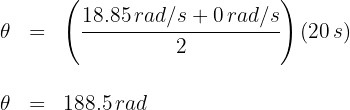
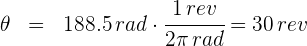
3 Para obtener el desplazamiento angular, utilizamos la fórmula

4 Sustituimos los datos conocidos en la fórmula y obtenemos

Las aspas de una licuadora giran a
y al cambiar de velocidad, frena uniformemente a
mientras efectua 200 revoluciones. ¿Cuál es la aceleración angular?
1 Los datos conocidos son:

2 A partir de las frecuencias obtenemos las velocidades angulares y el desplazamiento en radianes

3 Para obtener la aceleración angular, utilizamos la fórmula

4 Sustituimos los datos conocidos en la fórmula y obtenemos

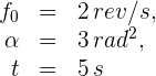
Una rueda gira a
y acelera constantemente hasta tener
en 5 segundos. ¿Cuál es su desplazamiento angular?
1 Los datos conocidos son:

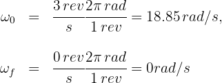
2 A partir de las frecuencias obtenemos las velocidades angulares y el desplazamiento en radianes

3 Para obtener el desplazamiento angular, utilizamos la fórmula

4 Sustituimos los datos conocidos en la fórmula y obtenemos

Una rueda de bicicleta gira a
y comienza a detenerse uniformemente hasta el reposo en 20 segundos. ¿Cuál es el número de revoluciones de la rueda?
1 Los datos conocidos son:

2 A partir de las frecuencias obtenemos las velocidades angulares y el desplazamiento en radianes

3 Para obtener el desplazamiento angular, utilizamos la fórmula

4 Sustituimos los datos conocidos en la fórmula y obtenemos

5 Las revoluciones de la rueda son

Resumir con IA:

en el ejercicio 4 por que no pasas las unidades a SI ?
Hola nos da gusto que te beneficies de nuestro material, en cuanto a tu pregunta, no se cambio para dar diversidad a las resoluciones de los ejercicios, pues hay maestros y escuelas que manejan esas unidades y de esa manera se satisface el conocimiento de más personas.
Hola buenas. Tengo una corrección respecto al ejercicio 5. La aceleración fue calculada de forma correcta, sin embargo, al calcular la distancia se debe utilizar la ecuación de itinerario de la posición, en concreto:
X = Xo + Vo • t + (1/2) • a • t^2
Al utilizar esta ecuación, se considera el movimiento acelerado para el desplazamiento del automóvil, en t = 2 [h]. Al utilizar la ecuación que pusiste en la solución, consideras como velocidad final, los 75 [km/h], en lugar de la velocidad alcanzada realmente en t = 2[h], la cual se puede calcular utilizando la ecuación de velocidad.
V = Vo + a • t
Con t= 2 [h], esa V te da un valor de 45 [km/h]. Al utilizar ese valor en la ecuación que tu planteaste, te da el desplazamiento real, el cual te da un valor de 70 [km], lo cual también se obtiene con la ecuación de itinerario de posición:
X = Vo • t + (1/2) • a • t^2
X = (25 • 2) + ((1/2) • (10 • 2^2)) [km]
X = 70 [km]
Hola tienes razón, una disculpa ya se corrigió.
8. Dos vehículos salen al encuentro desde dos ciudades separadas por 300 km, con
velocidades de 60 km/h y 40 km/h, respectivamente. Si el que circula a 40 km/h sale dos
horas más tarde, responda a las siguientes preguntas: a) El tiempo que tardan en encontrarse.
b) La posición donde se encuentran.
a) Tiempo hasta encontrarse:
Vehículo 1: 3,8 horas ≈ 3 h 48 min
Vehículo 2: 1,8 horas ≈ 1 h 48 min
b) Posición del encuentro:
A 228 km de la ciudad de salida del vehículo 1
A 72 km de la ciudad de salida del vehículo 2
En el problema siete está mal la unidad de medida de la aceleración, está se mide en m/s^2 no en m^2
Hola, una disculpa por el error ya se corrigió.
Trayectoria de un objeto lanzado
Un balón es llazando ª 30
Con una velocidad inicial de 15 m/s graficar su trayectoria en el plano Xy usando geogebra o tracker