El movimiento circular uniforme (MCU) es un tipo especial de movimiento en el que un objeto se desplaza alrededor de un punto fijo con una velocidad constante y una trayectoria circular. En este tipo de movimiento, la magnitud de la velocidad no cambia, pero la dirección de la velocidad está constantemente cambiando, lo que da como resultado un movimiento continuo alrededor de un círculo.
Para comprender mejor los conceptos asociados con el MCU, es esencial realizar una serie de ejercicios que aborden aspectos clave como la velocidad angular, la aceleración centrípeta, el periodo y la frecuencia. A través de la resolución de estos ejercicios, podrás profundizar su comprensión teórica y desarrollar habilidades prácticas relacionadas con el movimiento circular uniforme.
Una partícula gira en un círculo horizontal, realizando dos revoluciones completas por segundo. Determina el periodo de la partícula.
El periodo
es el tiempo para completar una revolución (vuelta) de la partícula en el círculo
Como la partícula realiza dos revoluciones por segundo, entonces una revolución es realizada en 0.5 segundos.
Así, el periodo es 
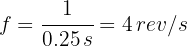
Una partícula que gira en un círculo horizontal, tiene periodo de 0.25 segundos. Calcula su frecuencia de rotación.
La frecuencia de rotación
es el recíproco del periodo

Así, la frecuencia de rotación es

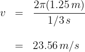
Un cuerpo se hace girar en un círculo horizontal por medio de una cuerda de 1.25 metros de longitud. Si el cuerpo tiene periodo 1/3 de segundo, ¿Cuál es su rapidez lineal?
1 Los datos conocidos son:

2 Para calcular la velocidad lineal, empleamos la fórmula

3 Sustituimos los datos conocidos en la fórmula y obtenemos

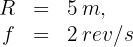
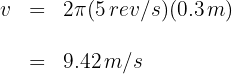
Un objeto se mueve en una pista circular de radio 5 metros y frecuencia de 2 revoluciones por segundo. Encuentra la velocidad lineal.
1 Los datos conocidos son:

2 Para calcular la velocidad lineal, empleamos la fórmula

3 Sustituimos los datos conocidos en la fórmula y obtenemos

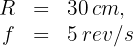
Una partícula se mueve sobre un círculo de radio 30 centímetros y realiza 5 revoluciones por segundo. Determina su velocidad lineal y su aceleración centrípeta.
1 Los datos conocidos son:

Convertimos el radio a metros

2 Para calcular la velocidad lineal, empleamos la fórmula

3 Sustituimos los datos conocidos en la fórmula y obtenemos

4 Para calcular la aceleración centrípeta, es decir, la aceleración que siempre se dirige hacia el centro, empleamos la fórmula

5 Sustituimos los datos conocidos en la fórmula y obtenemos

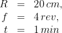
Un automóvil de 800 kilogramos se mueve en una pista circular de diámetro 50 metros, realizando 3 vueltas cada 2 minutos. ¿Cuál es su fuerza centrípeta?
1 Los datos conocidos son:

escribimos las revoluciones en segundos

2 Para calcular la velocidad lineal, empleamos la fórmula

3 Sustituimos los datos conocidos en la fórmula y obtenemos

4 Para calcular la aceleración centrípeta, es decir, la aceleración que siempre se dirige hacia el centro, empleamos la fórmula

5 Sustituimos los datos conocidos en la fórmula y obtenemos

6 Sustituimos los datos conocidos en la fórmula de fuerza centrípeta y obtenemos

La rueda de un automóvil tiene 20 centímetros de radio y gira 4 revoluciones en 1 segundo. ¿Cuál es su velocidad angular?, ¿qué distancia lineal recorre el automóvil en 1 minuto?
1 Los datos conocidos son:

Escribimos el radio en metros y el tiempo en segundos

2 Para calcular la velocidad angular, empleamos la fórmula

3 Sustituimos los datos conocidos en la fórmula y obtenemos

4 Para calcular la distancia lineal, empleamos la fórmula

5 Sustituimos los datos conocidos en la fórmula y obtenemos

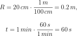
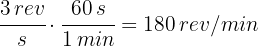
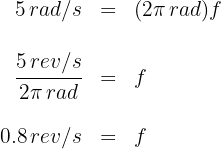
Una partícula realiza un movimiento circular con una velocidad angular de 18.85 rad/s. ¿Cuál es el número de revoluciones en 1 minuto?
1 Los datos conocidos son:

2 Para calcular la frecuencia, empleamos la fórmula

3 Sustituimos los datos conocidos en la fórmula y obtenemos

4 El número de revoluciones en un minuto es

La rueda de una bicicleta tiene 25 centímetros de radio con una velocidad angular de 5 rad/s. ¿Cuánto tiempo tarda en dar una vuelta completa?
1 Los datos conocidos son:

2 Calcular la frecuencia, empleando la fórmula

3 Sustituimos los datos conocidos en la fórmula y obtenemos

4 El tiempo que tarda la rueda en dar una vuelta es igual al periodo

Una bicicleta gira en una pista círcular de radio 15 m, con velocidad angular de 5.24 rad/s. ¿Cuál es su aceleración centrípeta?
1 Los datos conocidos son:

2 Para calcular la aceleración centrípeta, empleamos la fórmula

3 Sustituimos los datos conocidos en la fórmula y obtenemos

Resumir con IA:

en el ejercicio 4 por que no pasas las unidades a SI ?
Hola nos da gusto que te beneficies de nuestro material, en cuanto a tu pregunta, no se cambio para dar diversidad a las resoluciones de los ejercicios, pues hay maestros y escuelas que manejan esas unidades y de esa manera se satisface el conocimiento de más personas.
Hola buenas. Tengo una corrección respecto al ejercicio 5. La aceleración fue calculada de forma correcta, sin embargo, al calcular la distancia se debe utilizar la ecuación de itinerario de la posición, en concreto:
X = Xo + Vo • t + (1/2) • a • t^2
Al utilizar esta ecuación, se considera el movimiento acelerado para el desplazamiento del automóvil, en t = 2 [h]. Al utilizar la ecuación que pusiste en la solución, consideras como velocidad final, los 75 [km/h], en lugar de la velocidad alcanzada realmente en t = 2[h], la cual se puede calcular utilizando la ecuación de velocidad.
V = Vo + a • t
Con t= 2 [h], esa V te da un valor de 45 [km/h]. Al utilizar ese valor en la ecuación que tu planteaste, te da el desplazamiento real, el cual te da un valor de 70 [km], lo cual también se obtiene con la ecuación de itinerario de posición:
X = Vo • t + (1/2) • a • t^2
X = (25 • 2) + ((1/2) • (10 • 2^2)) [km]
X = 70 [km]
Hola tienes razón, una disculpa ya se corrigió.
8. Dos vehículos salen al encuentro desde dos ciudades separadas por 300 km, con
velocidades de 60 km/h y 40 km/h, respectivamente. Si el que circula a 40 km/h sale dos
horas más tarde, responda a las siguientes preguntas: a) El tiempo que tardan en encontrarse.
b) La posición donde se encuentran.
a) Tiempo hasta encontrarse:
Vehículo 1: 3,8 horas ≈ 3 h 48 min
Vehículo 2: 1,8 horas ≈ 1 h 48 min
b) Posición del encuentro:
A 228 km de la ciudad de salida del vehículo 1
A 72 km de la ciudad de salida del vehículo 2
En el problema siete está mal la unidad de medida de la aceleración, está se mide en m/s^2 no en m^2
Hola, una disculpa por el error ya se corrigió.
Trayectoria de un objeto lanzado
Un balón es llazando ª 30
Con una velocidad inicial de 15 m/s graficar su trayectoria en el plano Xy usando geogebra o tracker