El movimiento rectilíneo uniformemente acelerado es un concepto central en la física, donde los objetos experimentan cambios constantes en su velocidad en línea recta. Este fenómeno se produce cuando la aceleración del objeto se mantiene constante en el tiempo, lo que permite un análisis matemático preciso del movimiento. En esta introducción, exploraremos en detalle este tipo de movimiento, sus ecuaciones y aplicaciones prácticas en el mundo real.
Aceleración
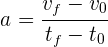
La aceleración de un objeto se define como la tasa de cambio de la velocidad con respecto al tiempo.

donde
es la aceleración,
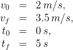
la velocidad final,
la velocidad inicial,
el tiempo final e inicial respectivamente.
La unidad de la aceleración admite cualquier combinación de unidades de velocidad y tiempo. Para vehículos suele emplearse las unidades de (km/h)/h, (mi/h)/h, (km/h)/s, (m/s)/s o (ft/s)/s.
La aceleración es una cantidad vectorial que combina las ideas de velocidad y dirección de movimiento.
Si la velocidad no cambia conforme transcurre el tiempo, entonces la velocidad es constante y la aceleración es cero.
Si la velocidad aumenta conforme transcurre el tiempo, entonces la aceleración es positiva.
Si la velocidad disminuye conforme transcurre el tiempo, entonces la aceleración es negativa.

La gráfica de la aceleración respecto al tiempo correspondiente a la gráfica anterior de velocidad contra tiempo es:

Aceleración promedio
La aceleración promedio es el cambio de velocidad de la partícula entre el tiempo total empleado

Como la velocidad es una cantidad vectorial y el tiempo es escalar, entonces la aceleración es una cantidad vectorial y tiene la dirección del cambio de velocidad
. En ocasiones la magnitud de la aceleración es llamada solamente aceleración

Ejemplo: Una persona camina inicialmente a una velocidad de 2 m/s por un camino recto. Luego acelera a 3.5 m/s en un tiempo de 5 s. ¿Cuál es la aceleración promedio a lo largo de la trayectoria recorrida?
1Identificamos los datos conocidos

2Sustituimos en la ecuación de aceleración promedio

Así, la aceleración promedio es de
.
Ejemplo: Un automóvil se mueve a una velocidad de 50 km/h por un camino recto. Luego pisa los frenos y se detiene en 10 min. ¿Cuál es la aceleración promedio?
1Identificamos los datos conocidos. Como el automóvil se detiene, su velocidad final es cero

2Observamos que el tiempo tiene unidad de segundos, por lo que lo convertimos a horas

3Sustituimos en la ecuación de aceleración promedio

Así, la aceleración promedio es de
.
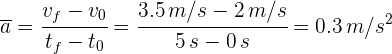
Aceleración instantánea
La aceleración instantánea se obtiene tomando el límite en la fórmula de velocidad promedio cuando
, entonces

Como la velocidad instantánea en cualquier tiempo
es igual a la derivada de la función posición evaluada en el tiempo
, entonces la aceleración instantánea es la segunda derivada de la posición

Ejemplo: La velocidad de una partícula que se mueve horizontalmente varía de acuerdo con la expresión
, donde
está en segundos. Encuentra la aceleración instantánea de la partícula a los 2 segundos.
1Sabemos que la aceleración instantánea se obtiene de la derivada de la función velocidad. Derivamos y tenemos

2Sustituimos el tiempo 

3Así, la aceleración instantánea en
es

El signo negativo indica que la velocidad va disminuyendo.
Aceleración constante
Si la aceleración de una partícula es constante, entonces su aceleración instantánea es igual a la aceleración promedio durante el intervalo de tiempo, así se obtiene la ecuación

En general, el tiempo inicial es
y el tiempo final es
, por lo que escribiendo la diferencial de la función de velocidad e integrando se tiene

La ecuación anterior permite determinar la velocidad de un objeto en cualquier tiempo
, si se conoce la velocidad inicial
y su aceleración constante
.
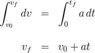
Ejemplo: Un automóvil que va a 15 m/s se detiene en 3 s. Si su aceleración es constante, cuál es su valor?
1Identificamos los datos conocidos

2Sabemos que la aceleración es constante, por lo que empleamos la fórmula de aceleración constante

3Sustituimos y obtenemos

4Así, la aceleración constante es

Fórmulas para aceleración constante
Sabemos que la fórmula para la aceleración constante es

Cuando la aceleración es constante, la velocidad varía linealmente con respecto al tiempo, por lo que la velocidad promedio en cualquier intervalo de tiempo es igual al promedio de la velocidad inicial con la final

Cuando la aceleración es constante, podemos encontrar la posición final a partir del tiempo y las velocidades inicial y final aplicadas en la fórmula de la velocidad promedio

Cuando la aceleración es constante, podemos encontrar la posición final a partir de las velocidades inicial, la aceleración constante y el tiempo, sustituyendo la expresión de la velocidad final
en la fórmula anterior

También podemos encontrar la velocidad final a partir de las velocidad inicial, la aceleración constante y la posición de la partícula sin contener el tiempo. Para esto sustituimos la expresión del tiempo de la fórmula de aceleración promedio, en la fórmula de la posición en término de sus velocidades inicial, final y el tiempo

Resumir con IA:









en el ejercicio 4 por que no pasas las unidades a SI ?
Hola nos da gusto que te beneficies de nuestro material, en cuanto a tu pregunta, no se cambio para dar diversidad a las resoluciones de los ejercicios, pues hay maestros y escuelas que manejan esas unidades y de esa manera se satisface el conocimiento de más personas.
Hola buenas. Tengo una corrección respecto al ejercicio 5. La aceleración fue calculada de forma correcta, sin embargo, al calcular la distancia se debe utilizar la ecuación de itinerario de la posición, en concreto:
X = Xo + Vo • t + (1/2) • a • t^2
Al utilizar esta ecuación, se considera el movimiento acelerado para el desplazamiento del automóvil, en t = 2 [h]. Al utilizar la ecuación que pusiste en la solución, consideras como velocidad final, los 75 [km/h], en lugar de la velocidad alcanzada realmente en t = 2[h], la cual se puede calcular utilizando la ecuación de velocidad.
V = Vo + a • t
Con t= 2 [h], esa V te da un valor de 45 [km/h]. Al utilizar ese valor en la ecuación que tu planteaste, te da el desplazamiento real, el cual te da un valor de 70 [km], lo cual también se obtiene con la ecuación de itinerario de posición:
X = Vo • t + (1/2) • a • t^2
X = (25 • 2) + ((1/2) • (10 • 2^2)) [km]
X = 70 [km]
Hola tienes razón, una disculpa ya se corrigió.
8. Dos vehículos salen al encuentro desde dos ciudades separadas por 300 km, con
velocidades de 60 km/h y 40 km/h, respectivamente. Si el que circula a 40 km/h sale dos
horas más tarde, responda a las siguientes preguntas: a) El tiempo que tardan en encontrarse.
b) La posición donde se encuentran.
a) Tiempo hasta encontrarse:
Vehículo 1: 3,8 horas ≈ 3 h 48 min
Vehículo 2: 1,8 horas ≈ 1 h 48 min
b) Posición del encuentro:
A 228 km de la ciudad de salida del vehículo 1
A 72 km de la ciudad de salida del vehículo 2
En el problema siete está mal la unidad de medida de la aceleración, está se mide en m/s^2 no en m^2
Hola, una disculpa por el error ya se corrigió.
Trayectoria de un objeto lanzado
Un balón es llazando ª 30
Con una velocidad inicial de 15 m/s graficar su trayectoria en el plano Xy usando geogebra o tracker