Las preguntas y ejercicios que encontrarás a continuación te permitirán aplicar y consolidar tus conocimientos sobre las leyes de Newton en problemas prácticos. Prepárate para poner en práctica tus habilidades, ya que cada ejercicio te desafiará a aplicar fórmulas específicas.
Un cuerpo se encuentra en reposo, la fuerza neta que actúa sobre él es...
Selecciona una respuesta.
La primera ley de Newton establece que un cuerpo en reposo permanece en reposo, siempre que la fuerza neta que actúa sobre él sea cero.
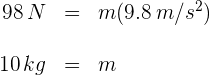
Para un objeto con peso de 98 N, su masa es...
Selecciona una respuesta.
1 De la segunda ley de Newton se tiene que el peso de un objeto es igual al producto de su masa por su aceleración

2En este caso, la aceleración es igual a la gravedad, por lo que sustituimos los datos conocidos

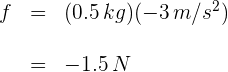
Se empuja un objeto de masa
sobre una mesa horizontal, con aceleración de
de manera que el objeto se va deteniendo. La fuerza de fricción entre el objeto y la mesa es...
Selecciona una respuesta.
1 Dibujamos el diagrama de equilibrio

2 De la segunda ley de Newton se tiene que el peso de un objeto es igual al producto de su masa por su aceleración

3El sistema se encuentra en equilibrio verticalmente. Por tanto, solamente tenemos que encontrar la fuerza neta horizontal

4Sustituimos los datos conocidos

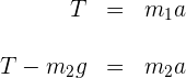
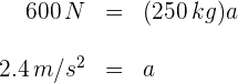
Una caja de 250 kg es jalada horizontalmente mediante una cuerda con tensión de 600 N. Si despreciamos la fricción de la caja con el piso, la aceleración es...
Selecciona una respuesta.
1 Dibujamos el diagrama de equilibrio

2 De la segunda ley de Newton se tiene que el peso de un objeto es igual al producto de su masa por su aceleración

3El sistema se encuentra en equilibrio verticalmente. Por tanto, solamente tenemos que encontrar la fuerza neta horizontal

4Sustituimos los datos conocidos

Una persona de 65 kg camina por una calle horizontal. Si se ignora la resistencia del aire, la fuerza que debe ejercer hacia atras contra el suelo para alcanzar una aceleración de
es...
Selecciona una respuesta.
1 De la tercera ley de Newton la fuerza buscada es la reacción del suelo contra la persona

2Sustituimos los datos conocidos

Un automóvil de 865 kg se desplaza por una calle horizontal. Si se ignora la resistencia del aire, la fuerza que debe ejercer sus llantas hacia atras contra el suelo para alcanzar una aceleración de
es...
Selecciona una respuesta.
1 De la tercera ley de Newton la fuerza buscada es la reacción del suelo contra la persona

2Sustituimos los datos conocidos

Un objeto cuelga de una cuerda unida a otras dos cuerdas fijas a un techo, de manera que se forma un triángulo. Si la caja tiene un peso 50 N y los ángulos de las dos cuerdas con el techo son
respectivamente, las tensiones de las cuerdas fijas al techo son...
Selecciona una respuesta.
1 Dibujamos el diagrama de equilibrio

2Para el caso dos cuerdas inclinadas hacia arriba con componentes horizontales opuestas y un peso vertical, las tensiones de las cuerdas inclinadas son:


3Sustituyendo los datos conocidos se tiene

Un objeto de peso 50 N se encuentra sobre un plano inclinado sin fricción, que tiene pendiente
. El objeto está atado a una cuerda que pasa sobre una polea sin fricción colocada en el extremo superior del plano y que va atada a un bloque. Si el sistema se encuentra en equilibrio, la masa del bloque es...
Selecciona una respuesta.
1 Dibujamos el diagrama de equilibrio

2Del sistema vertical formado por el objeto y la cuerda, se obtiene

3Calculamos la fuerza neta horizontal y vertical


4Como el sistema se encuentra en equilibrio, las fuerzas netas son iguales a cero, luego de la primera ecuación se tiene que
, luego el peso del bloque es

5Sustituimos los datos conocidos

6Luego, la masa del bloque es

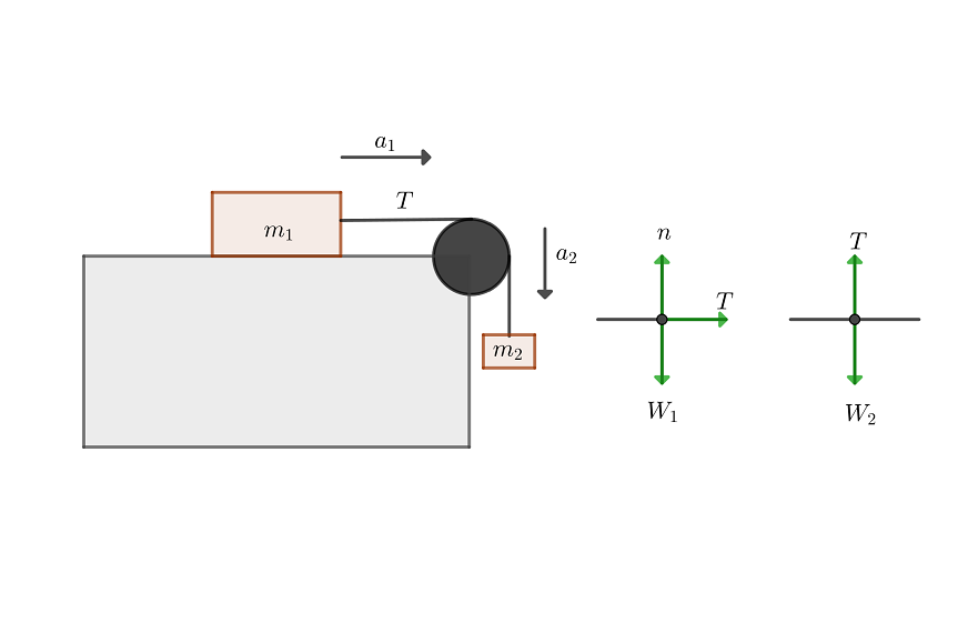
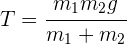
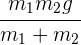
Un bloque de masa
se encuentra sobre una superficie horizontal y se jala mediante una cuerda que pasa por una polea sin masa ni fricción, de manera que un segundo bloque de masa
cuelga del extremo de la cuerda. Si el sistema se encuentra en equilibrio, la tensión de la cuerda es...
Selecciona una respuesta.
1 Dibujamos el diagrama de equilibrio

2Del sistema vertical formado por el objeto y la cuerda, se obtiene

Un bloque de masa
se encuentra sobre una superficie horizontal sin fricción y se jala mediante una cuerda que pasa por una polea sin masa ni fricción, de manera que un segundo bloque de masa
cuelga del extremo de la cuerda. Si el sistema se encuentra en equilibrio, la tensión de la cuerda es...
Selecciona una respuesta.
1 Dibujamos el diagrama de equilibrio

2Si el bloque 1 se mueve a la derecha, el bloque 2 se desplaza una distancia igual hacia abajo, luego

3 Calculamos las fuerzas netas

4De la segunda ley de Newton se tiene

5Resolviendo el sistema se tiene

Si tienes dudas puedes consultar ejercicios resueltos del tema.
Resumir con IA:

Muy importante saber las fórmulas y rl conceptos de cada teoría ya que de ellos depende hacer bien las fórmulas
Hola, no entiendo el problema 10 de Problemas resueltos de diagramas espacio-tiempo, me lo podrían explicar mas detalladamente por favor.
Hola si te refieres a la parte de calcular la velocidad de la fórmula [latex]\Delta x’=\frac\Delta x-v\Delta t\sqrtq-\fracv^2c^2[/latex] tendrías que sustituir los datos y te quedaria una ecuación de segundo grado y resolverla con fórmula general.
Como en el ejercicio 6 y 7 resuelve el sistema t1 t2
Hola, el sistema se puede resolver con el método de sustitución, se despeja t1 de la primera ecuación y el resultado se sustituye en la segunda ecuación y como solo queda como variable t2 esta se despeja y después el resultado se sustituye para calcular t1.
La fuerza normal como esta perpendicular a la superfeficie pertenece al eje Y, entonce no seria cos en ves del seno? es el ejercicio 4 qu elo saca con el seno y deberia ser con el coseno o no se si me equivoco
v¹= 1500 m/sy v²=4500 m/s?
Hola esa pregunta que haces es muy importante pues causa mucha confusión, en realidad debe usarse el seno en vez del coseno ya que el ángulo agudo se forma después de los 180 grados y construyendo un triangulo rectángulo el cateto opuesto queda en el eje y lo que implicaría usar la función seno.
Problema no.9 grados 40 en procedimiento 50??
Hola no sé qué artículo te refieres pues revise y no encontre el ejercicio 9 con los datos mencionados.